-
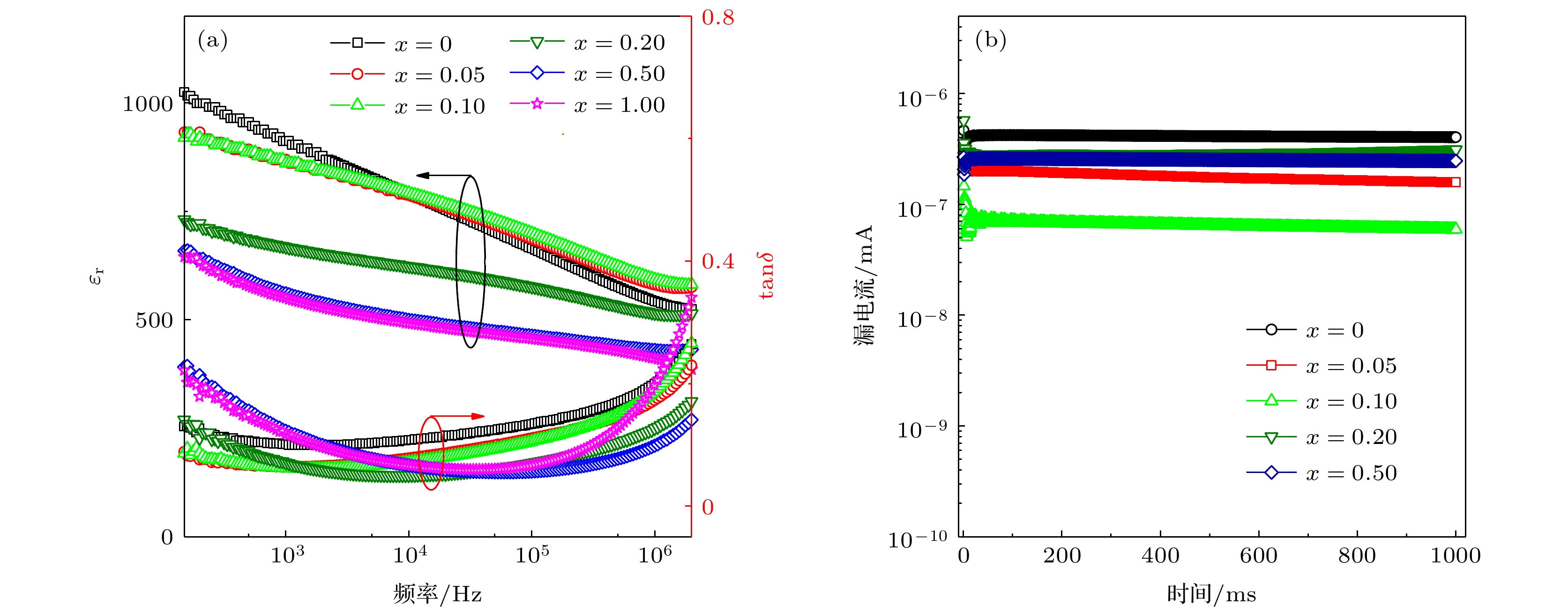
BiFeO 3(BFO)作为反铁磁性和铁电性共存的多铁性材料, 其饱和极化强度理论值大于100 μC/cm 2, 居里温度为830 ℃, 具有较强的电卡效应. 但是由于BFO高温烧结过程中Bi 2O 3易挥发, 铁离子易变价, 导致BFO中缺陷较多, 漏电流较大, 其铁电特性难以发挥出来. 虽然采用与BaTiO 3(BTO)等氧化物铁电体形成固溶体的方法可以减小漏电流, 但是漏电流和高介电损耗问题仍然存在. 本文试图通过添加锰离子到BFO-BTO固溶体的方法解决这一问题. 采用传统的高温固相反应法制备了0.7BiFeO 3-0.3BaTiO 3+ x%MnO 2(BFO-BTO+ x%MnO 2, 其中 x%为质量分数)陶瓷, 研究了MnO 2掺杂对BFO-BTO固溶体的微观结构、介电和铁电性能的影响. 值得注意的是, BFO-BTO+ x%MnO 2样品测试结果证明少量掺杂MnO 2能降低BFO-BTO陶瓷的介电损耗和漏电流, 这是由于掺杂Mn 4+补偿氧空位浓度所致. 另外, 0.7BFO-0.3BTO+0.5%MnO 2陶瓷在100 kV/cm时的最大极化强度达到50.53 μC/cm 2. 最后利用热电偶直测法测试了BFO-BTO+ x%MnO 2陶瓷的电卡效应, 发现极化翻转方法能使BFO-BTO+ x%MnO 2陶瓷的电卡效应翻倍增大, 其中 x= 0样品从0至–30 kV/cm的变化与30 kV/cm至0的电场变化相比, 增大近8倍, 并且证实该方法同样适用于多晶一级相变铁电体.As a kind of ferroelectric and antiferromagnetic coexistent multi-ferroic material, BiFeO 3(BFO) has a theoretical saturation polarization over 100 μC/cm 2, and a Curie temperature of 830 ℃, which may offer a huge electrocaloric effect. However, owing to the evaporation of Bi 2O 3in the sintering process at high temperatures and the variation of chemical valence of iron ions, there are lots of point defects and also a large leakage current existing in BFO, making the ferroelectricity of BFO hard to develop and measure. Although the forming of solid solution with BaTiO 3(BTO) or other oxide ferroelectrics may mitigate the leakage current, high loss tangent is still existent. This work tries to address this issue by adding manganese ions into the BFO-BTO solid solution. The 0.7(BFO)-0.3(BTO)+ x%MnO 2ceramics are prepared through using the conventional solid-state reaction at high temperature. The microstructure, dielectric characteristic and ferroelectric characteristic are investigated by doping different Mn 4+ions. Results indicate that the crystallographic structure is of rhombohedral and pseudocubic phase coexistence. It is observed that a certain content of Mn 4+ions may lead both the loss tangent and the leakage current for BFO-BTO ceramic to decrease, which is due to the compensation of dopant Mn 4+ions for the oxygen vacancies. In addition, the 0.7BFO-0.3BTO+0.5%MnO 2ceramic arrives at a maximum polarization of 50.53 μC/cm 2at 100 kV/cm. Finally, a direct approach is used to measure the electrocaloric effect. It is found that using the polarization flip method, the ECE temperature change is observed to increase almost 8 times when the electric field changes from 0 to –30 kV/m with respect to that when the electric field decreases from 30 kV/cm to 0. This verifies that the Lu et al’s method is also applicable to polycrystalline first-order phase transition ferroelectrics.
-
Keywords:
- ferroelectric/
- dielectric loss/
- electrocaloric effect
[1] [2] [3] [4] [5] [6] [7] [8] [9] [10] [11] [12] [13] [14] [15] [16] [17] [18] [19] [20] [21] [22] [23] [24] [25] [26] [27] [28] [29] [30] [31] [32] [33] -
x 相成分/% 晶格参数/Å 晶胞体积/Å3 R因子 a c a R PC R PC R PC Rwp/% Rwp/% χ2 0 75.64 24.36 5.6400(2) 13.8964(0) 3.9893(6) 382.92 63.49 6.98 4.65 2.37 0.05 72.97 27.03 5.6411(7) 13.8983(8) 3.9902(5) 383.03 63.53 5.91 4.06 1.45 0.10 72.70 27.30 5.6390(5) 13.8909(8) 3.9938(5) 382.54 63.71 5.23 3.81 1.24 0.20 68.48 31.62 5.6398(2) 13.8962(4) 3.9911(4) 382.79 63.58 6.39 4.49 1.85 0.50 67.21 32.79 5.6458(1) 13.8768(6) 3.9898(0) 383.07 63.51 5.80 4.09 1.50 1.00 66.41 33.59 5.6487(1) 13.8299(8) 3.9914(5) 382.17 63.59 5.88 4.35 1.36 -
[1] [2] [3] [4] [5] [6] [7] [8] [9] [10] [11] [12] [13] [14] [15] [16] [17] [18] [19] [20] [21] [22] [23] [24] [25] [26] [27] [28] [29] [30] [31] [32] [33]
计量
- 文章访问数:4234
- PDF下载量:88
- 被引次数:0












下载:





