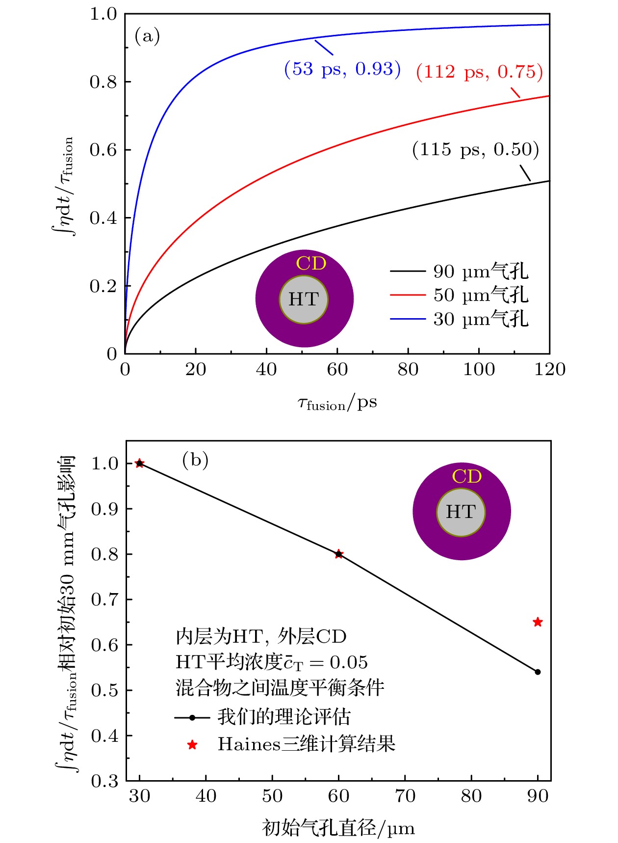
Mixing between shell material and gas fuel, caused by hydrodynamic instability, isolated defects, or kinetic effects, is the key to understand the degradation of implosion performance in the research of inertial confinement fusion. Understanding the mixing mechanism and reducing its impact is of extreme importance to achieve the ignition and high gain. The impact of mixing morphology on thermonuclear reaction rate in sub grid level has gradually attracted people’s attention in recent years due to its direct influence on burn rate and fusion process, the study on physical model of thermonuclear reaction rate in different mix morphology has important scientific significance and application value. In the paper, the dependence of thermonuclear reaction rate on mass distribution of different fuel concentrations at sub grid scale is derived. Based on thermodynamic equilibrium and ideal gas equation of state, the physical law of the evolution of the thermonuclear reaction rate with mix morphology under the dominance of diffusion mixing is revealed through analytical formula and numerical solution of diffusion equation in one-dimensional spherical geometry. It is convinced that the mixing amount directly affects the thermonuclear reaction rate by mainly affecting the volume fraction of the fuel, and the mixing diffusion time determined by heterogeneous mixing scale and diffusion coefficient directly affects the evolution behavior of the thermonuclear reaction rate. Furthermore, based on mutual diffusion coefficient obtained from direct simulation of diffusion process by Monte Carlo method, the difference of impact to thermonuclear reaction rate for low-
ZCarbon and high-
Zgold mixing is quantitatively investigated. Heterogeneous mix size with 0.1 μm, 0.01 μm respectively for the low-
Zand high-
Zmixing can be treated as atomic mix in burn rate aspect, and heterogeneous mix size with 10 μm, 1 μm respectively for the low-
Zand high-
Zmixing can be treated as ideal chunk mix in burn rate aspect, and heterogeneous mix size in the middle state needs to be evaluated by using the heterogeneous mixing model of thermonuclear reaction rate in the paper. Finally, the physical model is compared with 3D simulation results of the heterogeneous mixing effect experiment called “MARBLE Campaign” carried out on OMEGA laser facility, which is designed as a separated reactant experiments and capsules are filled with deuterated foam and HT gas pores of different size, covering typical mix morphology from atomic mix to chunk mix, which validate the reliability of the theoretical evaluation about the evolution of mixing morphology and its impact to thermonuclear reaction rate. This work is significant for the design and improvement of inertial confinement fusion mixing effect experiment in China.