-
熵调控材料因其独特的设计理念和优于传统合金的性能而受到广泛关注. 本文将熵调控的设计理念引入金属间化合物中, 设计并通过真空电弧熔炼的方法制备了一系列熵调控的Gd 2Co 17金属间化合物, 期望通过熵调控的方法来稳定其结构, 改善其磁性能. 应用热力学理论预言熵调控的Gd 2Co 17系列金属间化合物具有稳定的单相, 其单相性被X射线衍射实验所证实. 通过组态熵调控原子尺寸因素, 获得了菱方和六方两种晶体结构. 熵调控改善了Gd 2Co 17系列金属间化合物的室温磁性能, 过渡族金属位的熵调控使磁各向异性发生由基面到易轴的转变, 稀土位的熵调控有助于提高其矫顽力, 所有熵调控样品室温时的饱和磁矩均比二元Gd 2Co 17显著提升, 可能是稀土或过渡族金属子晶格磁矩无序取向削弱了金属间化合物中稀土的4f电子与过渡族金属的3d电子磁矩之间的反平行交换作用所导致. 磁价模型研究表明: 熵调控设计导致Gd 2Co 17系列金属间化合物中
$ {N}_{{\rm{s}}{\rm{p}}}^{\uparrow } $ (未极化$ {\rm{s}}{\rm{p}} $ 导带中的电子数目)增加, 增加了导带电子作为媒介引发过渡族金属子晶格的3d电子与稀土的4f 电子之间强磁交换作用的概率, 形成以游动的s电子为媒介, 使磁性原子中局域的4f电子自旋与其近邻磁性原子的3d电子自旋产生交换作用, 进而表现出饱和磁矩增大. 本研究有助于提高熵调控的Gd 2Co 17的潜在应用性.-
关键词:
- Gd2Co17/
- 高熵金属间化合物/
- Rietveld结构精修/
- 磁价模型
The entropy-modulated material has been a hot topic due to its unique design concept and excellent properties. However, previous studies of entropy-modulated materials mainly focused on the alloys with simple face-centered cubic, or body-centered cubic, or hexagonal close-packed structures. In this work, the design concept of entropy-modulation is introduced into Gd 2Co 17based intermetallic compound, and the effect of high configuration entropy on the structural stabilization and room-temperature magnetic properties of Gd 2Co 17based intermetallic compound are studied systematically. The samples are prepared by vacuum Arc melting technology in an ultrahigh-purity Ar atmosphere and followed by annealing at 1000 ℃ for 8 days and finally by quenching in cool water. The fine powders are prepared by grinding the ingots in an agate mortar. The powder XRD and SEM-EDS are used to check the crystal structures and chemical compositions. To study the magnetic properties, the column-like samples are prepared by mixing the fine powder and epoxy with a weight ratio of 1∶1, and then aligned under an applied field of 1 T at room temperature. The high configuration entropy is found to play an important role in the structural stabilization and magnetic properties of Gd 2Co 17based medium- and high-entropy intermetallic compounds. The XRD patterns and