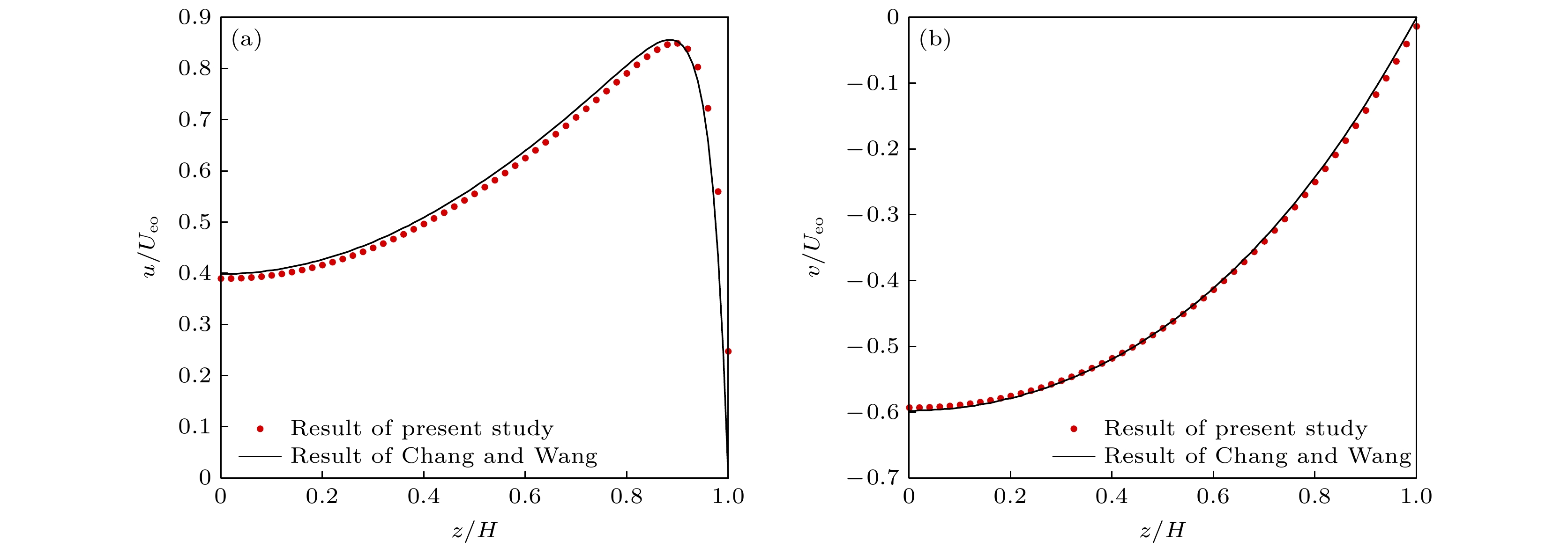
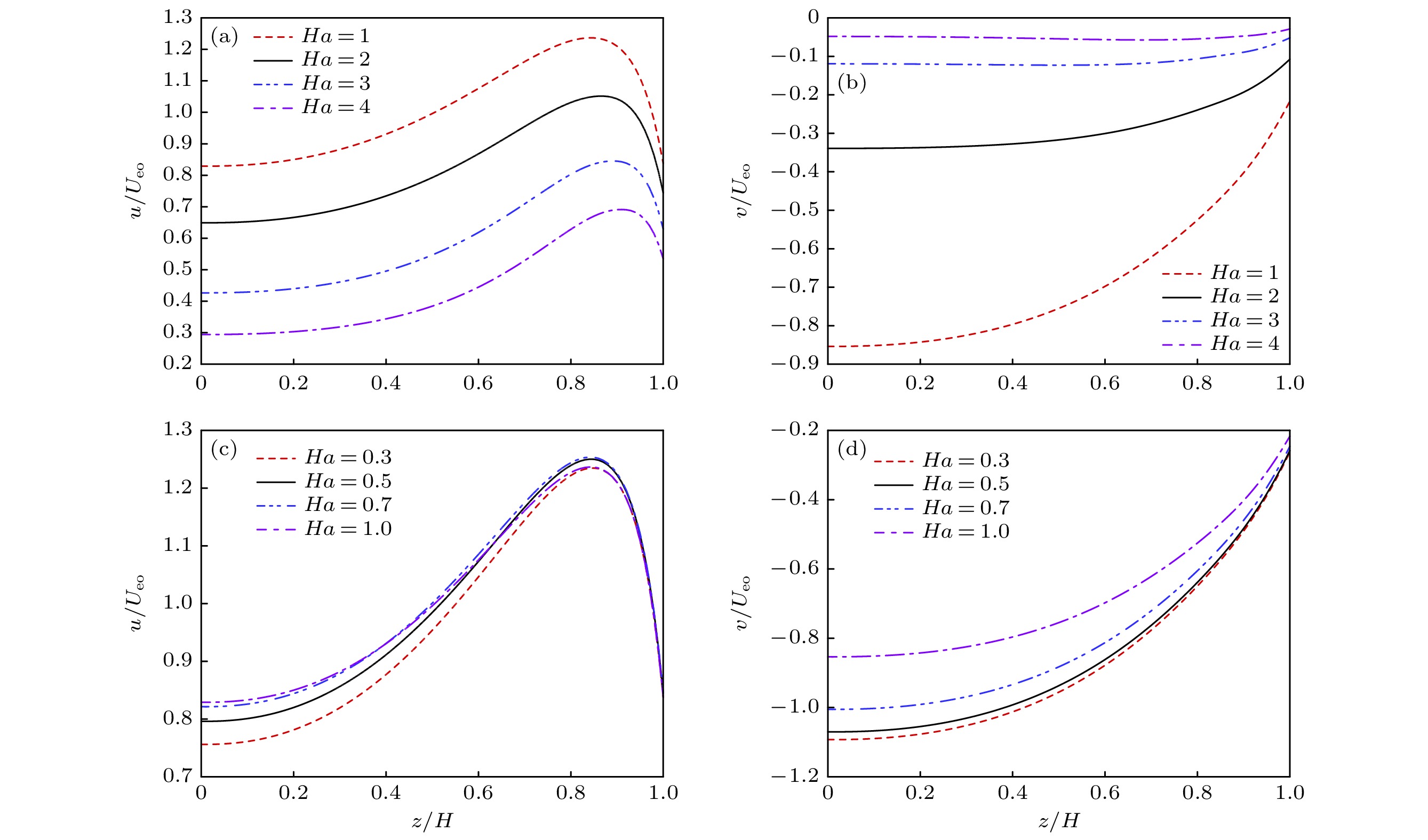
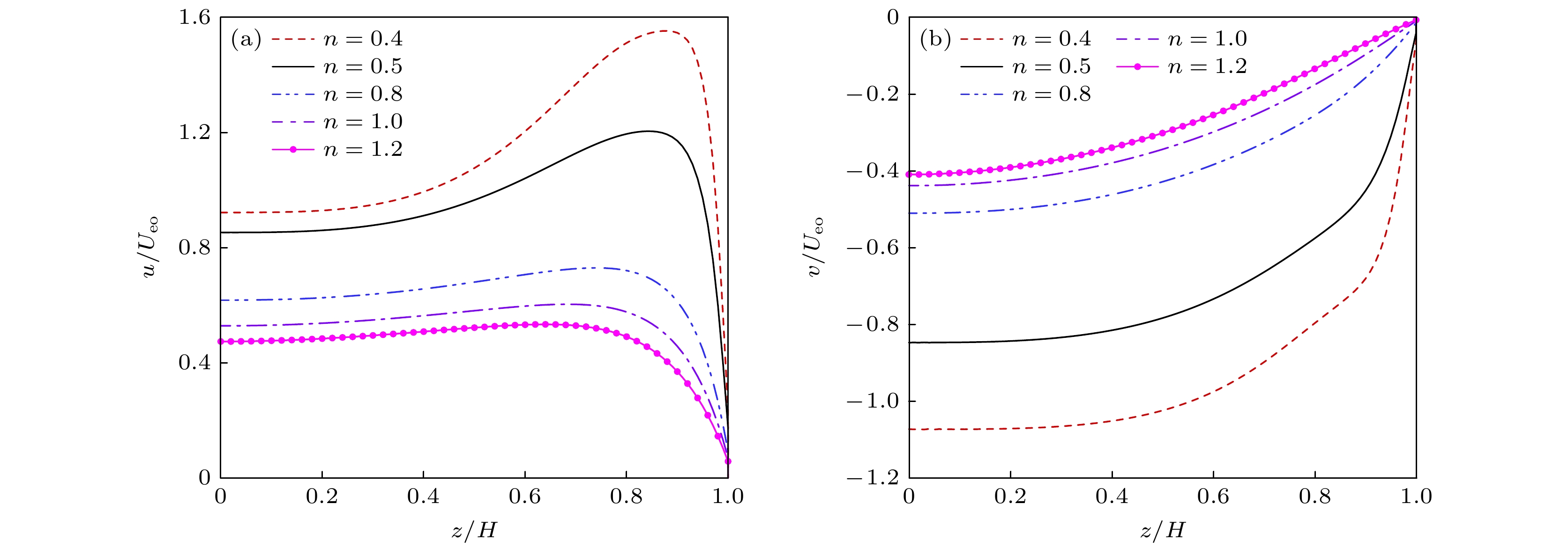
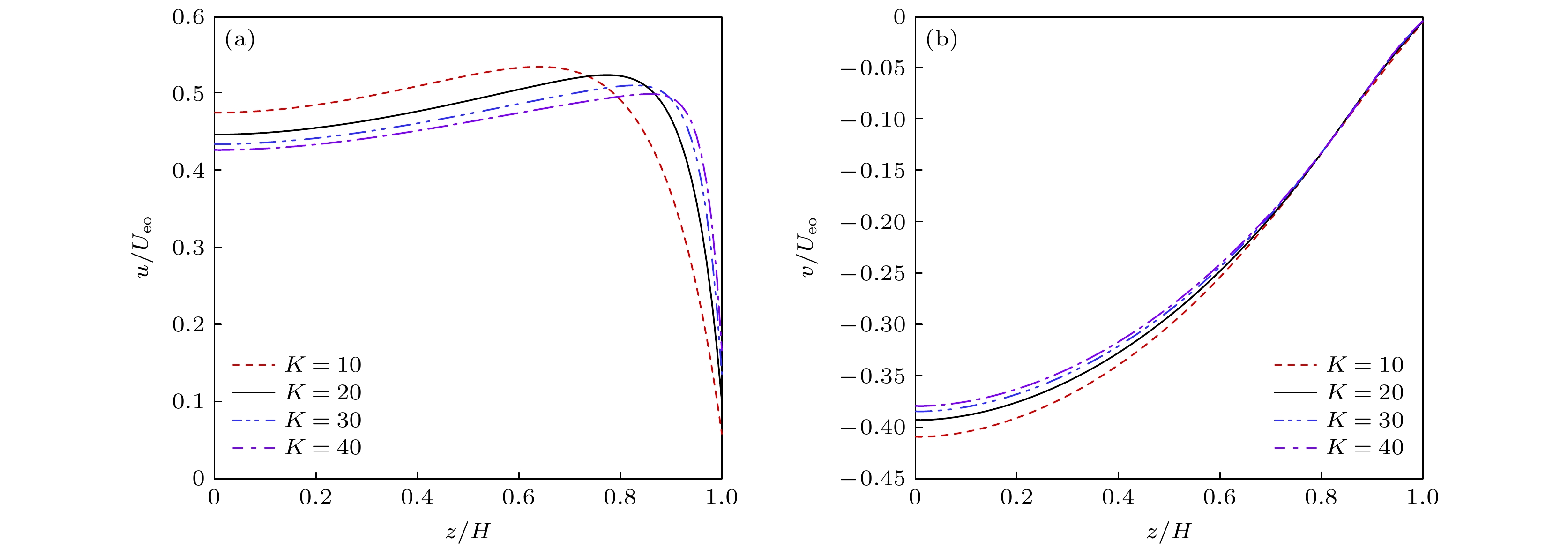
In this paper we study the rotating electroosmotic flow of a power-law fluid with Navier slip boundary conditions under high zeta potential subjected to the action of a vertical magnetic field in a variable cross-section microchannel. Without using the Debye–Hückel linear approximation, the finite difference method is used to numerically calculate the potential distribution and velocity distribution of the rotating electroosmotic flow subjected to an external magnetic field. When the behavior index
$n = 1$
, the fluid obtained is a Newtonian fluid. The analysis results in this paper are compared with the analytical approximate solutions obtained in the Debye–Hückel linear approximation to prove the feasibility of the numerical method in this paper. In addition, the influence of behavior index
n, Hartmann number
Ha, rotation angular velocity
$\Omega $
, electric width
Kand slip parameters
$\beta $
on the velocity distribution are discussed in detail. It is obtained that when the Hartmann number
Ha> 1, the velocity decreases with the increase of the Hartmann number
Ha; but when the Hartmann number
Ha< 1, the magnitude of the
x-direction velocity
uincreases with the augment of
Ha.