-
声波在饱含流体孔隙介质中的传播特性与流体的黏滞性及孔隙介质的非均匀性密切相关. 本文在Biot理论基础上, 考虑了孔隙流体的剪切应力及孔隙结构的非均匀性, 采用含黏性流体孔隙介质中的波动理论, 研究了孔隙介质中四种体波的频散和衰减特性, 分析了慢横波对快纵波转换散射的影响, 进一步推导了孔隙地层井孔中的模式波及其声场的解析解, 研究了非均匀孔隙介质中井孔模式波和波列的特征. 研究结果表明, 含黏性流体孔隙介质中存在慢横波, 慢横波的频散很强, 其传播特征受到介质孔隙度、渗透率及孔隙流体黏度的影响. 在非均匀孔隙介质中, 与慢横波相关的剪切应力平衡过程不仅导致快纵波的频散和衰减, 还会影响井孔伪瑞利波及斯通利波的传播特征. 本文的工作完善了孔隙介质中声波传播的物理机制, 为孔隙地层井孔声波的解释与应用提供了理论指导.Sound field in fluid-saturated porous medium is closely related to the viscosity of fluid and the heterogeneity of porous medium. In order to improve the physical mechanism of wave propagation in porous medium and expand its application in borehole acoustic field, the shear stress of porous fluid and the heterogeneity of pore structure are considered. The wave theory in porous medium containing viscous fluid is deduced based on the Biot theory. The influence of porous medium parameters on slow shear wave is analyzed, and the dispersion and attenuation of elastic wave caused by shear stress balance in porous fluid under the influence of inhomogeneous pore structure are studied. The analytical solution of borehole acoustic field in porous medium containing viscous fluid is further derived. The phase velocity and attenuation of borehole mode waves in heterogeneous porous medium, and the waveform of borehole full wave are calculated. The influence of pore fluid viscosity on borehole full wave is analyzed. The results show that there are slow shear waves in the porous medium containing viscous fluid. The slow shear wave is characterized by low velocity and large attenuation. In heterogeneous porous medium, the balance process of shear stress related to slow shear wave not only leads to the dispersion and attenuation of fast P-wave, but also affects the propagation characteristics of borehole pseudo Rayleigh wave and Stoneley wave. In addition, the pore fluid viscosity has a great influence on the borehole Stoneley wave. The present work improves the physical mechanism of acoustic wave propagation in porous medium and provides theoretical guidance for the explanation and application of borehole acoustic waves in porous formations.
[1] [2] [3] [4] [5] [6] [7] [8] [9] [10] [11] [12] [13] [14] [15] [16] [17] [18] [19] [20] [21] [22] [23] [24] [25] [26] [27] [28] [29] [30] [31] [32] [33] [34] [35] [36] -
参
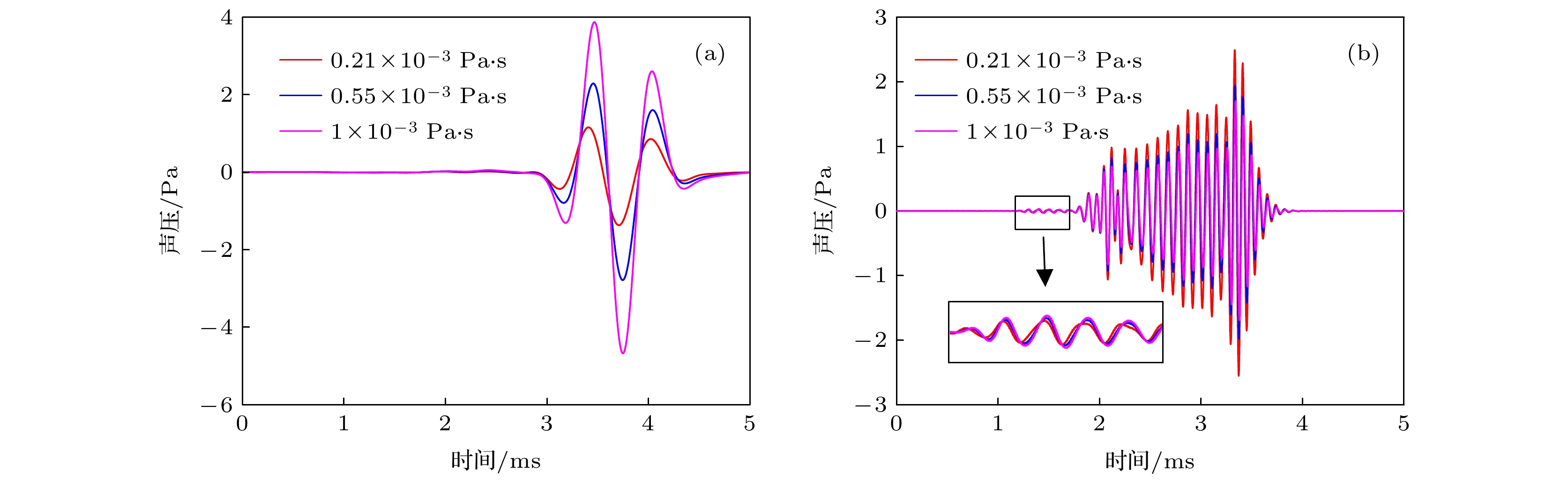
数${\rho _{\rm{s}}}$/(kg·m–3) ${\rho _{\rm{f}}}$/(kg·m–3) $ {k_0} $/D $ \eta $/% ${\mu _{\rm{f}}}$/(Pa·s) $ {S^\infty } $ ${K_{\rm{f}}}$/GPa $ {K_0} $/GPa ${K_{\rm{s}}}$/GPa $ {\mu _0} $/GPa ${\mu _{\rm{s}}}$/GPa 值 2650 1000 1 20 10–3 3 2.25 14.39 35.7 14 44 温度/℃ 20 50 150 黏度/(10–3Pa·s) 1.00 0.55 0.21 -
[1] [2] [3] [4] [5] [6] [7] [8] [9] [10] [11] [12] [13] [14] [15] [16] [17] [18] [19] [20] [21] [22] [23] [24] [25] [26] [27] [28] [29] [30] [31] [32] [33] [34] [35] [36]
计量
- 文章访问数:3119
- PDF下载量:77
- 被引次数:0












下载:







