-
绝对重力仪普遍采用激光干涉式或原子干涉式的测量原理来测量重力加速度的绝对值, 在地球物理等领域有着广泛的应用. 振动补偿是一种有效减小地面振动对绝对重力仪测量精度的影响的方法, 尤其适用于复杂振动环境. 本文介绍了一种基于传递函数简化模型的、用于实时修正原子干涉式绝对重力仪干涉条纹的振动补偿方法, 给出了该方法的工作原理及搜索模型系数的具体算法流程, 然后利用仿真运算验证算法的有效性, 最后利用已有的原子干涉式绝对重力仪对算法效果进行了实验评估. 结果表明, 使用该振动补偿算法对原子重力仪的干涉条纹进行修正, 最大可将干涉条纹的余弦拟合残差的标准差衰减58%. 该振动补偿算法具有较强的自适应性, 有望提升原子干涉式绝对重力仪在不同测量环境尤其是复杂振动环境中的测量精度.Absolute gravimeter has played an important role in geophysics, metrology, geological exploration, etc. It is an instrument applying laser interferometry or atom interferometry to the measurement of gravitational acceleration g(approximately 9.8 m/s 2). To achieve a high accuracy, a vibration correction method is often employed to reduce the influence of the vibration of the reference object (a retro-reflector or a mirror) on the measurement result of absolute gravimeter. Specifically, in an atomic-interferometry absolute gravimeter, the phase noise caused by the vibration of the reference mirror, namely the vibration phase, can be calculated from the output signal of a sensor, either a seismometer or an accelerometer, placed below or next to the mirror. Considering this vibration phase, the fringe signal of the atomic interferometer as a function of the phase shift set by the control system of the gravimeter can be corrected to approach to an ideal sinusoidal curve, thus reducing the fitting residual. Currently, the parameters in the algorithm of most vibration correction methods used in atomic-interferometry absolute gravimeters are set to be constant. As a result, the performances of these methods may be limited when the practical transfer function between the real vibration of the reference mirror and the signal of the sensor has a variation due to the change of measurement environments. In this paper, based on a simplified model of the practical transfer function previously proposed in an algorithm used in laser-interferometry absolute gravimeter, a new vibration correction method for atomic-interferometry absolute gravimeter is presented. Firstly, a detailed description of its principle is introduced. With a searching algorithm, the time delay and the proportional element in the simplified model can be obtained from the fringe signal of the atomic interferometer and the output of the vibration sensor. In this way, the parameters used to calculate the vibration phase can be adjusted to approach to their true values in different environments, causing the fitting residual of the corrected fringe to decrease as much as possible. Then the measurement results of the homemade NIM-AGRb-1 atomic-interferometry absolute gravimeters using this method is analyzed. It is indicated that with the vibration correction algorithm, the standard deviation of the fitting residual of the measured fringe signal can be reduced by 58% at the best level in a quiet environment. In the future, the performance of this vibration correction algorithm will be further improved in other atomic-interferometry absolute gravimeters during their measurements in hostile environments.
