-
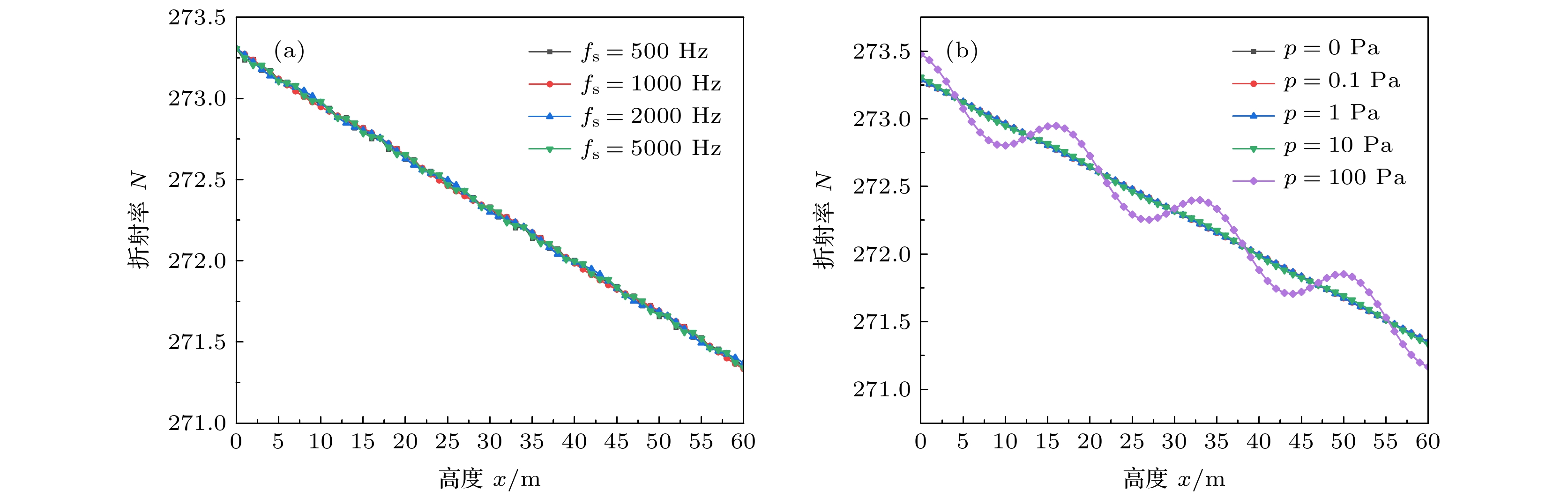
本文基于声光效应和Gladstone–Dale关系, 推导了在平面声场扰动下, 各向同性均匀大气介质和非均匀大气介质的折射率随声压变化关系式, 建立了平面光波和拉盖尔-高斯(Laguerre-Gaussian, LG)光束通过经平面声波扰动的均匀大气和非均匀大气介质的传输模型. 结果表明, 经平面声场扰动后, 均匀大气介质折射率分布呈层均匀的周期性分布. 对于大气压强纵向变化的大尺度角度, 平面声场对非均匀大气折射率的分布情况影响不明显; 而对于小尺度角度, 非均匀大气折射率会随高度的增加逐渐减小, 并且随声压的影响而产生波动. 平面声波扰动均匀大气介质时, 会使平面光波的等相位面因声波的影响产生明显波动; LG光束相位会发生旋转, 且总会回到初始相位. 平面声波扰动非均匀大气介质时, 会使平面光波的相位变化会随着声波的变化规律产生周期性的变化, 光程整体为倾斜的平面, 但由于声波的扰动, 光程会产生波动; LG光束的相位仍会发生旋转, 但与均匀介质不同的是, 由于其折射率随高度的变化, 其相位不会回到初始相位.Based on the acousto-optic effect and the Gladstone–Dale relationship, the relationship about variations of the refractive index of the isotropic homogeneous atmospheric medium and the inhomogeneous atmospheric medium with the sound pressure under the disturbance of the plane sound field is derived. Models for the transmission of plane light waves and Laguerre-Gaussian beams through homogeneous atmospheric medium and inhomogeneous atmospheric medium disturbed by plane acoustic waves are established. The results show that the refractive index distribution of the homogeneous atmospheric medium exhibits a homogeneous periodic distribution after being disturbed by the plane sound field. For large-scale angles of longitudinal variation of atmospheric pressure, the plane sound field has little effect on the distribution of the refractive index of the inhomogeneous atmosphere. For small-scale angles, the inhomogeneous atmospheric refractive index gradually decreases with height and fluctuates with the influence of sound pressure. When the plane acoustic wave disturbs the homogeneous atmospheric medium, the isophase plane of the plane light wave will fluctuate significantly due to the influence of the acoustic wave. The phase of the LG beam rotates and always returns to the original phase. When the plane acoustic wave disturbs the inhomogeneous atmospheric medium, the phase change of the plane light wave will change periodically with the change law of the sound wave. The overall optical path is an inclined plane, but due to the disturbance of the sound wave, the optical path will fluctuate. The phase of the LG beam still rotates, but unlike the homogeneous medium, its phase does not return to its original phase due to the change of its refractive index with height.
-
Keywords:
- atmospheric media/
- sound waves/
- light wave/
- acousto-optic effect/
- phase
[1] [2] [3] [4] [5] [6] [7] [8] [9] [10] [11] [12] [13] [14] [15] [16] [17] [18] [19] [20] [21] -
[1] [2] [3] [4] [5] [6] [7] [8] [9] [10] [11] [12] [13] [14] [15] [16] [17] [18] [19] [20] [21]
计量
- 文章访问数:3053
- PDF下载量:61
- 被引次数:0












下载:












