搜索

x

留言板

姓名
邮箱
手机号码
标题
留言内容
验证码

downloadPDF
引用本文:
Citation:

    陈忠琪, 钟安, 戴栋, 宁文军

    Effect of flow rate of shielding gas on distribution of particles in coaxial double-tube helium atmospheric pressure plasma jet

    Chen Zhong-Qi, Zhong An, Dai Dong, Ning Wen-Jun
    PDF
    HTML
    导出引用
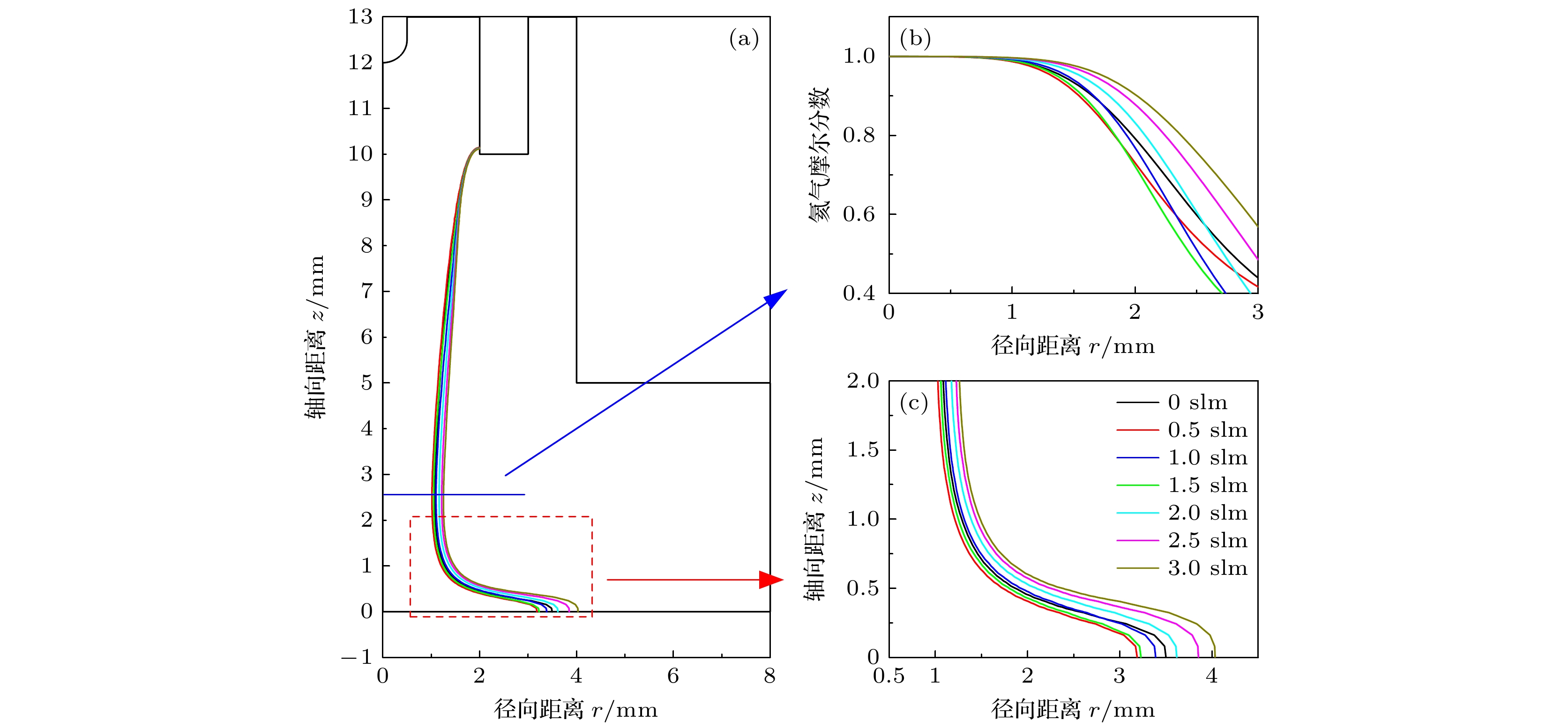
    • 在大气压等离子体射流应用中, 环境气体对射流流出物的影响不可忽视, 尤其是在某些对环境粒子高度敏感的特定场景中. 同轴双管式射流装置可用于抑制射流流出物与环境气体之间的相互扩散, 从而控制射流流出物的化学性质. 本文对同轴双管式氦气大气压等离子体射流在不同屏蔽气体流速下的放电特性和化学性质进行了数值仿真研究, 并通过实验光学图像对仿真模型加以验证. 结果表明, 相比于没有屏蔽气体的情况, 在高流速条件下放电得到增强, 而在低流速下放电较弱; 随着流速的增加, 空间中的粒子数均随之增加, 这可以归因于由屏蔽气体流速增加而产生的更宽的主放电通道. 此外, 不同浓度轮廓线上的离子径向通量受到流速的影响也存在很大差异. 本研究进一步揭示了不同的放电位置对氮氧粒子产生的影响, 加深了关于屏蔽气体流速影响等离子体射流放电行为的认识, 并可能为等离子体射流的进一步应用开辟新的机会.
      In the application of atmospheric pressure plasma jet, the influence of ambient gas cannot be ignored, especially in some specific scenarios which are highly sensitive to ambient particles. Coaxial double-tube plasma jet device is a promising method of controlling the chemical properties of jet effluent by restraining the mutual diffusion between jet effluent and ambient gas. In this work, the discharge characteristics and chemical properties of coaxial double-tube helium atmospheric pressure plasma jet at different flow rates of shielding gas are studied numerically, and the model is validated by experimental optical images. The results illustrate the enhanced discharge at the high flow rate, the weaker discharge at the low flow rate, and discharge behaviors without shielding gas as well. With the increase of shielded gas flow rate, the particle density increases in the discharge space, which can be attributed to the wider main discharge channel caused by the increase of shielding gas flow rate. In addition, the analysis shows the great difference in ion fluxes affected by the flow rate of the SG between the contour lines of different helium mole fractions. This study further reveals that different discharge positions have a great influence on the generation of nitrogen and oxygen particles, thus deepening the understanding of influence of shielding gas flow rate on discharge behavior, and may open up new opportunities for the further application of plasma jet.
          通信作者:戴栋,ddai@scut.edu.cn
        • 基金项目:国家自然科学基金(批准号: 51877086)资助的课题.
          Corresponding author:Dai Dong,ddai@scut.edu.cn
        • Funds:Project supported by the National Natural Science Foundation of China (Grant No. 51877086).
        [1]

