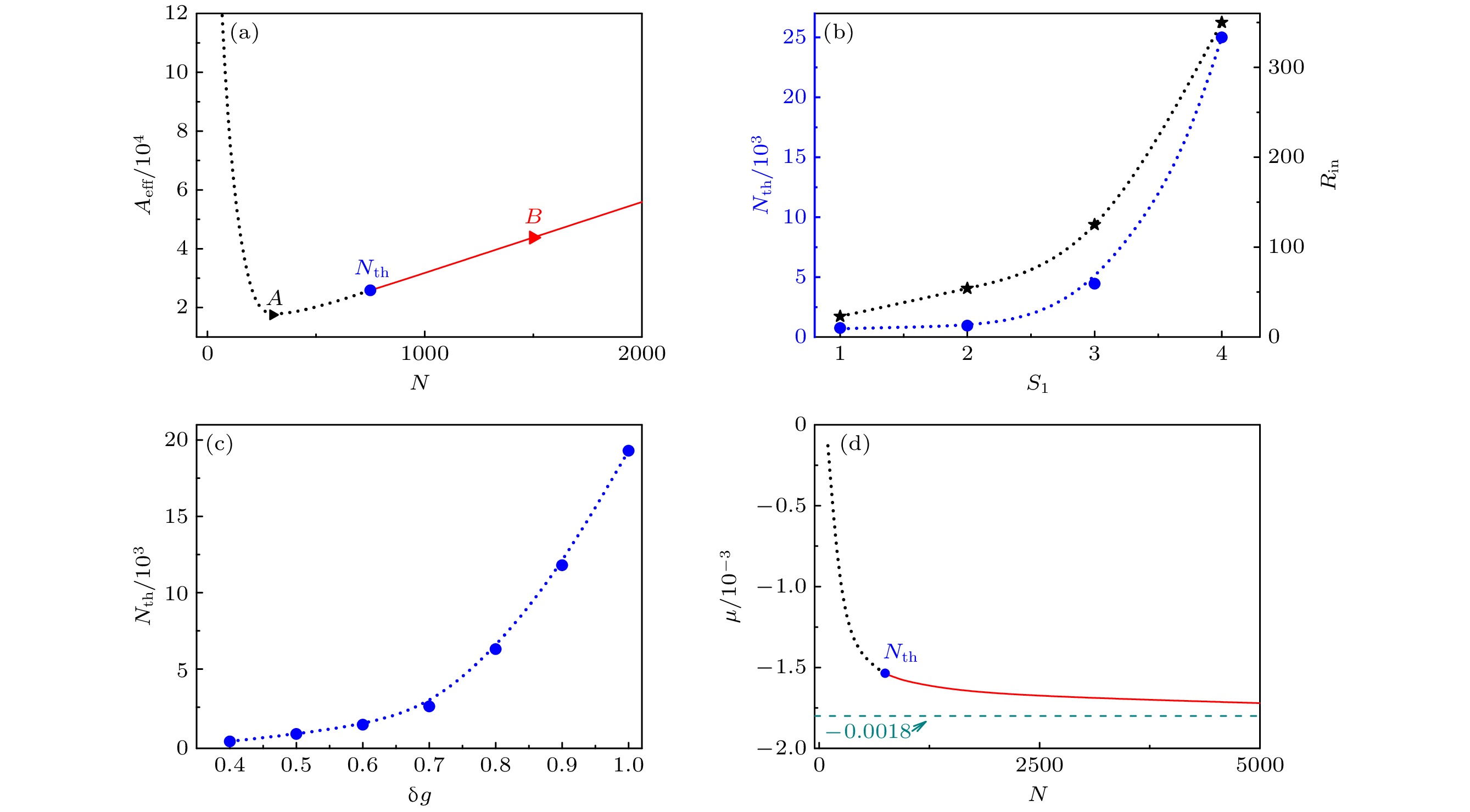
In this work, we study the quasi-two-dimensional hidden vortices of quantum droplets (QDs) trapped by a thicker transverse confinement and investigate their dynamical properties. Previous studies demonstrated that the hidden vortices of QDs in a three-dimensional free space are unstable and stable two-dimensional hidden vortices of QDs only with
${S_{1,2}} = \pm 1$
can be supported by a thin transverse confinement. Under the conditions of thicker transverse confinement, the Lee-Huang-Yang correction term in quasi-two-dimensional space is still described in the form of the three-dimensional space. Hence, under this condition, the stability and characteristics of the hidden vortices of QDs are worth studying. By using the imaginary time method, the hidden vortices of QDs with topological charge
${S_{1,2}}$
up to
$ \pm 4$
are obtained for the first time. Furthermore, the dependence of the effective area
${A_{{\text{eff}}}}$
and the chemical potential
$\mu $
on the total norm
$N$
of the hidden vortices of QDs are demonstrated. Besides, by using the linear stability analysis combined with the direct simulations, we obtain the dependence of the threshold norm
${N_{{\text{th}}}}$
on the topological charge
${S_1}$
and the nonlinear coefficient
${\text{δ}}g$
. Finally, we study the composite vortex pattern constructed by two hidden vortices of QDs, namely nested vortex QDs. Based on the fact that the hidden vortices of QDs generally have flat-top density profiles, the Thomas-Fermi approximation can be used to verify the numerical results effectively. The results of this paper can be extended in some directions, and provide a theoretical basis for the experimental realization of the hidden vortices of QDs.