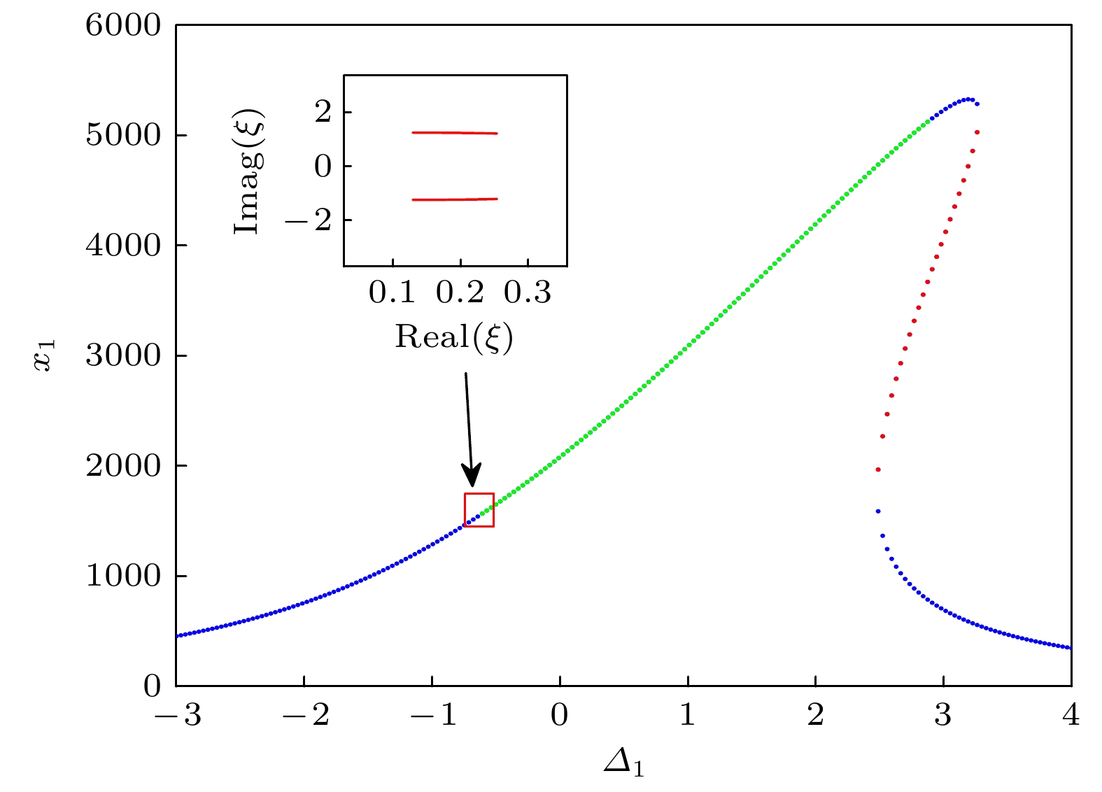
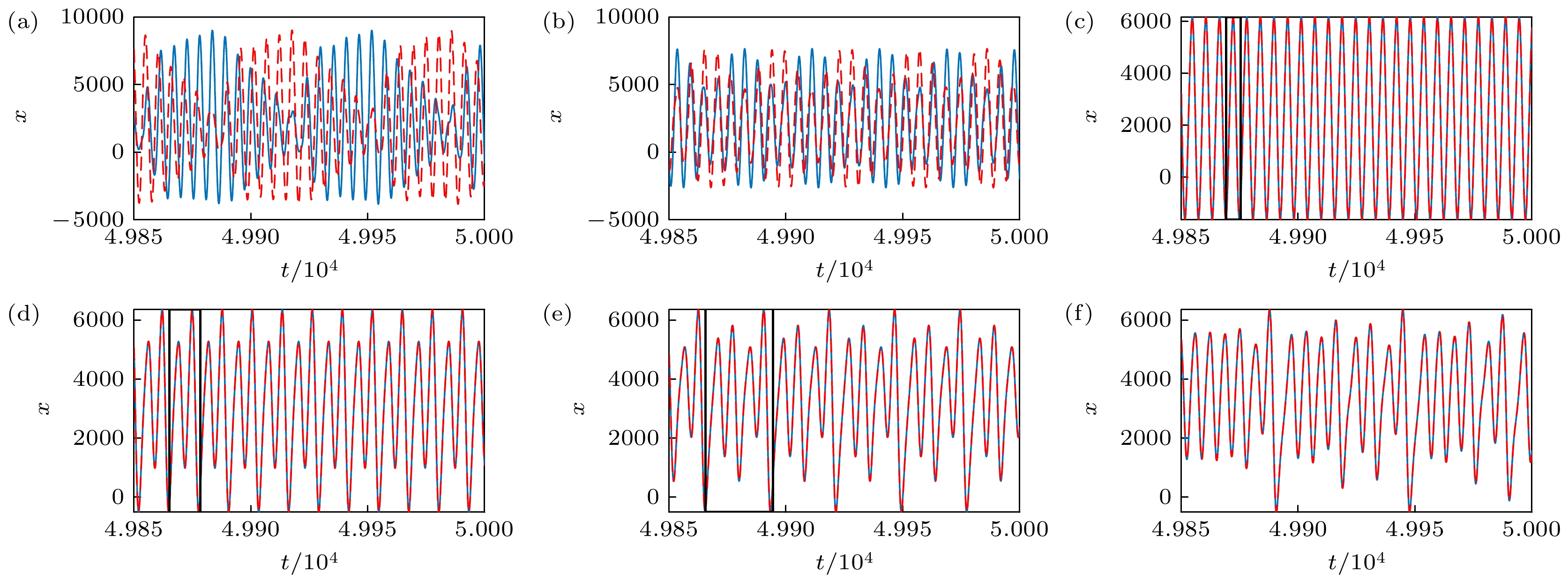
In opto-mechanical systems, the nonlinearity caused by radiation pressure can lead to various abundant dynamical phenomena such as chaos. Chaos is an important branch of nonlinear dynamics, and researchers focus on understanding the transitions from order to chaos in different systems. In this paper, we investigate the chaotic dynamics in a system consisting of two evanescently coupled identical cavity opto-mechanical subsystems, where the optical fields are in whispering gallery modes. To thoroughly analyze the transition from order to chaos in our system, we utilize the bifurcation diagrams, the Lyapunov exponents, and phase space trajectories to characterize the system properties. It is found that the coupling strength between the two opto-mechanical subsystems plays a crucial role in determining the systemic dynamic behaviors. There are two routes to chaos in our system i.e. the period-doubling transition and the quasiperiodic transition. These routes correspond to strong coupling and weak coupling between the two opto-mechanical subsystems, respectively. Furthermore, the results show that the synchronization between the oscillations in the two opto-mechanical subsystems can occur under strong coupling. In this situation, the dynamic behaviors of the two opto-mechanical subsystems are exactly identical and the manipulation of the coupling strength is equivalent to the tuning of the frequency detuning between the cavity fields and their corresponding driving fields. Consequently, the coupled system behaves as a single opto-mechanical system, enabling a period-doubling transition to chaos through increasing the coupling strength. In the case of weak coupling, the dynamics of the two opto-mechanical subsystems are no longer synchronized, and the coupled system dynamic behaviors unfold in an eight-dimensional phase space. The limit cycles experience the Hopf bifurcation, resulting in the emergence of a toric attractor. Within a certain range of parameters, i.e. appropriate frequency detunings, the two-dimensional torus becomes unstable as coupling strength increases, leading to a quasiperiodic transition into chaos in our coupled opto-mechanical system.