        [2]

        [3]

        [4]

        [5]

        [6]

        [7]

        [8]

        [9]

        [10]

        [11]

        [12]

        [13]

        [14]

        [15]

        [16]

        [17]

        [18]

        [19]

        [20]

        [21]

        [22]

        [23]

        [24]

        [25]

        [26]

        [27]

        [28]

        [29]

        [30]

        [31]

        [32]

        [33]

        [34]

        [35]

        [36]

        [37]

        [38]

        [39]

        [40]

        [41]

        [42]

        [43]

        [44]

      • 边界 表达式 备注
        AX 对称轴
        BC ui= 3 slm,c= 1 工作气体入口
        DE uo,c= 0 屏蔽气体入口
        FG u= 0.1 m/s,c= 0 环境空气入口
        GW p= 1 atm, ${{\boldsymbol{n}}} \cdot {D_{\text{d} } }\nabla c = 0$
        BPO,CQRD,
        UW,ESTF
        u= 0 m/s, ${{\boldsymbol{n}}} \cdot {D_{\text{d} } }\nabla c = 0$
        下载: 导出CSV

        边界 表达式 备注
        IPO V=V0, 方程(9)—方程(12) 外施电压
        HX 对称轴
        IJ,KL $- {\boldsymbol{n}} \cdot {\boldsymbol{D}} = 0$, $- {\boldsymbol{n} } \cdot {\boldsymbol{\varGamma} } {\text{e} } = 0$, $- {\boldsymbol{n}} \cdot {\boldsymbol{\varGamma}} {\varepsilon } = 0$
        TV V= 0, $- {\boldsymbol{n}} \cdot {\boldsymbol{\varGamma}} {\text{e} } = 0$, $- {\boldsymbol{n}} \cdot {\boldsymbol{\varGamma}} {\varepsilon } = 0$ 接地
        TM,XYV V= 0 接地
        UV,LST,JQRK 方程(9)—方程(12), 方程(14), 方程(15)
        下载: 导出CSV

        序号 反应方程式 速率常数 能量损耗
        /eV
        参考
        文献
        1 ${\rm{e+He\to e+He}}$ f(c, ε) (m3·s–1) / [40]
        2 ${\rm{e+He\to e+He^{\ast}}}$ f(c, ε) (m3·s–1) 19.82 [40]
        3 ${\rm{e+He^{\ast }\to e+He}} $ f(c, ε) (m3·s–1) –19.82 [40]
        4 ${\rm{e+He\to 2e+He^{+}}} $ f(c, ε) (m3·s–1) 24.587 [40]
        5 ${\rm{e+N_{2}\to e+N_{2}}} $ f(c, ε) (m3·s–1) / [40]
        6 ${\rm{e+N_{2}\to e+N_{2}(VIB\, \textit{v}1)}}$ f(c, ε) (m3·s–1) 0.2889 [40]
        7 ${\rm{e+N_{2}\to e+N_{2}(VIB\, 3\textit{v}1)} }$ f(c, ε) (m3·s–1) 0.8559 [40]
        8 ${\rm{e+N_{2}\to e+N_{2}(VIB\, 4\textit{v}1)} }$ f(c, ε) (m3·s–1) 1.1342 [40]
        9 ${\rm{e+N_{2}\to e+N_{2}(VIB \,5\textit{v}1)} }$ f(c, ε) (m3·s–1) 1.4088 [40]
        10 ${\rm{e+N_{2}\to 2e+N_{2}^{+}}} $ f(c, ε) (m3·s–1) 15.6 [40]
        11 ${\rm{e+O_{2}\to e+O_{2}}} $ f(c, ε) (m3·s–1) / [40]
        12 ${\rm{e+O_{2}\to O+O^{-}}} $ f(c, ε) (m3·s–1) / [40]
        13 ${\rm{e+O_{2}\to O_{2}^{-}}} $ f(c, ε) (m3·s–1) / [40]
        14 ${\rm{e+O_{2}\to e+O_{2}(VIB\, 3\textit{v}1)} }$ f(c, ε) (m3·s–1) 0.57 [40]
        15 ${\rm{e+O_{2}\to e+O_{2}(VIB\, 4\textit{v}1)} }$ f(c, ε) (m3·s–1) 0.75 [40]
        16 ${\rm{e+O_{2}\to e+O_{2} } }(\rm A1)$ f(c, ε) (m3·s–1) 0.997 [40]
        17 ${\rm{e+O_{2}\to e+O_{2}}} $ f(c, ε) (m3·s–1) –0.997 [40]
        18 ${\rm{e+O_{2}\to e+O_{2} } }(\rm B1)$ f(c, ε) (m3·s–1) 1.627 [40]
        19 ${\rm{e+O_{2}\to e+O_{2}}} $ f(c, ε) (m3·s–1) –1.627 [40]
        20 ${\rm{e+O_{2}\to e+O_{2}(EXC)}} $ f(c, ε) (m3·s–1) 4.5 [40]
        21 ${\rm{e+O_{2}\to e+O+O}} $ f(c, ε) (m3·s–1) 5.58 [40]
        22 ${\rm{e+O_{2}\to e+O+O(^{1}D)}} $ f(c, ε) (m3·s–1) 8.4 [40]
        23 ${\rm{e+O_{2}\to 2e+O_{2}^{+}}}$ f(c, ε)(m3·s–1) 12.1 [40]
        24 ${\rm{e+He^{\ast }\to 2e+He^{+}}} $ $4.661 \times {10^{ - 16} } \times {T_{\text{e} } ^{0.6}} \times { {\rm{e} }^{ - 4.78/T_{\text{e} } } }\,({\rm m}^3{\cdot} {\rm{s} }^{-1})$ 4.78 [41]
        25 ${\rm{e+He_{2}^{\ast }\to 2e+He_{2}^{+}}} $ $1.268 \times {10^{ - 18} } \times {T_{\text{e} }^{0.71} }\times { {\text{e} }^{ - 3.4/T_{\text{e} } } }\, ({\rm m}^3{\cdot} {\rm{s} }^{-1})$ 3.4 [41]
