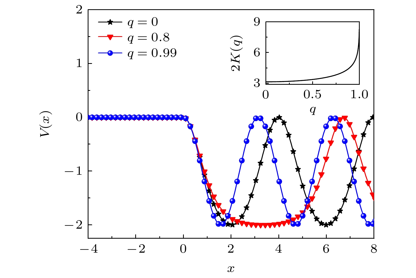
The dynamical stability properties of surface gap solitons in quasi-one-dimensional Bose-Einstein condensate loaded in the interface between uniform media and a semi-infifinite Jacobian elliptic sine potential with three-body interactions are investigated numerically. Under the mean-fifield approximation, the dynamical behaviors can be well-described by the nonlinear cubic-quintic Gross-Pitaevskii equation. Firstly, many kinds of surface gap solitons, including the surface bright solitons, surface kink solitons and surface bubble solitons, are obtained numerically by the Newton-conjugate gradient method. The surface bright solitons can be excited in the gap only for the case that the chemical potential is negative and their power is beyond a threshold value. All of them are not bifurcated from the Bloch band. A class of surface solitons with new structures, named the surface dark solitons, can be formed when the three-body interactions are taken into account. The surface dark solitons can exist not only in gap but also in band. The numerical results indicate that the amplitude of the surface gap solitons decreases as the three-body interaction strength increases. Both linear stability analysis and nonlinear dynamical evolution methods are applied to investigate the stability properties of surface gap solitons. For surface bright solitons in the semi-infinite gap, there is a critical value when the chemical potential is given. The surface bright solitons become linearly stable as the three-body interaction exceeds the critical value, or they are linearly unstable. Therefore, the three-body interaction strength plays an important role on the stability of surface gap solitons. One can change the dynamical behaviors of surface gap solitons by adjusting the three-body interaction strength in experiments. Numerical results also show that both stable and unstable surface kink solitons exist. However, all the surface bubble solitons are unstable.