Rietveld structural refinement results confirm that all the samples are single-phase. The structure depends on the effective atomic radius R A, the structure of entropized Gd 2Co 17based intermetallics can be stabilized into rhombohedral Th 2Zn 17-type with R A> 1.416 or hexagonal Th 2Ni 17-type with R A< 1.4105. According to thermodynamic calculations of entropized Gd 2Co 17intermeatllics, the atomic radius difference Δ rranges from 0.55% to 1.81%, and the mixing enthalpy $ \Delta {{\boldsymbol{H}}}_{{\rm{m}}{\rm{i}}{\rm{x}}} $ is corresponding to 0 for the rare earth site, –4 to –1 kJ/mol for the transition metal site, and –8.54 to –5.13 kJ/mol between rare earth and transition metal sites. It is suggested that all the thermodynamic parameters meet the criteria for the formation of single-phase medium- and high-entropy intermetallic compounds. The configuration entropy changes from 0.69R to 1.39R. The room temperature magnetic properties are significantly improved by the modulation of entropized design at rare earth and transition metal sublattices. The entropization enhances the saturation moments of all samples, which can be explained with a modified magnetic valence model. The value of${N}_{{\rm{sp}}}^{\uparrow }$ (the number of the electrons in the unpolarized sp conduction bands) increases from 0.3 to 0.4 after entropization, the indirect interaction between rare earth and transition metal sublattice is increased, the spin moment of s conducting electron as a medium of two sublattices is enhanced, and the magnetic moment is increased. The entropization also induces magnetic anisotropy to transform from basal plane to easy axis for the entropized design at transition metal sublattice and the coercivity of rare earth to increase.[1] [2] [3] [4] [5] [6] [7] [8] [9] [10] [11] [12] [13] [14] [15] [16] [17] [18] [19] [20] [21] [22] [23] [24] [25] [26] [27] [28] [29] [30] [31] [32] [33] [34] [35] [36] -
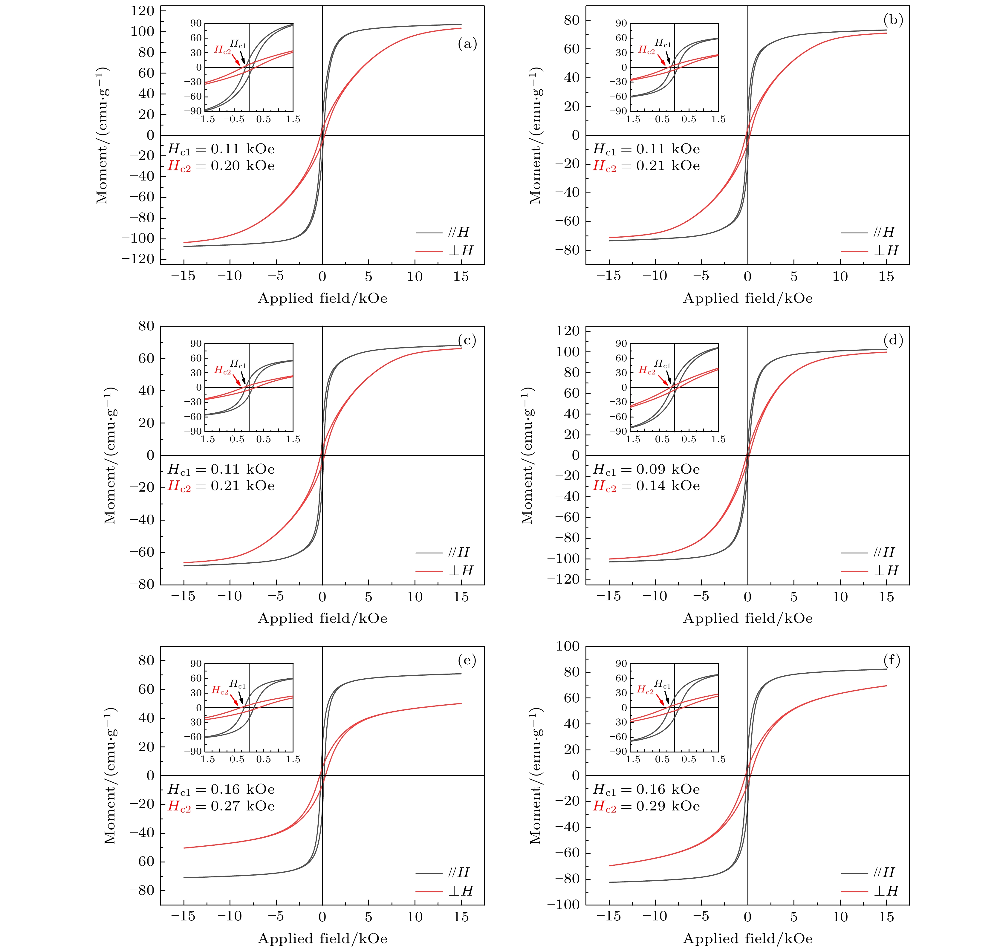