        26 ${\rm{2He^{\ast }\to e+He+He^{+}}} $ 4.5 × 10–16(m3·s–1) –15 [41]
        27 ${\rm{e+He_{2}^{+}\to He^{\ast}+He}} $ $5.386\times10^{-13}\times T_{\rm e}^{-0.5}\rm (m^3{\cdot} s^{-1})$ / [41]
        28 ${\rm{e+He^{+}\to He^{\ast}}} $ $6.76\times10^{-19}\times T_{\rm e}^{-0.5}\rm (m^3{\cdot} s^{-1})$ / [41]
        29 ${\rm{2e+He^{+}\to e+He^{\ast}}} $ $6.186\times10^{-39}\times T_{\rm e}^{-4.4}\rm (m^3{\cdot} s^{-1})$ / [31]
        30 ${\rm{e+He+He^{+}\to He+He^{\ast}}} $ $6.66\times10^{-42}\times T_{\rm e}^{-2}\rm (m^6{\cdot} s^{-1})$ / [31]
        31 ${\rm{2e+He_{2}^{+}\to He_{2}^{\ast}+e}} $ 1.2 × 10–33(m6·s–1) / [31]
        32 ${\rm{e+He+He_{2}^{+}\to He_{2}^{\ast }+He}} $ 1.5 × 10–39(m6·s–1) / [31]
        33 ${\rm{e+He+He_{2}^{+}\to He^{\ast }+2He}} $ 3.5 × 10–39(m6·s–1) / [31]
        34 ${\rm{2e+He_{2}^{+}\to He^{\ast }+He+e}} $ 2.8 × 10–32(m6·s–1) / [31]
        35 ${\rm{e+N_{2}\to e+N+N}} $ $1\times10^{-16}\times T_{\rm e}^{-0.5}\times {\rm e}^{{-16}/T_{\rm{e} }}\rm (m^3{\cdot} s^{-1})$ 9.757 [42]
        36 ${\rm{e+N_{2}^{+}\to N+N}} $ $4.8\times10^{-13}\times T_{\rm e}^{-0.5}\rm (m^3{\cdot} s^{-1})$ / [42]
        37 ${\rm{e+N_{2}^{+}\to N_{2}}} $ $7.72\times10^{-14}\times T_{\rm e}^{-0.5}\rm (m^3{\cdot} s^{-1})$ / [43]
        38 ${\rm{e+N_{4}^{+}\to 2N_{2}}} $ $3.22\times10^{-13}\times T_{\rm e}^{-0.5}\rm (m^3{\cdot} s^{-1})$ / [44]
        39 ${\rm{2e+N_{2}^{+}\to N_{2}+e}} $ $3.165\times10^{-42}\times T_{\rm e}^{-0.8}\rm (m^6 \cdot s^{-1})$ / [44]
        40 ${\rm{e+2O_{2}\to O_{2}+O_{2}^{-}}} $ $5.17\times10^{-43}\times T_{\rm e}^{-1}\rm (m^6{\cdot} s^{-1})$ –0.43 [44]
        41 ${\rm{e+O_{2}^{+}\to O+O}} $ $6\times10^{-11}\times T_{\rm e}^{-1}\rm (m^3{\cdot} s^{-1})$ –6.91 [44]
        42 ${\rm{e+O_{2}^{+}\to O_{2}}} $ 4 × 10–18(m3·s–1) / [43]
        43 ${\rm{e+O_{4}^{+}\to 2O_{2}}} $ $2.25\times10^{-13}\times T_{\rm e}^{-0.5}\rm (m^3{\cdot} s^{-1})$ / [44]
        44 ${\rm{He^{\ast}+ 2He \to He_{2}^{\ast }+He}} $ 1.3 × 10–45(m6·s–1) / [41]
        45 ${\rm{He^{+}+2He\to He_{2}^{+}+He}} $ 1 × 10–43(m6·s–1) / [41]
        46 ${\rm{N_{2}+N_{2}+N_{2}^{+}\to N_{2}+N_{4}^{+}}} $ 5 × 10–41(m6·s–1) / [44]
        47 ${\rm{O^{-}+O_{2}^{+}\to O+O_{2}}} $ 2 × 10–13(m3·s–1) / [41]
        48 ${\rm{O_{2}^{-}+O_{2}^{+}\to O_{2}+O_{2}}} $ 2 × 10–13(m3·s–1) / [41]
        49 ${\rm{O_{2}^{-}+O_{2}^{+}+O_{2}\to 3O_{2}}} $ 2 × 10–37(m6·s–1) / [44]
        50 ${\rm{O_{2}^{-}+O_{4}^{+}+O_{2}\to 4O_{2}}} $ 2 × 10–37(m6·s–1) / [44]
        51 ${\rm{O_{2}+O_{2}+O_{2}^{+}\to O_{2}+O_{4}^{+}}} $ 2.4 × 10–42(m6·s–1) / [44]
        52 ${\rm{He^{\ast }+N_{2}\to e+He+N_{2}^{+}}} $ 7 × 10–17(m3·s–1) / [41]
        53 ${\rm{He_{2}^{\ast }+N_{2}\to e+2He+N_{2}^{+}}} $ 7 × 10–17(m3·s–1) / [41]
        54 ${\rm{He_{2}^{\ast }+O_{2}\to e+2He+O_{2}^{+}}} $ 3.6 × 10–16(m3·s–1) / [43]
        55 ${\rm{He^{\ast }+O_{2}\to e+He+O_{2}^{+}}} $ 2.6 × 10–16(m3·s–1) / [43]
        56 ${\rm{He_{2}^{+}+N_{2}\to N_{2}^{+}+2He}} $ 5 × 10–16(m3·s–1) / [41]
        57 ${\rm{He^{+}+N_{2}\to N_{2}^{+}+He}} $ 5 × 10–16(m3·s–1) / [41]
        58 ${\rm{He+N_{2}+N_{2}^{+}\to He+N_{4}^{+}}} $ 8.9 × 10–42(m6·s–1) / [42]
        59 ${\rm{He+O_{2}+O_{2}^{+}\to He+O_{4}^{+}}} $ 5.8 × 10–43(m6·s–1) / [42]
        60 ${\rm{He+O_{2}^{-}+O_{2}^{+}\to He+2O_{2}}} $ 2 × 10–37(m6·s–1) / [43]
        61 ${\rm{O_{2}^{-}+O_{2}^{+}+N_{2}\to 2O_{2}+N_{2}}} $ 2 × 10–37(m6·s–1) / [43]
        62 ${\rm{O_{2}^{-}+O_{4}^{+}+N_{2}\to 3O_{2}+N_{2}}} $ 2 × 10–37(m6·s–1) / [44]
        63 ${\rm{N_{2}+O_{2}+N_{2}^{+}\to O_{2}+N_{4}^{+}}} $ 5 × 10–41(m6·s–1) / [44]
        64 ${\rm{O_{2}+N_{4}^{+}\to 2N_{2}+O_{2}^{+}}} $ 2.5 × 10–16(m3·s–1) / [44]
        65 ${\rm{O_{2}+N+N\to O_{2}+N_{2}}} $ 3.9 × 10–45(m6·s–1) / [43]
        66 ${\rm{O+O+N\to O_{2}+N}} $ 3.2 × 10–45(m6·s–1) / [42]
        注:f(c,ε)表示速率系数是通过电子能量分布函数(EEDF)使用相关文献中的横截面获得的.c表示He摩尔分数,ε表示平均电子能量(eV),neTe表示电子密度(m–3) 和电子温度(eV). 他代表He(23S)和He(21S). He2*代表He2(a3∑u+). N2(VIBv1), N2(VIB 3v1), N2(VIB 4v1)和N2(VIB 5v1)被视为N2, O2(VIB 3v1), O2(VIB 4v1), O2(A1), O2(B1)和O2(EXC)被视为O2; O(1D)和O(1S)被视为O.
        下载: 导出CSV

