The insulation level of power equipment in power system is based on the overvoltage protection level of metal oxide arrester represented by zinc oxide valve blade. Owing to its superior nonlinear voltage current characteristics and surge energy absorption capacity, ZnO varistor is widely used as the core component of power system arrester. The electrical characteristics of ZnO varistors are determined by their complex microstructures and grain boundary characteristics. Therefore, to further improve the insulation level of power grid equipment, doping is required to further improve the grain boundary characteristics of ZnO varistors. In order to obtain more stable ZnO varistors, the stability characteristics of Ga doped ZnO varistors are investigated. The microstructural and electrical characteristics of the obtained experimental samples are tested by scanning electron microscope, voltage current nonlinear characteristics, capacitance voltage characteristics, X-ray diffraction spectrum, energy spectrum scanning, dielectric loss, and AC acceleration aging. The experimental results show that with the further increase of gallium doping, gallium ions occupy the vacancies on the zinc oxide lattice, increasing the interface state density, and improving the Schottky barrier height. On the one hand, the leakage current density of ZnO varistor is reduced, on the other hand, the migration of free electrons in the depletion layer is suppressed, and the stability of ZnO varistor in the high charge rate environment is improved. Aluminum ions are dissolved into the ZnO lattice to generate a large number of free electrons, thereby reducing the resistivity of ZnO grains, which can effectively reduce the residual voltage ratio of ZnO varistor when large current passes through it. When the doping amount of Ga reaches 0.6%, the leakage current is 0.84 μA/cm
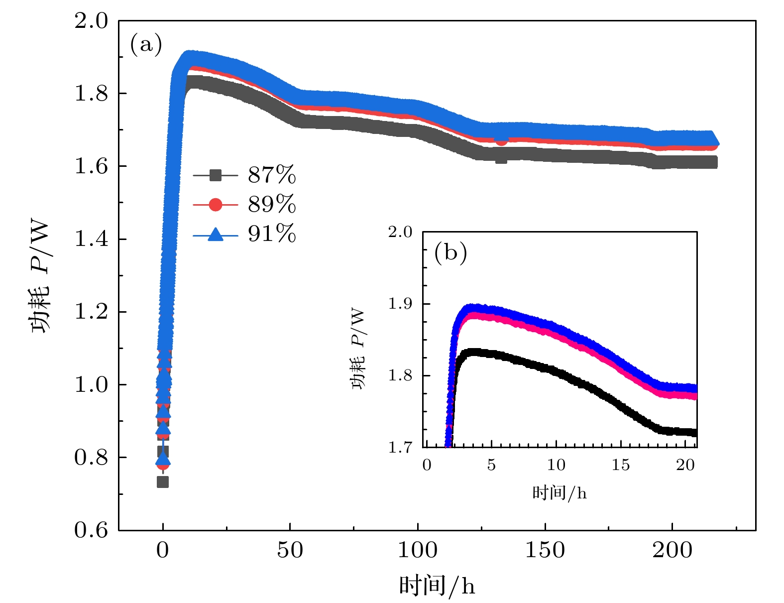
2, the residual voltage ratio is 1.97, the nonlinear coefficient is 66, and the Schottky barrier height is 1.81 eV. At 115 ℃, AC accelerated aging voltages of 87%
E
1 mA, 89%
E
1 mAand 91%
E
1 mAare applied to the test sample separately. The aging time is 1000 h, and the aging coefficients are 0.394, 0.437 and 0.550 separately. This research will help to further improve the protection level of zinc oxide surge arresters, achieving the deep limitation of grid overvoltage, and improving the security and stability of power systems.