样品 原子半径差 ${{\Delta } }r$/% ${\rm{混} }{\rm{合} }{\rm{焓} }\Delta {{\boldsymbol{H}}}_{ {\rm{m} }{\rm{i} }{\rm{x} } }$/(kJ·mol–1) 混合熵 $\Delta {S}_{ {\rm{mix} } } /R$ 稀土位 金属位 稀土位-金属位 Gd2Co17 — — — –8.29 0 Gd2(Co1/2Fe1/2)17 0.79 — –1.00 –5.13 0.69 Gd2(Co1/3Fe1/3Ni1/3)17 0.99 — –1.33 –7.85 1.10 Gd2(Co1/4Fe1/4Ni1/4Mn1/4)17 1.81 — –4.00 –8.38 1.39 (Gd1/2Tb1/2)2Co17 0.55 0 — –8.48 0.69 (Gd1/3Tb1/3Dy1/3)2Co17 0.69 0 — –8.54 1.10 (Gd1/4Tb1/4Dy1/4Ho1/4)2Co17 0.83 0 — –8.48 1.39 样品 a/Å c/Å V/Å3 M(20) F(20) Gd2Co17 8.378(0) 12.206(6) 742.0(0) 28 27 Gd2(Co1/2Fe1/2)17 8.458(0) 12.409(6) 768.8(2) 17 14 Gd2(Co1/3Fe1/3Ni1/3)17 8.444(4) 12.254(1) 756.6(7) 23 23 Gd2(Co1/4Fe1/4Ni1/4Mn1/4)17 8.507(0) 8. 267(8) 518.1(7) 49 39 (Gd1/2Tb1/2)2Co17 8.332(3) 8.133(1) 489.0(1) 46 52 (Gd1/3Tb1/3Dy1/3)2Co17 8.363(1) 12.203(0) 739.1(5) 28 28 (Gd1/4Tb1/4Dy1/4Ho1/4)2Co17 8.333(6) 8.125(6) 488.7(1) 44 45 元素 Gd2(Co1/3Fe1/3Ni1/3)17 Gd2(Co1/4Fe1/4Ni1/4Mn1/4)17 质量百分比/% 原子百分比/% 质量百分比/% 原子百分比/% Gd 24.5 10.6 26.0 11.3 Co 26.1 30.3 18.9 21.9 Fe 24.0 29.4 16.9 20.7 Ni 25.4 29.6 20.1 23.4 Mn — — 18.1 22.7 样品 Gd2Co17 Gd2(Co1/2Fe1/2)17 Gd2(Co1/3Fe1/3Ni1/3)17 (Gd1/3Tb1/3Dy1/3)2Co17 空间群 ${R}\bar3{m}$ ${R}\bar3{m}$ ${R}\bar{\text{3} }{m}$ ${R}\bar3{m}$ a/Å 8.375(2) 8.454(5) 8.444(7) 8.358(0) c/Å 12.200(4) 12.413(7) 12.254(3) 12.185(7) V/Å3 741.131(2) 768.436(1) 756.817(0) 737.200(9) 稀土位 Gd Gd Gd Gd, Tb, Dy 6c (0, 0,z) (z= 0.34369) (z= 0.34188) (z= 0.33731) (z= 0.34197) 占位率/% 100 100 100 各33.33 金属位 Co Co, Fe Fe, Co, Ni Co 6c (0, 0,z) (z= 0.09431) (z= 0.08016) (z= 0.08100) (z= 0.09567) 占位率/% 100 各50 各33.33 100 9d (1/2, 0, 1/2) — — — — 占位率/% 100 各50 各33.33 100 18f (x, 0, 0) (x= 0.28942) (x= 0.30352) (x= 0.30607) (x= 0.29175) 占位率/% 100 各50 各33.33 100 18h (x, 1–x,z) (x= 0.16826;z= 0.48728) (x= 0.50226;z= 0.15830) (x= 0.16629;z= 0.49090) (x= 0.16783;z= 0.48701) 占位率/% 100 各50 各33.33 100 Rp/% 5.144 8.110 8.830 5.605 RWP/% 6.865 10.611 12.690 7.057 样品 Gd2(Co1/4Fe1/4Ni1/4Mn1/4)17 (Gd1/2Tb1/2)2Co17 (Gd1/4Tb1/4Dy1/4Ho1/4)2Co17 空间群 P63/mmc P63/mmc P63/mmc a/Å 8.501(6) 8.329(5) 8.332(9) c/Å 8.265(3) 8.130(4) 8.124(4) V/Å3 517.357(3) 488.512(1) 488.561(0) 稀土位 Gd Gd, Tb Gd, Tb, Dy, Ho 2b (0, 0, 1/4) — — — 占位率/% 100 各50 各25 2d (1/3, 2/3, 3/4) — — — 占位率/% 100 各50 各25 金属位 Fe, Co, Ni, Mn Co Co 4f (1/3, 2/3,z) (z= 0.14285) (z= 0.12127) (z= 0.13757) 占位率/% 各25 100 100 6g (1/2, 0, 0) — — — 占位率/% 各25 100 100 12j (x,y, 1/4) (x= 0.32333;y= –0.02248) (x= 0.33032;y= 0.96090) (x= 0.32409;y= 0.96806) 占位率/% 各25 100 100 12k(x, 2x,z) (x= 0.16182;z= –0.11890) (x= 0.16585;z= 0.98326) (x= 0.16655;z= 0.98716) 占位率/% 各25 100 100 Rp/% 7.006 8.07 9.07 RWP/% 8.942 10.50 11.80 样品 晶体结构 有效原子半径RA Gd2Co17 菱方 1.4262 Gd2(Co1/2Fe1/2)17 菱方 1.4330 Gd2(Co1/3Fe1/3Ni1/3)17 菱方 1.4334 Gd2(Co1/4Fe1/4Ni1/4Mn1/4)17 六方 1.3996 (Gd1/2Tb1/2)2Co17 六方 1.4166 (Gd1/3Tb1/3Dy1/3)2Co17 菱方 1.4105 (Gd1/4Tb1/4Dy1/4Ho1/4)2Co17 六方 1.4056 取向样品 拟合度 Nμ/(emu·g–1) Nμ/μB Gd2(Co1/2Fe1/2)17 0.99887 109.56395±0.02882 25.30 Gd2(Co1/3Fe1/3Ni1/3)17 0.99630 74.23084±0.03279 17.19 Gd2(Co1/4Fe1/4Ni1/4Mn1/4)17 0.99644 68.97675±0.02946 15.87 (Gd1/2Tb1/2)2Co17 0.99985 104.73245±0.01038 24.71 (Gd1/3Tb1/3Dy1/3)2Co17 0.99844 71.71314±0.01977 16.96 (Gd1/4Tb1/4Dy1/4Ho1/4)2Co17 0.99837 83.60305±0.02565 19.81 二元R2T17 晶体结构 饱和磁矩Nμ/μB 居里温度Tc/K 磁各向异性 Gd2Co17 菱方 13.5—14.4 1209—1240 基面 Gd2Fe17 六方 21—21.5 460—485 基面 Gd2Ni17 六方 8.8—9.36 187—205 — Tb2Co17 菱方 8.4—10.7 1180—1195 基面 Dy2Co17 六方 7—8.3 1152—1188 基面 Ho2Co17 六方 5.8—7.7 1173—1183 基面 熵调控Gd2Co17 晶体结构 饱和磁矩Nμ/μB 理论磁矩Nμ/μB 磁各向异性 Gd2(Co1/2Fe1/2)17 菱方 25.30 17.25—17.95 易轴 Gd2(Co1/3Fe1/3Ni1/3)17 菱方 17.19 14.43—15.09 易轴 Gd2(Co1/4Fe1/4Ni1/4Mn1/4)17 六方 15.87 — 易轴 (Gd1/2Tb1/2)2Co17 六方 24.71 10.95—12.55 基面 (Gd1/3Tb1/3Dy1/3)2Co17 菱方 16.96 9.63—12.87 基面 (Gd1/4Tb1/4Dy1/4Ho1/4)2Co17 六方 19.81 8.68—10.28 基面 样品 实验
磁矩/μB理论
磁矩/μB$ {N}_{{\rm{s}}{\rm{p}}}^{\uparrow } $ Gd2Co17 13.5—14.4 14.40 0.30 Gd2(Co1/2Fe1/2)17 25.30 26.70 0.40 Gd2(Co1/3Fe1/3Ni1/3)17 17.19 18.20 0.40 Gd2(Co1/4Fe1/4Ni1/4Mn1/4)17 15.87 13.95 0.40 -
[1] [2] [3] [4] [5] [6] [7] [8] [9] [10] [11] [12] [13] [14] [15] [16] [17] [18] [19] [20] [21] [22] [23] [24] [25] [26] [27] [28] [29] [30] [31] [32] [33] [34] [35] [36]
计量
- 文章访问数:2747
- PDF下载量:55
- 被引次数:0












下载:






