-
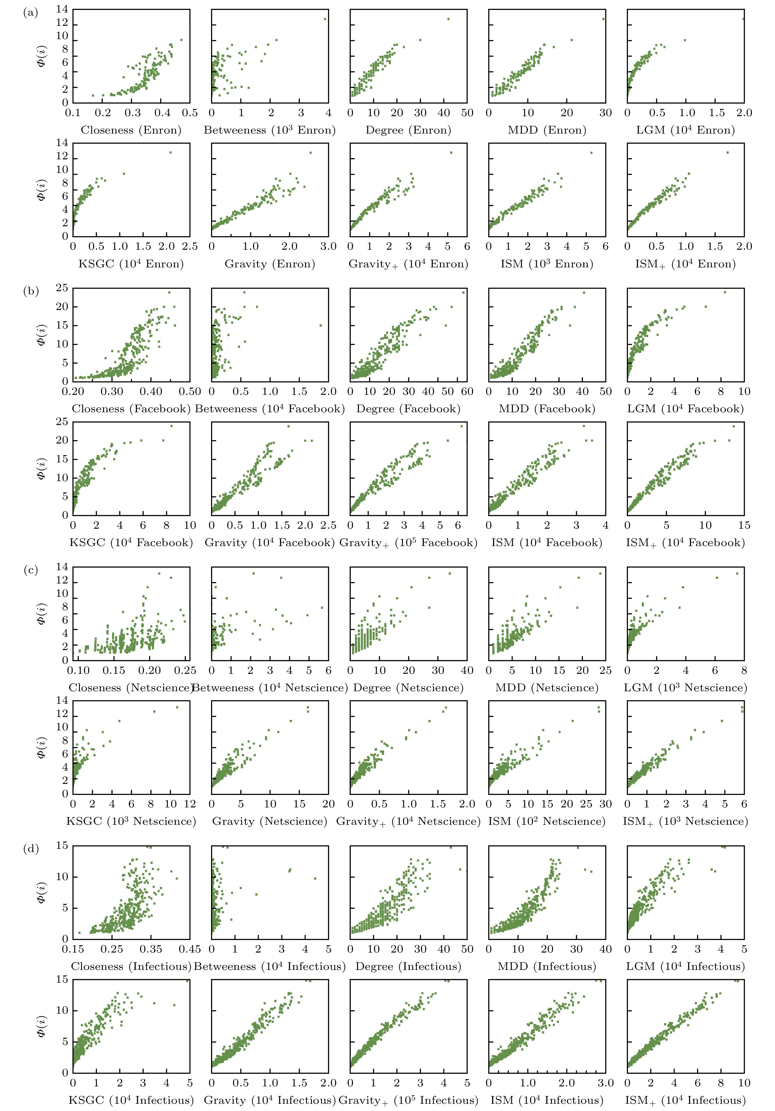
如何用定量分析的方法识别复杂网络中哪些节点最重要, 或评价某个节点相对于其他一个或多个节点的重要程度, 是复杂网络研究的热点问题. 目前已有多种有效模型被提出用于识别网络重要节点. 其中, 引力模型将节点的核数(网络进行 k-核分解时的 ks值)看作物体的质量, 将节点间的最短距离看作物体间距离, 综合考虑了节点局部信息和路径信息用于识别网络重要节点. 然而, 仅将节点核数表示为物体的质量考虑的因素较为单一, 同时已有研究表明网络在进行 k-核分解时容易将具有局部高聚簇特征的类核团节点识别为核心节点, 导致算法不够精确. 基于引力方法, 综合考虑节点 H指数、节点核数以及节点的结构洞位置, 本文提出了基于结构洞引力模型的改进算法 (improved gravity method based on structure hole method, ISM)及其扩展算法ISM +. 在多个经典的实际网络和人工网络上利用SIR (susceptible-infected-recovered)模型对传播过程进行仿真, 结果表明所提算法与其他中心性指标相比能够更好地识别复杂网络中的重要节点.How to use quantitative analysis methods to identify which nodes are the most important in complex network, or to evaluate the importance of a node relative to one or more other nodes, is one of the hot issues in network science research. Now, a variety of effective models have been proposed to identify important nodes in complex network. Among them, the gravity model regards the coreness of nodes as the mass of object, the shortest distance between nodes as the distance between objects, and comprehensively considers the local information of nodes and path information to identify influential nodes. However, only the coreness is used to represente the quality of the object, and the factors considered are relatively simple. At the same time, some studies have shown that the network can easily identify the core-like group nodes with locally and highly clustering characteristics as core nodes when performing k-core decomposition, which leads to the inaccuracy of the gravity algorithm. Based on the universal gravitation method, considering the node Hindex, the number of node cores and the location of node structural holes, this paper proposes an improved algorithm ISM and its extended algorithm ISM +. The SIR model is used to simulate the propagation process in several classical real networks and artificial networks, and the results show that the proposed algorithm can better identify important nodes in the network than other centrality indicators.
-
Keywords:
- complex networks/
- spreading influence/
- gravity model/
- Hindex/
- k-shell method
[1] [2] [3] [4] [5] [6] [7] [8] [9] [10] [11] [12] [13] [14] [15] [16] [17] [18] [19] [20] [21] [22] [23] [24] [25] [26] [27] [28] [29] [30] [31] [32] [33] [34] [35] [36] [37] -
网络名 N E $ \langle d \rangle $ ${\beta _{{\text{th}}}}$ $\beta $ $ \langle k \rangle $ C D $ k{s_{\max }} $ Enron 143 623 2.9670 0.0774 0.08 8.7133 0.4339 8 9 Facebook 324 2218 3.0537 0.0466 0.05 13.6914 0.4658 7 18 Netscience 379 914 6.0419 0.1250 0.13 4.8232 0.7410 17 8 USAir 453 2025 2.7381 0.0231 0.03 12.8072 0.6252 6 26 Infectious 410 2765 3.6309 0.0534 0.05 13.4878 0.4558 9 17 Web_EPA 4253 6258 4.5003 0.0366 0.08 4.1839 0.0714 10 6 -
[1] [2] [3] [4] [5] [6] [7] [8] [9] [10] [11] [12] [13] [14] [15] [16] [17] [18] [19] [20] [21] [22] [23] [24] [25] [26] [27] [28] [29] [30] [31] [32] [33] [34] [35] [36] [37]
计量
- 文章访问数:5188
- PDF下载量:186
- 被引次数:0












下载:




