Since the successful preparation of single-layer graphene in 2004, the two-dimensional (2D) materials have received widespread attention. Driven by this research upsurge, many kinds of 2D compound materials with different properties have been discovered one after another, and some of these 2D materials have a variety of allotropes, showing more abundant properties. Our computational studies focus on searching for new stable 2D SiP
2allotropes, and studying their binding energy, phonon dispersions, electronic band structures, strain-dependent bandgap modulation behaviors, piezoelectric properties, etc. In this paper, three novel 2D SiP
2allotrope structures, i.e. α-SiP
2, β-SiP
2, and γ-SiP
2, are found by the random prediction method of crystal structure based on group theory and graph theory (RG
2). Their stabilities and electronic properties are investigated by using the first-principles method based on the density functional theory. The results show that the three novel SiP
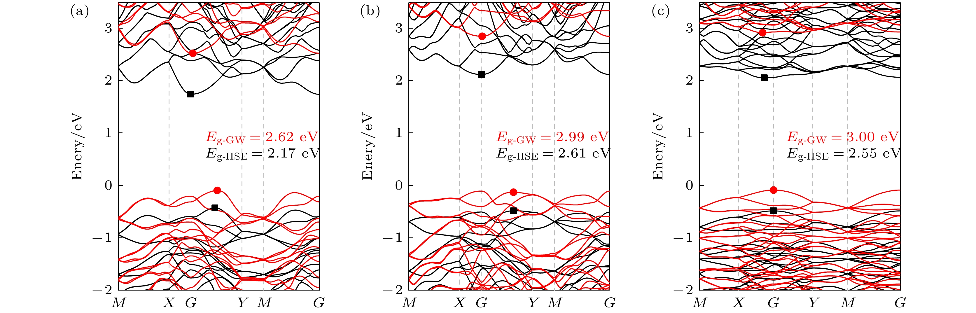
2structures are stable thermodynamically, dynamically and mechanically. Using the GW calculations, three novel SiP
2structures possess indirect band gaps of 2.62, 2.99 and 3.00 eV, respectively. Their band gaps are feasible to modulate effectively by applying strain. The band gaps of the three novel SiP
2isomers are reduced significantly when subjected to a large strainused, and the three novel SiP
2isomers exhibit indirect-to-direct bandgap transitions when experienced by a certain strain along the x-axis direction. These properties make them potential materials that are suitable for serving as nanoscale photocatalysts. Moreover, three SiP
2isomers have non-centrosymmetric crystal structures, which enable them to exhibit their piezoelectricities. Therefore, we study their piezoelectric properties by combining the Berry phase theory. Our studies show that three novel 2D SiP
2allotropes have good piezoelectric properties. The piezoelectric coefficient of the α-SiP
2isomer and the β-SiP
2isomer are both larger than that of h-BN, and they are comparable to the counterpart of MoS
2. These novel structures promise to be used to fabricate nano-electromechanical devices for micro- and nano-scaled electromechanical conversion and electromechanical sensing and controlling.