[1] [2] [3] [4] [5] [6] [7] [8] [9] [10] [11] [12] [13] [14] [15] [16] [17] [18] [19] [20] [21] [22] [23] [24] [25] [26] [27] [28] [29] [30] [31] [32] [33] -
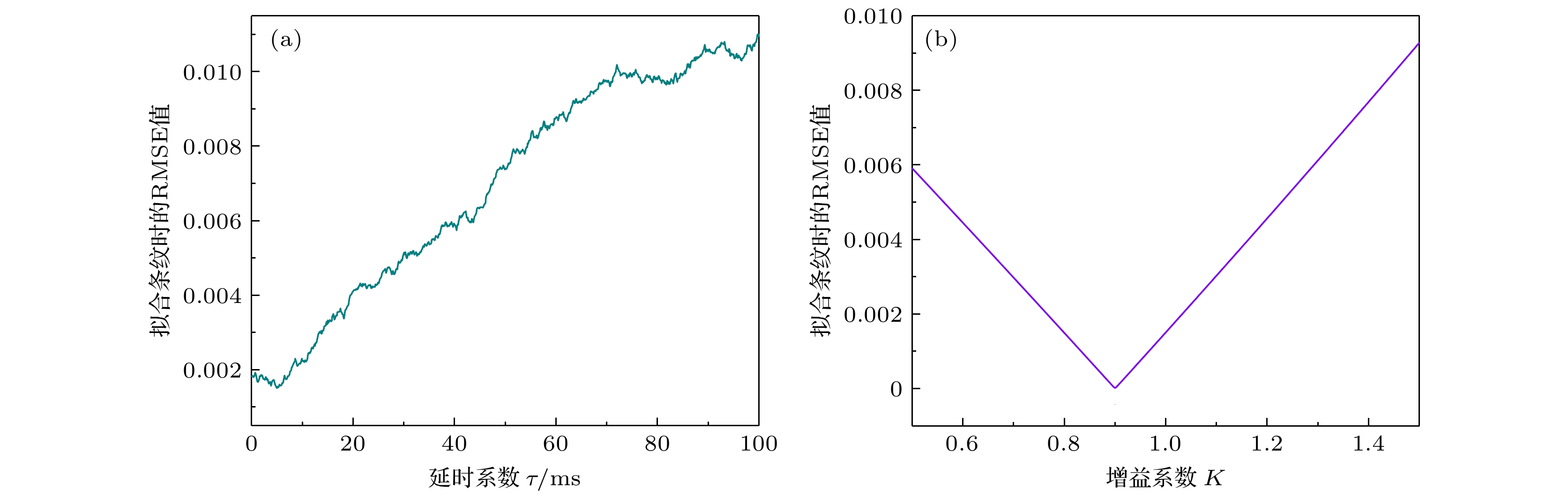
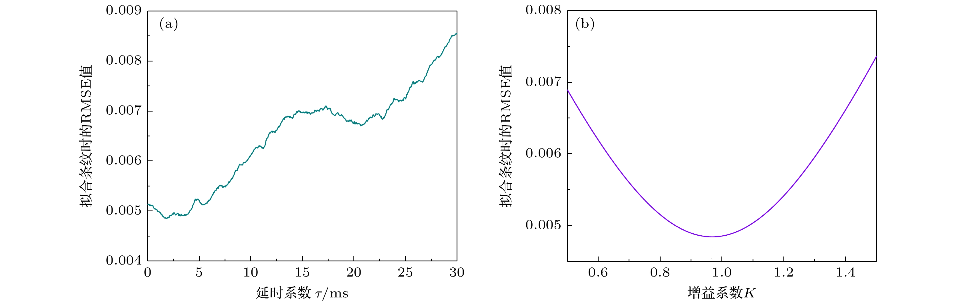
符号 含义 说明 P(ΔФth) 原始干涉条纹 横坐标为理论原子相位ΔФth, 纵坐标为跃迁概率的实测值P Pfit(ΔФth) 理论干涉条纹 横坐标仍为ΔФth, 纵坐标为对P进行余弦拟合得到的拟合值Pfit Us,vm 地震计输出电压, 参考镜真实速度 — τ,K 延时系数, 增益系数 从Us到vm的传递函数H的简化模型中的系数 τopt,Kopt 最优延时系数, 最优增益系数 振动补偿算法搜索出的最优值 Δφvib 推算出的振动相位噪声 从Us根据搜索出的τopt和Kopt以及重力仪灵敏度函数S(t)计算得到 ΔФv 推算出的仅受振动影响的原子相位 — P(ΔФv) 修正干涉条纹 与原始干涉条纹相比, 横坐标由ΔФth变为ΔФv 序号 1 2 3 4 输入参数 |Δφvib| ≤ 400 mrad, Δφothers= 0,N= 30 |Δφvib| ≤ 400 mrad, |Δφothers| ≤ 10 mrad,N= 30 |Δφvib| ≤ 4000 mrad, |Δφothers| ≤ 10 mrad,N= 30 |Δφvib| ≤ 400 mrad, |Δφothers| ≤ 10 mrad,N= 60 设定值τset/ms 5 计算值τopt/ms 5.0 2.7 4.1 6.8 设定值Kset 0.9 计算值Kopt 0.900 0.957 0.919 0.876 条纹拟合RMSE值 补偿前/10–3 13.1 18.3 30.9 15.2 补偿后/10–3 0.02 8.3 7.2 6.7 衰减比/% 99.8 54.6 76.7 55.9 条纹残差
标准差补偿前σm/10–3 12.39 17.32 29.28 14.80 补偿后σc/10–3 0.02 7.82 6.78 6.50 衰减比/% 99.8 54.8 76.8 55.7 组号 延时系数τopt/ms 增益系数Kopt 条纹拟合RMSE值 条纹残差标准差 补偿前/10–3 补偿后/10–3 补偿前σm/10–3 补偿后σc/10–3 衰减比/% 1 1.79 0.970 11.2 4.8 10.62 4.58 56.9 2 1.17 1.210 17.3 7.2 16.33 6.83 58.2 3 5.06 1.109 11.4 7.0 10.82 6.67 38.3 4 5.42 1.357 13.8 8.5 13.08 8.05 38.5 5 4.23 1.037 9.1 5.6 8.59 5.30 38.3 6 7.29 1.025 11.7 5.8 11.03 5.52 50.0 7 1.43 1.223 15.1 9.9 14.31 9.34 34.7 8 4.53 1.118 13.6 7.3 12.86 6.94 46.0 9 -0.62 1.057 14.0 8.0 13.19 7.54 42.8 10 5.25 1.079 10.9 6.5 10.31 6.14 40.4 均值 3.56 1.119 — — — — 44.4 序号 输入参数 设定值
τset/ms延时系数τopt/ms 相关系数
CR的极大值以RMSE值为优化目标 以CR为优化目标 1 |Δφvib| ≤ 400 mrad, Δφothers= 0,N= 30 5 5.0 5.0 0.999 2 |Δφvib| ≤ 400 mrad, Δφothers≤ 10 mrad,N= 30 2.7 2.7 0.892 3 |Δφvib| ≤ 4000 mrad, Δφothers≤ 10 mrad,N= 30 4.1 4.2 0.972 4 |Δφvib| ≤ 400 mrad, Δφothers≤ 10 mrad,N= 60 6.8 8.6 0.896 组号 计算值τopt/ms 相关系数CR
的最大值以RMSE值为
优化目标以CR为优
化目标1 1.79 1.84 0.902 2 1.17 –4.38 0.909 3 5.06 5.05 0.785 4 5.42 5.27 0.785 5 4.23 4.24 0.787 6 7.29 7.29 0.866 7 1.43 1.42 0.757 8 4.53 4.70 0.841 9 –0.62 –0.83 0.821 10 5.25 5.25 0.802 类型 设定值τset/ms 计算值τopt/ms 设定值Kset 计算值Kopt 以RMSE值为优化目标 以σc为优化目标 以RMSE值为优化目标 以σc为优化目标 仿真数据
第3种情况5 4.1 4.2 0.9 0.919 0.918 仿真数据
第4种情况6.8 8.6 0.876 0.865 实测数据
第9组— –0.62 1.32 — 1.057 1.033 -
[1] [2] [3] [4] [5] [6] [7] [8] [9] [10] [11] [12] [13] [14] [15] [16] [17] [18] [19] [20] [21] [22] [23] [24] [25] [26] [27] [28] [29] [30] [31] [32] [33]
计量
- 文章访问数:4437
- PDF下载量:76
- 被引次数:0












下载:














