-
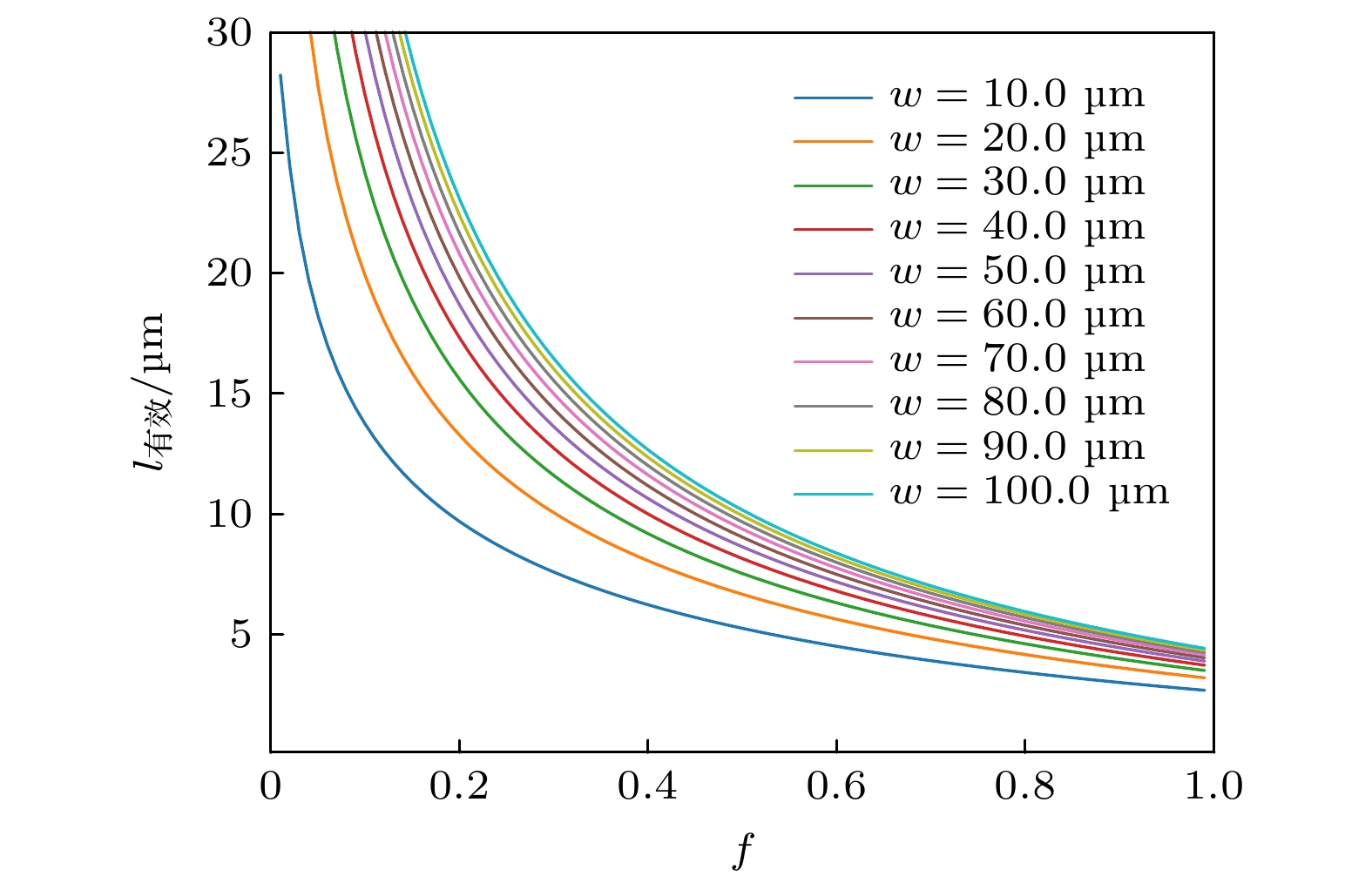
由于具有极低的噪声等效功率, 超导转变边沿探测器(transition edge sensor, TES)近年来被广泛地应用于国际各个宇宙微波背景辐射(cosmic microwave background, CMB)极化观测项目中. 为保证探测器工作在性能最佳区间, 探测器饱和功率值需根据观测地点气象条件及观测波段进行调整, 而探测器梁架结构尺寸直接决定了饱和功率大小. 因工艺差异等原因, 不同加工方案下得到的梁架尺寸参数往往不能直接用于横向比对. 在之前的观测项目中, 一般先加工出一系列不同尺寸器件并逐一测量, 然后通过拟合实测饱和功率与梁架尺寸的关系推测实际需要尺寸. 为了与目标值匹配, 往往需要多次加工迭代过程. 本文使用边界限制的声子输运模型, 成功整合了之前观测项目中的器件参数, 对TES梁架尺寸进行预估. 并按照预估值首次在国内制备了用于探测CMB极化信号的TES探测器芯片. 测量表明参数与目标值相差较小. 该方法可以很好地对同类TES探测器尺寸进行估计, 对之后TES探测器的设计有指导性意义.Owing to its extremely low noise equivalent power, superconducting transition edge detectors have been widely used in various international cosmic microwave background polarization observation projects in recent years. In order to ensure that the detector works in the best performance range, the saturation power value of the detector needs to be adjusted according to the meteorological conditions of the observation site and the observation band, and the structural size of the detector beam directly determines the saturation power. Owing to process differences and other reasons, the beam sizes obtained under different processing schemes often cannot be directly used for horizontal comparison. In previous observation projects, a series of devices with different sizes were generally processed and measured one by one, and then the actual required size was inferred by fitting the relationship between the measured saturated power and the beam size. In order to match the target value, multiple machining iterations are often required. In this work, the boundary-restricted phonon transport model is used to successfully integrate the device parameters from previous observation projects to estimate the size of the transition edge sensor (TES) beam. According to the estimated value, the TES detector chips for detecting cosmic microwave background polarization signal are fabricated for the first time in China. Measurements show that its parameters deviate slightly from the target value. This method can well estimate the sizes of similar TES detectors, and thus has guiding significance for designing TES detectors in the future.
-
Keywords:
- superconducting transition edge sensor/
- cosmic microwave background/
- phonon transport/
- phonon effective mean free path
[1] [2] [3] [4] [5] [6] [7] [8] [9] [10] [11] [12] [13] [14] [15] [16] [17] [18] [19] [20] [21] [22] [23] [24] [25] [26] [27] [28] [29] -
[1] [2] [3] [4] [5] [6] [7] [8] [9] [10] [11] [12] [13] [14] [15] [16] [17] [18] [19] [20] [21] [22] [23] [24] [25] [26] [27] [28] [29]
计量
- 文章访问数:3205
- PDF下载量:62
- 被引次数:0












下载:








