-
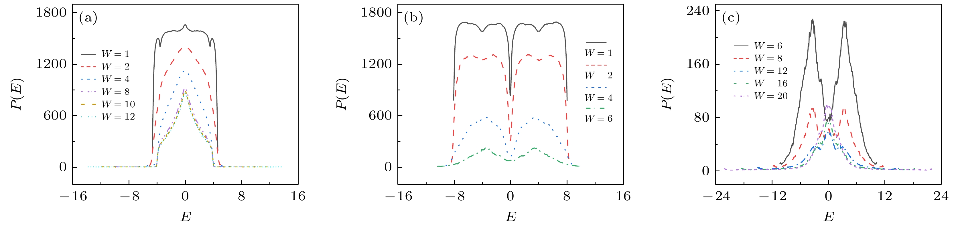
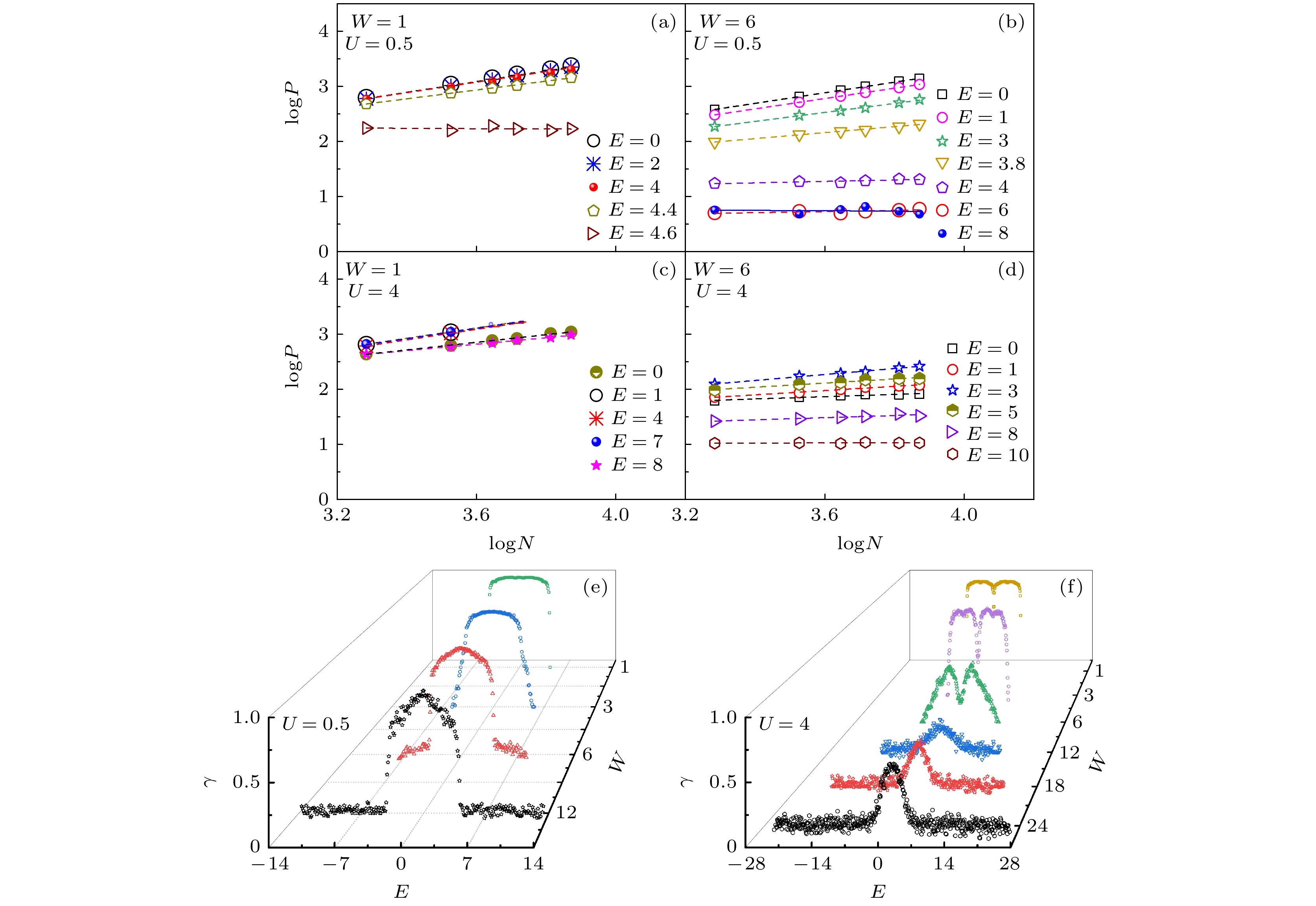
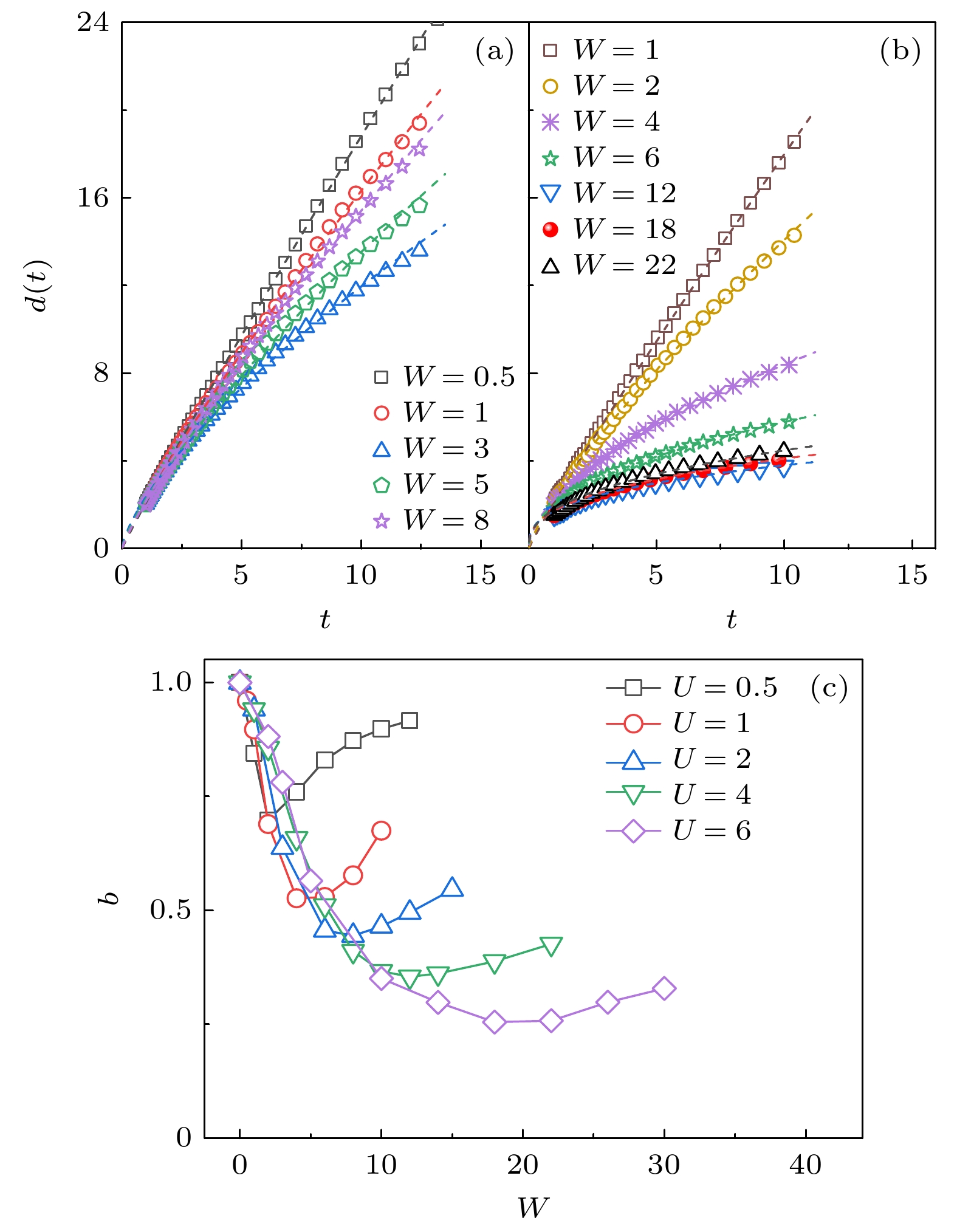
基于双层耦合正方晶格的紧束缚近似模型, 通过对态密度、波函数格点占据数和量子扩散的计算与分析, 系统研究了不同堆垛界面结构、层间耦合强度和无序强度对有序-无序双层二维耦合系统中电子输运性质的影响. 研究发现, AA堆垛双层耦合正方晶格在层间耦合较弱时保持单一能带, 带尾态为局域态, 带中态始终保持延展态及近似延展态的临界态, 存在不随无序增强而消失的迁移率边; 对于强耦合体系, 弱无序时能带的带尾态为临界态, 带中态为扩展态, 而强无序使得耦合导致的两能带交叠为单一能带, 其带尾态为局域态, 带中态为临界态. AB堆垛双层耦合正方晶格的能带始终为单一能带, 且能带中心区始终包含延展态和临界态. 对于 AA和 AB堆垛两种构型, 有序-无序双层耦合系统的量子扩散随无序强度增大均呈现出先减弱再增强的反常量子扩散现象. AA型弱耦合系统和 AB型耦合系统中的量子扩散均表现为超扩散, AA型强耦合系统中弱无序导致超扩散, 而强无序导致亚扩散. 计算结果进一步表明, 有序-无序双层耦合六角晶格系统表现出同样的行为.
-
关键词:
- 二维系统/
- 有序-无序耦合/
- Anderson无序
In the framework of the electronic tight-binding model of order-disorder separated (ODS) bilayer square lattice (BSL) and by calculating the density of states (DOS), participation number of eigen-wavefunctions and quantum diffusion, we systematically study the effects of stacking interface structure, strength of interlayer coupling and degree of disorder on the electron transport properties of order-disorder separated two-dimensional bilayer systems. Our results show that for the ODS-BSL of AA-stacking in the regime of weak coupling, the ODS-BSL always possesses a single energy band with localized states in its band tail, and extended states or critical states similar to the extended ones in the band center region with persistent metal-insulator transitions and associated mobility edges under strong disorder. In the regime of strong coupling, weak disorder leads the critical states to exist in its band tails and extended states to occur in the band center regions, while strong disorder results in the formation of a single band due to the overlapping of the coupling-induced two bands with localized states in the band tails and critical states in the band center region with increasing participation numbers as disorder increases. The ODS-BSL of AB-stacking always possesses a single band and supports extended states and critical states in its band center region, regardless of the strengths of interlayer coupling and disorder. In both ODS-BSL systems of AA- and AB- stackings, quantum diffusion undergoes an anomalous transition from weakening to enhancing behaviors as disorder increases. In the AA-stacking ODS-BSL of weak coupling, AA-stacking ODS-BSL of weak disorder and the AB-stacking ODS-BSL, quantum diffusion exhibits super-diffusion due to the contribution of extended states and the critical states similar to extended ones. In the AA-stacking ODS-BSL of strong coupling, quantum diffusion undergoes sub-diffusion under strong disorder due to the existence of critical states. The numerical results also show that the order-disorder separated (ODS) bilayer hexagonal lattice exhibits the same behaviors as those revealed in ODS-BSL systems.[1] [2] [3] [4] [5] [6] [7] [8] [9] [10] [11] [12] [13] [14] [15] [16] [17] [18] [19] [20] [21] [22] [23] [24] [25] [26] [27] [28] [29] [30] [31] [32] [33] [34] [35] -
[1] [2] [3] [4] [5] [6] [7] [8] [9] [10] [11] [12] [13] [14] [15] [16] [17] [18] [19] [20] [21] [22] [23] [24] [25] [26] [27] [28] [29] [30] [31] [32] [33] [34] [35]
计量
- 文章访问数:3219
- PDF下载量:83
- 被引次数:0












下载:















