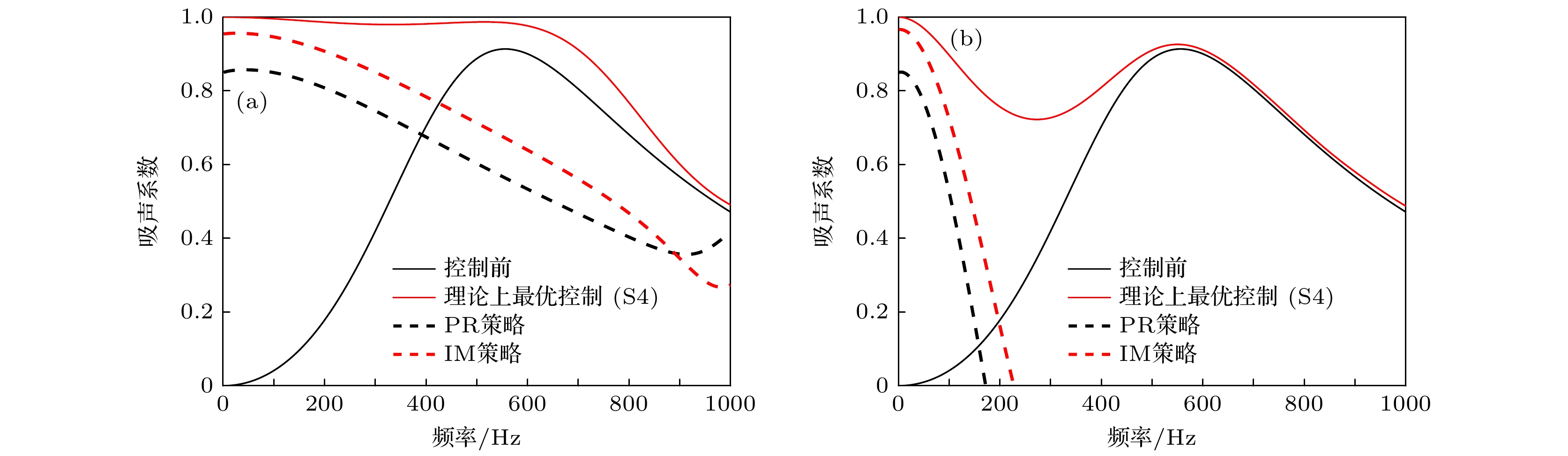
The active micro-perforated panel absorber has excellent low frequency sound absorption performance, which is expected to realize low-frequency noise reduction in large space of the cabin. Since its active sound absorption performance depends on the incident sound field environment, on the basis of the existing research conclusions in the duct, the active sound absorption performance of the large-sized active micro-perforated panel absorber under the excitation of a normal incident plane wave in typical free field environment is in depth investigated. First, the theoretical model of the active micro-perforated panel absorber is established by using the modal analysis approach, in which a reflection coefficient varying with position is introduced to represent the reflected sound wave on the surface of the active micro-perforated panel absorber in free field. Then, the physical mechanism of active control is thoroughly analyzed and the error sensing strategy is established. Finally, an experiment is carried out to validate the theoretical model and findings. Results obtained demonstrate that the greater the amplitude of the (0, 0, 0) cavity mode excited by the incident plane wave, the stronger the reflection effect on the incident sound wave is, and vice versa. The control source suppresses the (0, 0, 0) mode so that this mode will not reflect and absorb the incident plane wave substantially when its amplitude is reduced to an optimal value. This is main mechanism of the sound absorption improvement in the low frequency range. However, the excited high order cavity modes (except for (0, 0, 0) mode) greatly reflect the incident sound energy in free field and exert a negative effect on sound absorption improvement. Thus, the control performance of the active micro-perforated panel absorber weakens in free field in comparison with that in the duct. The pressure-release and impedance-matching strategies are still applicable to free field as long as such a situation holds, i.e. the (0, 0, 0) cavity mode can be substantially suppressed by the control source and at the same time the high order cavity modes cannot be highly excited.