-
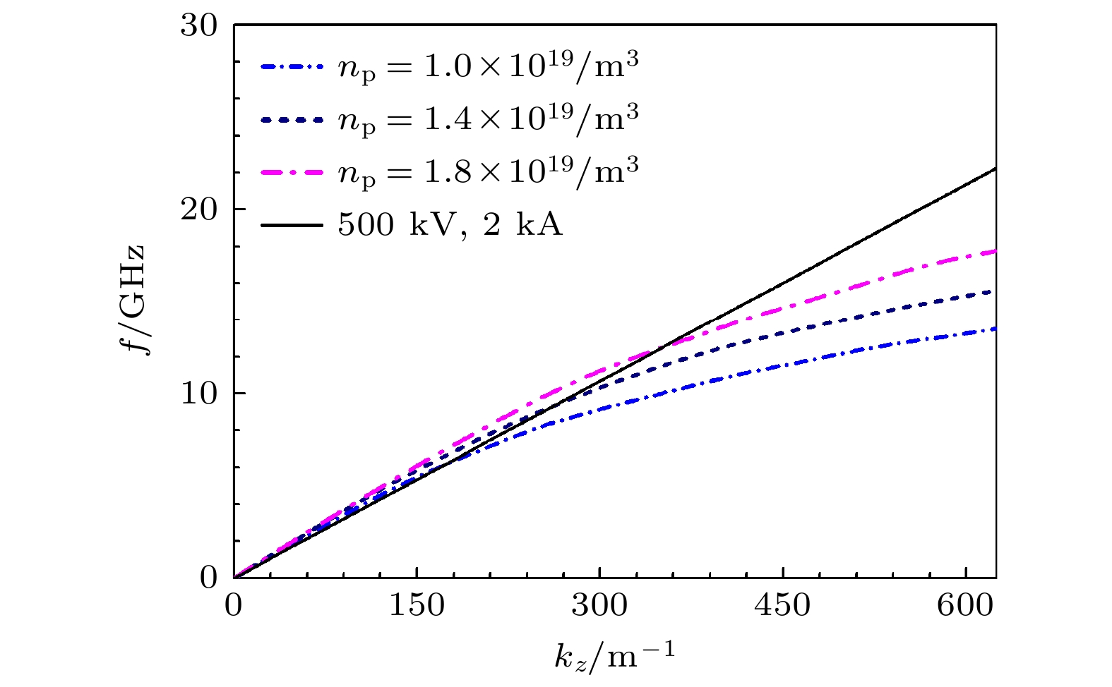
利用全电磁粒子模拟方法对等离子体相对论微波噪声放大器(plasma relativistic microwave noise amplifier, PRNA)进行了物理分析和数值模拟. 首先对无耦合时的波束色散关系进行了模拟分析, 接着计算了微波线性增长率与带宽的变化规律, 为后续整体模拟时参数的选择提供了理论依据. 最后对PRNA进行了整体模拟, 验证了PRNA在带宽和可调谐性方面的输出优势. 当等离子体束密度为1.4×10 19/m 3, 电子束电压和电流分别为500 kV和2 kA, 外加磁场为2.0 T时, 模拟获得了功率约200 MW, 效率为20%的微波输出, 辐射场频谱范围约为7.0—9.0 GHz, 带宽达到了2 GHz, 输出模式为同轴TEM模. 模拟结果还表明: 等离子体束的密度 n p和厚度
$ \Delta {r_{\text{p}}} $ 对束波色散关系影响较大, 随着 n p和$ \Delta {r_{\text{p}}} $ 的增加, 输出微波频率呈明显上升趋势, 电子束电流和电压的变化对输出频率的影响相对较小, 等离子体束和电子束径向间距的变化则对输出频率基本没有影响. 研究结果可为器件的进一步的优化设计提供参考依据.-
关键词:
- 相对论微波噪声放大器/
- 等离子体/
- 色散关系/
- 粒子模拟
The physical mechanism and output properties of the plasma relativistic microwave noise amplifier (PRNA) are studied numerically by using the all electromagnetic particle-in-cell (PIC) code. Firstly, the dispersion relation between the operating mode and the slow space charge wave of relativistic electron beam without coupling is simulated and analyzed. Simulation results show that both the plasma density n pand radial thickness Δ r paffect the dispersion characteristics markedly and their increasing can lead the frequency at the beam-wave resonant point to be enhanced. The beam voltage and current also affect the resonant frequency, but the effect is relatively slight. Secondly, variation of the linear growth rate and the bandwidth are then evaluated by using the linear theory. Calculations show that the PRNA has the virtue of wideband output. Its bandwidth can reach a GHz level. By adjusting the plasma parameters n pand Δ r p, the relativistic electron beam voltage and current, the operating frequency can be tuned over a wide frequency range. Therefore the PRNA also has virtue of fine frequency tunability. Based on the above calculation results, the whole PIC simulations of the PRNA are then carried out to verify the virtues of wideband microwave output and frequency tunability. The basic features of the field distributions of the operating in the evolution process and out coupling process are given. The bunching process and the energy release process of relativistic electron beam are also plotted. Simulations show that with a plasma density of 1.4×10 19/m 3, beam voltage and current of 500 kV and 2 kA and applied magnetic field of 2.0 T, 200 MW output microwave with efficiency about 20% can be obtained. The frequency ranges from about 7.0 to 9.0 GHz, the band width reaches 2 GHz. And the output mode is the TEM mode of the coaxial waveguide. Both n pand Δ r paffect the dispersion relations markedly and the output frequency increases clearly with n pand Δ r pincreasing. The influence of beam voltage and current on the output frequency are both relatively small and the gap distance between the plasma and electron beam has little effect on the output frequency. The research results will provide useful reference for further designing the PRNA.[1] [2] [3] [4] [5] [6] [7] [8] [9] [10] [11] [12] [13] [14] [15] [16] [17] [18] [19] [20] [21] -
[1] [2] [3] [4] [5] [6] [7] [8] [9] [10] [11] [12] [13] [14] [15] [16] [17] [18] [19] [20] [21]
计量
- 文章访问数:3070
- PDF下载量:46
- 被引次数:0












下载:




















