-
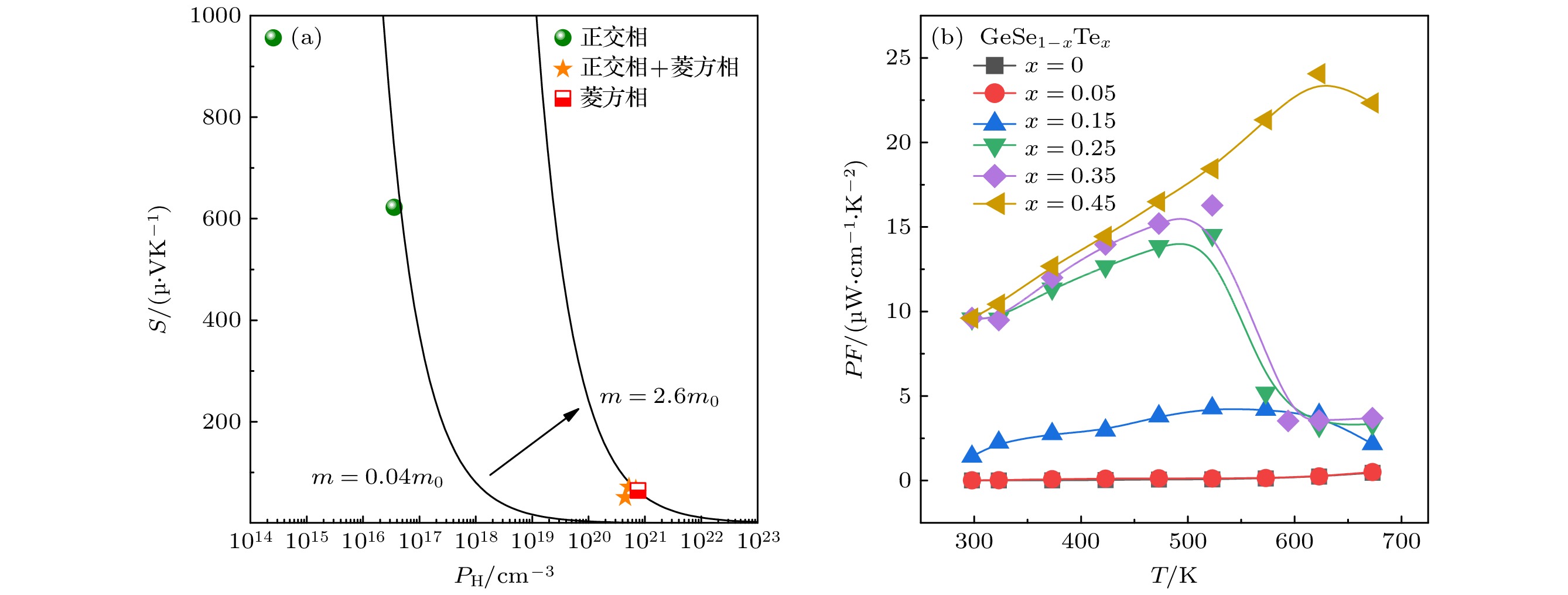
在热电研究领域, GeSe是一种二维层状结构具有较大带隙的半导体, 本征载流子浓度低, 热电性能差. 在本工作中, 采用熔融淬火结合放电等离子活化烧结工艺制备了一系列的GeSe 1–xTe x( x= 0, 0.05, 0.15, 0.25, 0.35, 0.45)多晶样品, 研究了Te含量对GeSe化合物物相结构和热电输运性能的影响规律. 结果表明: 随着Te含量的增加, GeSe的晶体结构逐渐由正交相向菱方相转变, 使得材料的带隙降低, 载流子浓度和迁移率同步增加; 同时, 晶体对称性的提高增加了化合物的能带简并度, 有效提高了载流子有效质量. 在这些因素的共同作用下, 菱方相GeSe的功率因子比正交相GeSe提高约2—3个数量级. 此外, 菱方相GeSe具有丰富的阳离子空位缺陷以及铁电特性所导致的声子软化现象, 这导致其晶格热导率比正交相GeSe降低近60%. 当Te含量为0.45时, 样品在573 K取得最大热电优值 ZT为0.75, 是本征GeSe样品的19倍. 晶体结构工程是提升GeSe化合物热电性能的有效途径.In the thermoelectric field, GeSe is a two-dimensional layered semiconductor with a large band gap, intrinsically low carrier concentration and poor thermoelectric figure of merit ZT. In this work, a series of GeSe 1–xTe x( x= 0, 0.05, 0.15, 0.25, 0.35, 0.45) polycrystalline samples is prepared by melting and quenching combined with spark plasma activation sintering process. The influences of Te content on the phase structure and thermoelectric transport properties of GeSe are systematically studied. The results indicate that with the increase of Te content, the crystal structure of GeSe gradually changes from orthorhombic to rhombohedral structure. This reduces the band gap of the material, and simultaneously increases the carrier concentration and mobility. Meanwhile, the energy band degeneracy of the compound increases significantly because of enhanced crystal symmetry in this process, thereby considerably improving the effective mass of carriers. Altogether, the power factor of the rhombohedral GeSe is increased by about 2 to 3 orders of magnitude compared with that of the orthorhombic phase GeSe. In addition, the rhombohedral phase GeSe has abundant cationic vacancy defects and softened phonons arising from its ferroelectric feature, leading the lattice thermal conductivity to be 60% lower than orthorhombic one. The GeSe 0.55Te 0.45sample achieves a peak ZTof 0.75 at 573 K, which is 19 times that of pristine GeSe. Crystal structure engineering could be considered as an effective way of improving the thermoelectric performance of GeSe compounds.
[1] [2] [3] [4] [5] [6] [7] [8] [9] [10] [11] [12] [13] [14] [15] [16] [17] [18] [19] [20] [21] [22] [23] [24] [25] [26] [27] [28] [29] [30] [31] -
样品组分(GeSe1–xTex) 质量分数/% 正交相 菱方相 x= 0.15 80.9 19.1 x= 0.25 58.5 41.5 x= 0.35 11.2 88.8 -
[1] [2] [3] [4] [5] [6] [7] [8] [9] [10] [11] [12] [13] [14] [15] [16] [17] [18] [19] [20] [21] [22] [23] [24] [25] [26] [27] [28] [29] [30] [31]
计量
- 文章访问数:4895
- PDF下载量:146
- 被引次数:0












下载:









