-
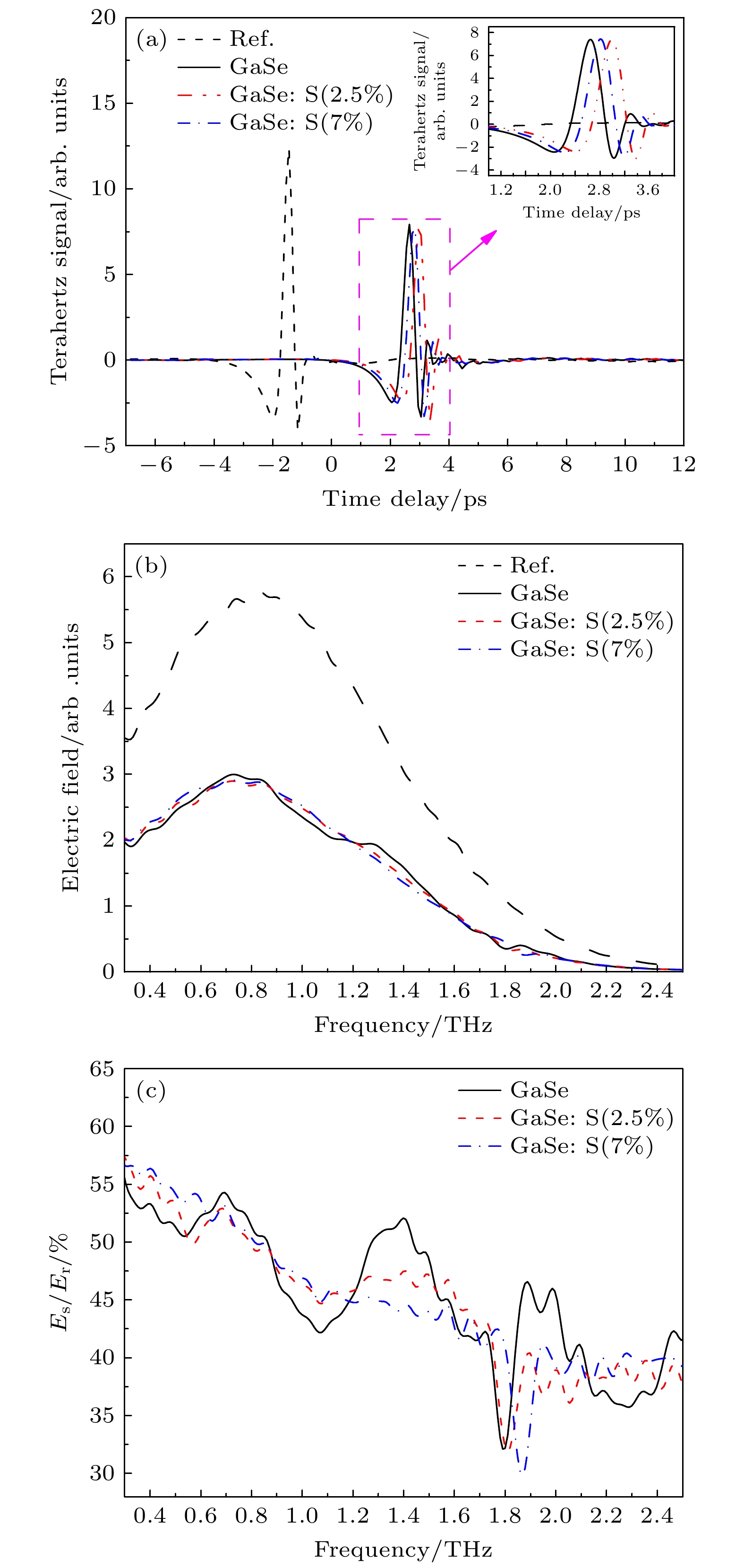
本文采用透射式太赫兹时域光谱技术研究0.3—2.5 THz范围内本征GaSe, S掺杂质量分数为2.5 % GaSe(GaSe: S(2.5%))和S掺杂质量分数为7% GaSe(GaSe: S(7%))晶体的电导率特性, 并利用Drude-Smith-Lorentz模型对复电导率进行拟合. 研究发现GaSe晶体的电导率实部随S掺杂浓度的增大而减小, 主要是由于S掺杂使GaSe晶体的费米能级逐渐向电荷中性能级转移, 载流子浓度下降引起的. 本征GaSe和GaSe: S(2.5%)在约0.56 THz处有明显的晶格振动峰, 而GaSe: S(7%) 在0.56 THz附近无晶格振动峰, 这主要是由于S掺杂提高了晶体的结构硬度, 减弱了晶体的层间刚性振动. 且3个样品均在约1.81 THz处存在明显的窄晶格振动峰, 强度随S掺杂浓度的增大先减小再增大, 主要是由于S掺杂降低了GaSe的局部结构缺陷, 减弱了窄晶格振动峰强度, 而过量的S掺杂生成β型GaS晶体, 进而增加晶体的局部结构缺陷, 窄晶格振动峰强度随之增强. GaSe晶体约在1.07 THz和2.28 THz处的宽晶格振动峰强度随S掺杂浓度的增大而减弱甚至消失, 主要是由于S掺杂产生替位杂质(S取代Se)和GaS间隙杂质, 降低了基频声子振动强度, 从而减弱了晶体二阶声子差模引起的晶格振动. 结果表明, S掺杂可以有效抑制GaSe晶体的晶格振动, 降低电导率, 减少在THz波段的功率损耗. 此研究为低损耗THz器件的设计和制作提供重要的数据支撑和理论依据.
-
关键词:
- 太赫兹时域光谱/
- S掺杂硒化镓/
- 电导率/
- Drude-Smith-Lorentz模型
In this work, the conductivity of intrinsic GaSe, S doped 2.5 mass% GaSe (GaSe: S(2.5%)), and S doped 7 mass% GaSe (GaSe: S(7%)) crystals, in a frequency range of 0.3–2.5 THz, is measured by transmission terahertz time-domain spectroscopy, and fitted with Drude-Smith-Lorentz model which is introduced by lattice vibration effect. It is found that the real part of conductivity decreases with the augment of S doping, which is caused by the gradual shift of the Fermi energy level of GaSe crystals to the charge neutrality level due to the generation of substitution impurities and gap impurities by S doping, resulting in the reduction of carrier concentration. The intrinsic GaSe and GaSe: S(2.5%) have a clear lattice vibration peak at about 0.56 THz, while GaSe: S(7%) has no lattice vibration peak near 0.56 THz, which is mainly due to the S doping increasing the structural hardness of the crystal and reducing the interlayer rigidity vibration of the crystal. All three samples have the obvious narrow lattice vibration peaks at about 1.81 THz, and the intensities that first decrease and then increase with the augment of S doping, which is mainly due to the fact that a small amount of S doping can reduce the local structural defects of GaSe and weaken the intensity of the narrow lattice vibration peak, while excessive S doping can generate the β-type GaS crystal, increase the local structural defects of the crystals and the intensity of the narrow lattice vibration peak. With the increase of S doping, the intensity of the broad lattice vibration peak of GaSe crystal weakens or even disappears at about 1.07 THz and 2.28 THz, mainly due to the S doping resulting in the substitution of S for impurities and GaS gap impurities, which reduces the fundamental frequency phonon vibration intensity, thereby weakening the lattice vibration caused by the second-order phonon difference mode of the crystal. The results show that the appropriate concentration of S doping can effectively suppress the lattice vibration of GaSe crystal and reduce the conductivity and power loss in the THz band. This study provides important data support and theoretical basis for the design and fabrication of low loss THz devices.-
Keywords:
- terahertz time-domain spectroscopy/
- sulfur doped gallium selenide crystal/
- conductivity/
- Drude-Smith-Lorentz model
[1] [2] [3] [4] [5] [6] [7] [8] [9] [10] [11] [12] [13] [14] [15] [16] [17] [18] [19] [20] [21] [22] [23] [24] [25] [26] [27] [28] [29] [30] [31] [32] [33] [34] [35] [36] [37] [38] [39] [40] [41] [42] [43] -
物理参数 GaSe GaSe: S(2.5%) GaSe: S(7%) $ {\omega _{o1}} $/THz 0.56 0.56 $ {S_1} $/(arb.units) 0.0016 0.0015 $ {\varGamma _1} $/THz 0.0411 0.0413 $ {\omega _{o2}} $/THz 1.07 1.07 $ {S_2} $/(arb.units) 0.0112 0.0011 $ {\varGamma _2} $/THz 0.2882 0.6270 $ {\omega _{o3}} $/THz 1.81 1.81 1.81 $ {S_3} $/(arb.units) 0.0010 0.0008 0.0009 $ {\varGamma _3} $/THz 0.0412 0.0647 0.0573 $ {\omega _{o4}} $/THz 2.28 $ {S_4} $/(arb.units) 0.0042 $ {\varGamma _4} $/THz 0.3631 物理参数 GaSe GaSe: S(2.5%) GaSe: S(7%) $ {\omega _{o1}} $/THz 0.56 0.56 $ {S_1} $/(arb.units) 0.0039 0.0021 $ {\varGamma _1} $/THz 0.4112 0.4513 $ {\omega _{o2}} $/THz 1.07 1.07 $ {S_2} $/(arb.units) 0.0081 0.0039 $ {\varGamma _2} $/THz 0.2229 0.2213 $ {\omega _{o3}} $/THz 1.81 1.81 1.81 $ {S_3} $/(arb.units) 0.0003 0.0001 0.0002 $ {\varGamma _3} $/THz 0.0766 0.0787 0.0777 $ {\omega _{o4}} $/THz 2.28 $ {S_4} $/(arb.units) 0.0048 $ {\varGamma _4} $/THz 0.4012 物理参数 GaSe GaSe: S(2.5%) GaSe: S(7%) $ {\omega _{o1}} $/THz 0.56 0.56 $ {S_1} $/(arb.units) 0.0055 0.0052 $ {\varGamma _1} $/THz 1.1491 1.1495 $ {\omega _{o2}} $/THz 1.07 1.07 $ {S_2} $/(arb.units) 0.0044 0.0020 $ {\varGamma _2} $/THz 1.3296 1.3936 $ {\omega _{o3}} $/THz 1.81 1.81 1.81 $ {S_3} $/(arb.units) 0.0009 0.0007 0.0008 $ {\varGamma _3} $/THz 0.4122 0.4385 0.4245 $ {\omega _{o4}} $/THz 2.28 $ {S_4} $/(arb.units) 0.0018 $ {\varGamma _4} $/THz 1.9465 物理参数 GaSe GaSe: S(2.5%) GaSe: S(7%) $ {\omega _{o1}} $/THz 0.56 0.56 $ {S_1} $/(arb.units) 0.0037 0.0029 $ {\varGamma _1} $/THz 0.5338 0.5474 $ {\omega _{o2}} $/THz 1.07 1.07 $ {S_2} $/(arb.units) 0.0079 0.0023 $ {\varGamma _2} $/THz 0.6136 0.7473 $ {\omega _{o3}} $/THz 1.81 1.81 1.81 $ {S_3} $/(arb.units) 0.0007 0.0005 0.0006 $ {\varGamma _3} $/THz 0.1767 0.1940 0.1865 $ {\omega _{o4}} $/THz 2.28 $ {S_4} $/(arb.units) 0.0036 $ {\varGamma _4} $/THz 0.9036 -
[1] [2] [3] [4] [5] [6] [7] [8] [9] [10] [11] [12] [13] [14] [15] [16] [17] [18] [19] [20] [21] [22] [23] [24] [25] [26] [27] [28] [29] [30] [31] [32] [33] [34] [35] [36] [37] [38] [39] [40] [41] [42] [43]
计量
- 文章访问数:3520
- PDF下载量:81
- 被引次数:0












下载:




