-
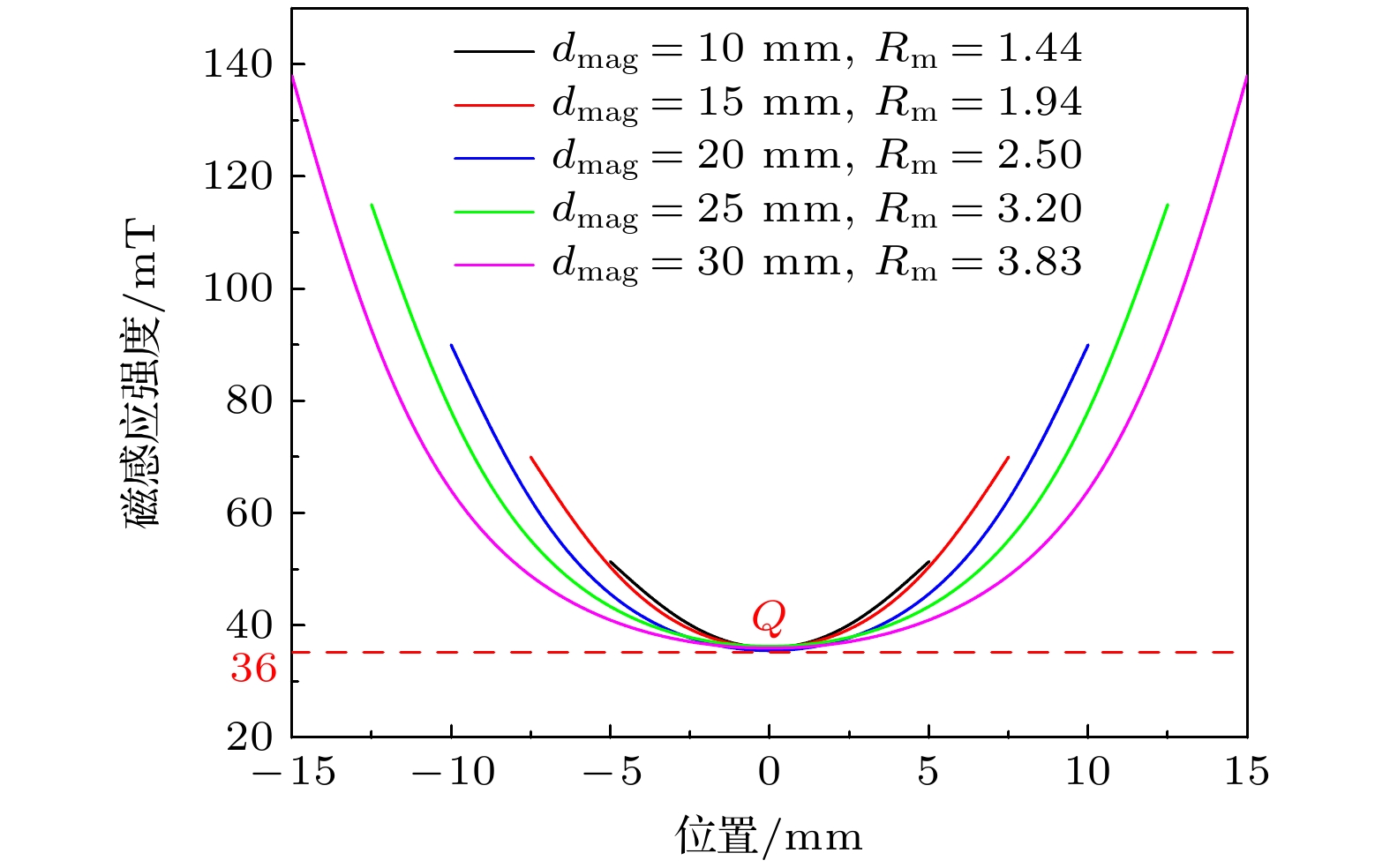
等离子体仿真是研究等离子体放电特性的重要手段, 特别是阳极层离子源, 其放电结构的几何特性对等离子体特性的作用很难通过实验手段进行系统研究. 然而, 传统仿真模型一般是针对离子源进行整体建模, 离子源的阴阳极几何轮廓形成的复杂求解域, 导致模型的计算效率和收敛性较差. 鉴于此, 将离子源结构仿真与等离子体仿真分离, 首先利用磁镜原理将离子源内外阴极大小、形状和相对位置等一系列阴极几何参数简化为磁镜比 R m和磁镜中心磁感应强度 B 0两个磁镜参数, 并在此基础上, 建立了高效粒子网格/蒙特卡罗模型, 将收敛时间由1.00 μs缩短到0.45 μs, 大幅提升了计算效率和稳定性. 进一步利用该模型系统研究了阳极层离子源放电结构的几何特性对等离子体特性的影响规律, 发现 R m= 2.50, B 0= 36 mT时磁镜对等离子体约束效果最佳, 当放电中心的位置与内外阴极间磁镜中心重合时, 不仅能够输出高密度离子束流, 同时可大幅减少阴极刻蚀, 并保证内外阴极的刻蚀平衡.Plasma simulation is important in studying the plasma discharge systematically, especially the anode layer ion source which has the complex geometrical characteristics of the discharge structure. However, owing to the complex solution domain formed by the geometric profile of the anode and cathode, the traditional simulation models show extremely small computational efficiency and poor convergence. This work presents a separate simulation for the ion source structure and the plasma discharge, separately, where the cathode geometric parameters (including the size, the shape and the relative position of the inner and outer cathodes) are simplified into two magnetic mirror parameters (the magnetic mirror ratio R mand the magnetic induction intensity in the center of the magnetic mirror B 0), and then a high-efficient particle-in-cell/Monte Carlo collision (PIC/MCC) model is established to improve the computational efficiency and stability of the plasma simulation later. As a result, the convergence time of the plasma simulation is shortened significantly from 1.00 μs to 0.45 μs, and by which the influences of the geometrical characteristics of the discharge structure on the plasma properties are systematically studied. The simulation results reveal that magnetic mirror with R m= 2.50 and B 0= 36 mT can best confine the plasma in the central area between the inner cathode and outer cathode. When the discharge center of the plasmacoincides with the magnetic mirror center, the anode layer ion source presents both high density output of ion beam current and significantly reduced cathode etching, suggesting that the best balance is obtained between the output and cathode etching.