        反应 cHe= 98%轮
        廓线上
        化学反应速率
        /(mol·m–2·s–1)
        cHe= 95%轮
        廓线上
        化学反应速率
        /(mol·m–2·s–1)
        cHe= 90%轮
        廓线上
        化学反应速率
        /(mol·m–2·s–1)
        R41: e + $\rm O_2^+$ → O + O 2.98 × 10–3 1.27 × 10–3 3.81 × 10–4
        R46: N2+ N2+ $\rm N_2^+ $ → N2+ $\rm N_4^+$ 1.67 × 10–4 1.61 × 10–5 2.67 × 10–7
        R51: O2+ O2+ $\rm O_2^+$ → O2+ $\rm O_4^+$ 8.86 × 10–7 3.83 × 10–6 6.70 × 10–6
        R52: He*+ N2→ e + He + $\rm N_2^+ $ 1.29 × 10–3 4.48 × 10–5 4.96 × 10–7
        R55: He*+ O2→ e + He + $\rm O_2^+$ 1.28 × 10–3 4.42 × 10–5 4.90 × 10–7
        R58: He + N2+ $\rm N_2^+ $ → He + $\rm N_4^+ $ 1.86 × 10–3 6.92 × 10–5 5.41 × 10–7
        R63: N2+ O2+ $\rm N_2^+ $ → O2+ $\rm N_4^+ $ 4.45 × 10–5 4.29 × 10–6 7.09 × 10–8
        R64: O2+ $\rm N_4^+ $ → 2N2+ $\rm O_2^+$ 1.59 × 10–3 9.67 × 10–4 1.10 × 10–4
        下载: 导出CSV
      • [1]

        [2]

        [3]

        [4]

        [5]

        [6]

        [7]

        [8]

        [9]

        [10]

        [11]

        [12]

        [13]

        [14]

        [15]

        [16]

        [17]

        [18]

        [19]

        [20]

        [21]

        [22]

        [23]

        [24]

        [25]

        [26]

        [27]

        [28]

        [29]

        [30]

        [31]

        [32]

        [33]

        [34]

        [35]

        [36]

        [37]

        [38]

        [39]

        [40]

        [41]

        [42]

        [43]

        [44]

      • [1] 刘坤, 项红甫, 周雄峰, 夏昊天, 李华.固定功率下大气压交流氩气等离子体射流的光谱特性. 必威体育下载 , 2023, 72(11): 115201.doi:10.7498/aps.72.20230307
        [2] 朱彦熔, 常正实.脉冲电压上升沿对He 大气压等离子体射流管内放电发展演化特性的影响. 必威体育下载 , 2022, 71(2): 025202.doi:10.7498/aps.71.20210470
        [3] 杨丽君, 宋彩虹, 赵娜, 周帅, 武珈存, 贾鹏英.大气压氩气刷形等离子体羽的特性研究. 必威体育下载 , 2021, 70(15): 155201.doi:10.7498/aps.70.20202091
        [4] 钟旺燊, 陈野力, 钱沐杨, 刘三秋, 张家良, 王德真.大气压非平衡等离子体甲烷干法重整零维数值模拟. 必威体育下载 , 2021, 70(7): 075206.doi:10.7498/aps.70.20201700
        [5] 张亚容, 韩乾翰, 郭颖, 张菁, 石建军.大气压脉冲放电等离子体射流特性及机理研究. 必威体育下载 , 2021, 70(9): 095202.doi:10.7498/aps.70.20202246
        [6] 孔得霖, 杨冰彦, 何锋, 韩若愚, 缪劲松, 宋廷鲁, 欧阳吉庭.大气压电晕等离子体射流制备氧化钛薄膜. 必威体育下载 , 2021, 70(9): 095205.doi:10.7498/aps.70.20202181
        [7] 陈坚, 刘志强, 郭恒, 李和平, 姜东君, 周明胜.基于气体放电等离子体射流源的模拟离子引出实验平台物理特性. 必威体育下载 , 2018, 67(18): 182801.doi:10.7498/aps.67.20180919
        [8] 郭恒, 张晓宁, 聂秋月, 李和平, 曾实, 李志辉.亚大气压六相交流电弧放电等离子体射流特性数值模拟. 必威体育下载 , 2018, 67(5): 055201.doi:10.7498/aps.67.20172557
        [9] 郭恒, 苏运波, 李和平, 曾实, 聂秋月, 李占贤, 李志辉.亚大气压六相交流电弧等离子体射流特性研究:实验测量. 必威体育下载 , 2018, 67(4): 045201.doi:10.7498/aps.67.20172556
        [10] 赵曰峰, 王超, 王伟宗, 李莉, 孙昊, 邵涛, 潘杰.大气压甲烷针-板放电等离子体中粒子密度和反应路径的数值模拟. 必威体育下载 , 2018, 67(8): 085202.doi:10.7498/aps.67.20172192
        [11] 刘富成, 晏雯, 王德真.针板型大气压氦气冷等离子体射流的二维模拟. 必威体育下载 , 2013, 62(17): 175204.doi:10.7498/aps.62.175204
        [12] 黄骏, 陈维, 李辉, 王鹏业, 杨思泽.大气压冷等离子体射流灭活子宫颈癌Hela细胞. 必威体育下载 , 2013, 62(6): 065201.doi:10.7498/aps.62.065201
        [13] 董丽芳, 刘为远, 杨玉杰, 王帅, 嵇亚飞.大气压等离子体炬电子密度的光谱诊断. 必威体育下载 , 2011, 60(4): 045202.doi:10.7498/aps.60.045202
        [14] 李雪辰, 袁宁, 贾鹏英, 常媛媛, 嵇亚飞.大气压等离子体针产生空气均匀放电特性研究. 必威体育下载 , 2011, 60(12): 125204.doi:10.7498/aps.60.125204
        [15] 倪明江, 余量, 李晓东, 屠昕, 汪宇, 严建华.大气压直流滑动弧等离子体工作特性研究. 必威体育下载 , 2011, 60(1): 015101.doi:10.7498/aps.60.015101
        [16] 刘莉莹, 张家良, 郭卿超, 王德真.大气压等离子体辅助多晶硅薄膜化学气相沉积参数诊断. 必威体育下载 , 2010, 59(4): 2653-2660.doi:10.7498/aps.59.2653
        [17] 江南, 曹则贤.一种大气压放电氦等离子体射流的实验研究. 必威体育下载 , 2010, 59(5): 3324-3330.doi:10.7498/aps.59.3324
        [18] 段 萍, 刘金远, 宫 野, 张 宇, 刘 悦, 王晓钢.等离子体鞘层中尘埃粒子的分布特性. 必威体育下载 , 2007, 56(12): 7090-7099.doi:10.7498/aps.56.7090
        [19] 孙 姣, 张家良, 王德真, 马腾才.一种新型大气压毛细管介质阻挡放电冷等离子体射流技术. 必威体育下载 , 2006, 55(1): 344-350.doi:10.7498/aps.55.344
        [20] 严建华, 屠 昕, 马增益, 潘新潮, 岑可法, Cheron Bruno.大气压直流氩等离子体射流工作特性研究. 必威体育下载 , 2006, 55(7): 3451-3457.doi:10.7498/aps.55.3451
      计量
      • 文章访问数:3609
      • PDF下载量:86
      • 被引次数:0
      出版历程
      • 收稿日期:2022-03-08
      • 修回日期:2022-04-14
      • 上网日期:2022-08-11
      • 刊出日期:2022-08-20

        返回文章
        返回
          Baidu
          map