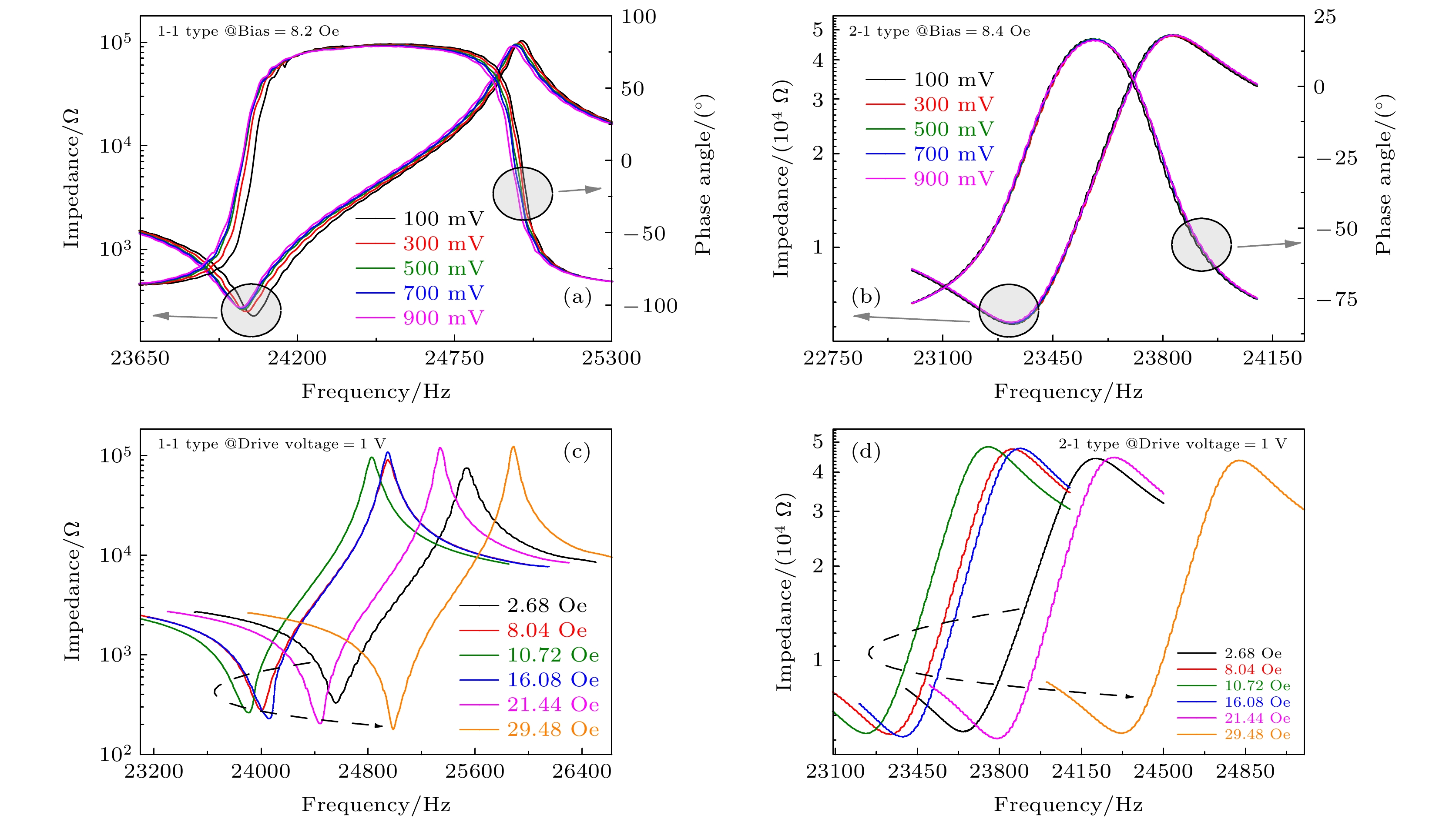
Mechanical antenna, a novel scheme for realizing very low frequency (VLF) and portable transmitters, has been investigated recently. In this work, the impedance characteristics of 1-1 type of and 2-1 type of magnetoelectric (ME) mechanical antennas are systematically studied and compared with each other. Based on the measured frequency-impedance curves and the corresponding modified Butterworth-van Dyke (MBVD) model, three characteristic frequency points, i.e. the minimum impedance frequency
$ {f}_{\rm{m}} $
, the series resonance frequency
$ {f}_{\rm{s}} $
, and the resonance frequency
$ {f}_{\rm{r}} $
are obtained and discussed. On this basis, the influence of driving voltage, bias magnetic field, and the quality factor (
Qvalue) on ME antenna impedance characteristics are experimentally explored. Finally, the reactance components of both 1-1 type of and 2-1 type of ME antenna are collected by referring to the actual working frequency
$ {f}_{\rm{d}} $
. Experimental results prove that the resonant ME antennas are basically pure resistive vibrators, while an ME antenna with high
Qvalue normally fails to support high driving field because of the low resistance (< 100 Ω) and the strong nonlinearity. Thus, the field radiation capability in 2-1 type of ME antenna is higher than that in 1-1 typed one. This work provides the ideas for choosing
Qvalue and further optimizing a magnetoelectric antenna based on the understanding of its impedance characteristics.