[1] [2] [3] [4] [5] [6] [7] [8] [9] [10] [11] [12] [13] [14] [15] [16] [17] [18] [19] [20] [21] [22] [23] [24] [25] [26] [27] [28] [29] [30] [31] [32] [33] [34] [35] [36] [37] -
反应方程式 反应速率系数kr/(m3⋅s–1) 反应能量阈值/eV 反应类型 e + Ar → Ar + e $2.336 \times {10^{ - 14} }{T_{\text{e} } }^{1.609} \times \exp \big[ {0.0618{ {\left( {\ln {T_{\text{e} } } } \right)}^2} - 0.1171{ {\left( {\ln {T_{\text{e} } } } \right)}^3} } \big]$ — 弹性碰撞 e + Ar → Ar++ 2e $2.34 \times {10^{ - 14} }{T_{\text{e} } }^{0.59} \times \exp \left( { - 17.44/{T_{\text{e} } } } \right)$ 15.76 电离碰撞 反应方程式 反应类型 Ar++ Ar → Ar++ Ar 弹性碰撞 Ar++ Ar → Ar + Ar+ 电荷交换 反应方程式 反应速率系数kr/(m3⋅s–1) 反应能量阈值/eV 反应类型 e + Ar → Ar + e $ 2.336 \times {10^{ - 14}}{T_{\text{e}}}^{1.609} \times \exp \left[ {0.0618{{\left( {\ln {T_{\text{e}}}} \right)}^2} - 0.1171{{\left( {\ln {T_{\text{e}}}} \right)}^3}} \right] $ — 弹性碰撞 e + Ar → Ar++ 2e $ 2.34 \times {10^{ - 14}}{T_{\text{e}}}^{0.59} \times \exp \left( { - 17.44/{T_{\text{e}}}} \right) $ 15.76 电离碰撞 e + Ar → Arm+ e $ 2.5 \times {10^{ - 15}}{T_{\text{e}}}^{0.74} \times \exp \left( { - 11.56/{T_{\text{e}}}} \right) $ 11.56 激发碰撞 e + Arm→ Ar++ 2e $ 6.8 \times {10^{ - 15}}{T_{\text{e}}}^{0.67} \times \exp \left( { - 4.2/{T_{\text{e}}}} \right) $ 4.20 激发态电离 e + Arm→ Ar + e $ 4.3 \times {10^{ - 16}}{T_{\text{e}}}^{0.74} $ –11.56 退激发碰撞 Ar++ Ar → Ar++ Ar 硬球模型 — 弹性碰撞 Ar++ Ar → Ar + Ar+ 硬球模型 — 电荷交换 hac/mm 阴极溅射离
子占比/%输出离子
占比/%输出离子数/阴
极溅射离子数等离子体峰值
密度/(1016m–3)放电中心坐标/mm 放电面积/mm2 2 53.8 43.8 0.81 4.02 (31.1, 57.9) 209.3 6 51.8 47.0 0.91 3.06 (31.3, 55.8) 188.0 10 40.6 59.3 1.46 1.78 (31.6, 54.8) 155.0 14 34.4 65.6 1.90 0.68 (32.1, 53.6) 90.0 18 24.3 75.6 3.10 0.34 (32.8, 52.9) 38.4 dac/mm 阴极溅射离
子占比/%输出离子
占比/%输出离子数/阴
极溅射离子数内外阴极溅
射强度比等离子体峰值密
度/(1016m–3)放电中心
坐标/mm放电面积/mm2 2 51.0 47.5 0.93 1.38 3.72 (31.3, 55.9) 208.4 6 48.1 50.9 1.06 1.19 3.26 (31.4, 55.4) 199.5 10 40.6 59.3 1.46 0.99 1.78 (31.6, 54.8) 155.0 14 32.8 67.2 2.05 0.74 0.72 (31.7, 53.8) 103.1 18 25.7 74.2 2.88 0.52 0.26 (33.4, 53.4) 14.2 -
[1] [2] [3] [4] [5] [6] [7] [8] [9] [10] [11] [12] [13] [14] [15] [16] [17] [18] [19] [20] [21] [22] [23] [24] [25] [26] [27] [28] [29] [30] [31] [32] [33] [34] [35] [36] [37]
计量
- 文章访问数:3865
- PDF下载量:89
- 被引次数:0












下载:










