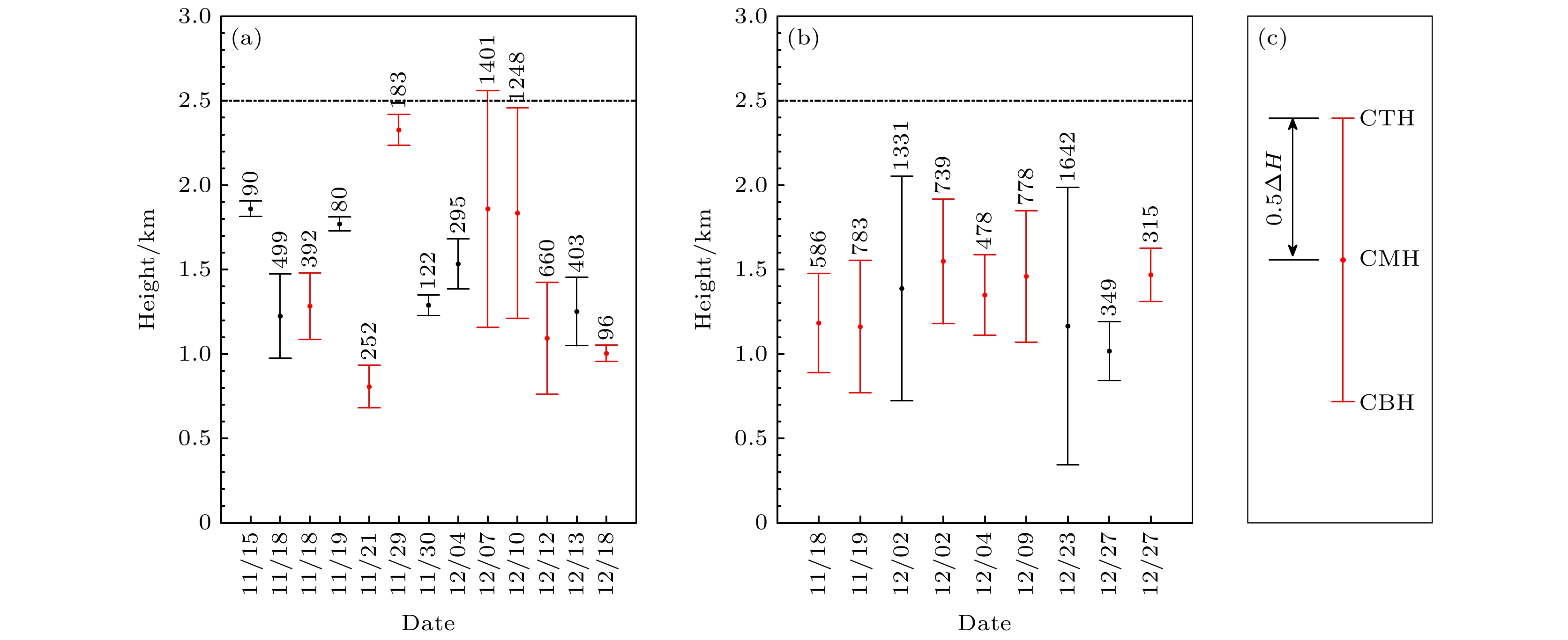
Based on the measured thermal radiosondes, the WR95 method is used to identify the vertical structure of low clouds. The atmospheric refractive index structure constant
$C_{n}^2$
, meteorological conditions and atmospheric stability are contrastively analyzed under cloudy and clear sky weather. The results show that the influence of low-level thin clouds on the fluctuation of
$ C_n^2 $
is negligible, showing only a slight increase trend. The
$ C_n^2 $
at low-level thin clouds base and top is about 1.6 and 2.5 times that under clear sky weather to a greatest extent, respectively. The
$ C_n^2 $
at the low-level medium-thick clouds top is 3.8–6.61 times the amplitude of that under clear sky weather, and enhanced amplitude of
$ C_n^2 $
near the cloud top is greater than that near the cloud base. Atmospheric turbulence near the cloud base is driven by the combined effect of ground heat and low clouds cooling. The sinking airflow from clouds is coupled with the upward airflow from ground, which motivates wind shear, resulting
$ C_n^2 $
increases near this height. A comprehensive comparison of the
$ C_n^2 $
between clear sky and cloudy weather shows that the enhancement effect of clouds on
$ C_n^2 $
is roughly on the order of 10
–16. Wind shear reaches its maximum value at or above the cloud top. Because of the combined effect of short-wave radiation warming and long-wave radiation cooling near the cloud top, temperature inversion layers with different thickness will be formed obove the cloud top, resulting in a sharp increase in the potential temperature lapse rate at the cloud top, and the Brunt-Vaisala frequency
$ {N^2} $
is increased by 0.5–3.0 times. And
$ {N^2} $
near the cloud base is less than that under the clear sky weather. Owing to the turbulent effect caused by cloud multi-scale activities, it is inevitable to cause assessment and correction deviations in the laser transmission. A deep understanding of how turbulence behave within different phase clouds or around cloud boundaries can also lay the foundation for further modeling the atmospheric turbulence around clouds.