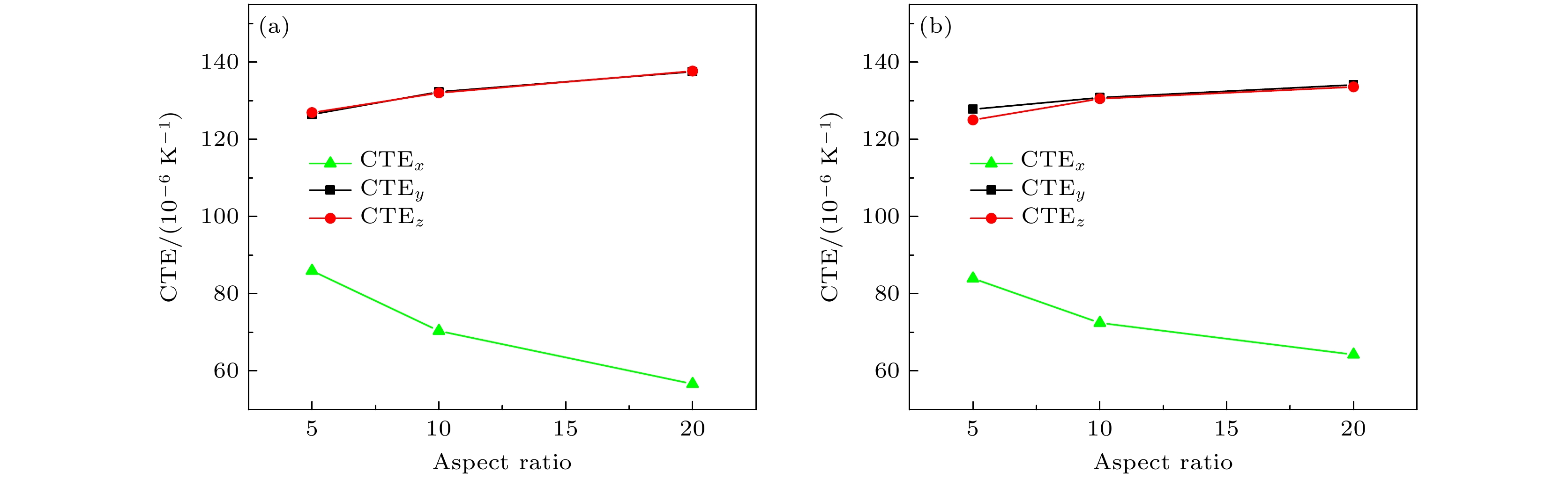
2020 J. Mater. Sci. Mater. Electron. 31 9196). 研究发现, 实心SiO2球(体积分数为30%)/PTFE复合介质材料的热膨胀系数最小, 为7.5×10–5 K–1; 而空心SiO2球(体积分数为10%)/PTFE的介电常数最小, 为2.06. 由于底部的实心SiO2球充当支撑作用, 底部实心SiO2球较密集的实心SiO2/PTFE复合介质材料具有更低的热膨胀系数. SiO2填料的大长径比会降低SiO2/PTFE复合介质材料的热膨胀系数. 成型工艺对实心SiO2/PTFE复合介质材料的热膨胀系数几乎没有影响. 该工作为通过调控SiO2/PTFE复合介质材料的微观结构来控制其热膨胀系数和介电常数提供清晰的思路."> - 必威体育下载

搜索

x

留言板

姓名
邮箱
手机号码
标题
留言内容
验证码

downloadPDF
引用本文:
Citation:

    刘曰利, 赵思杰, 陈文, 周静

    Numerical simulation of thermal and dielectric properties for SiO2/polytetrafluoroethylene dielectric composite

    Liu Yue-Li, Zhao Si-Jie, Chen Wen, Zhou Jing
    PDF
    HTML
    导出引用
    计量
    • 文章访问数:4117
    • PDF下载量:87
    • 被引次数:0
    出版历程
    • 收稿日期:2022-04-27
    • 修回日期:2022-07-07
    • 上网日期:2022-10-20
    • 刊出日期:2022-11-05

      返回文章
      返回
        Baidu
        map