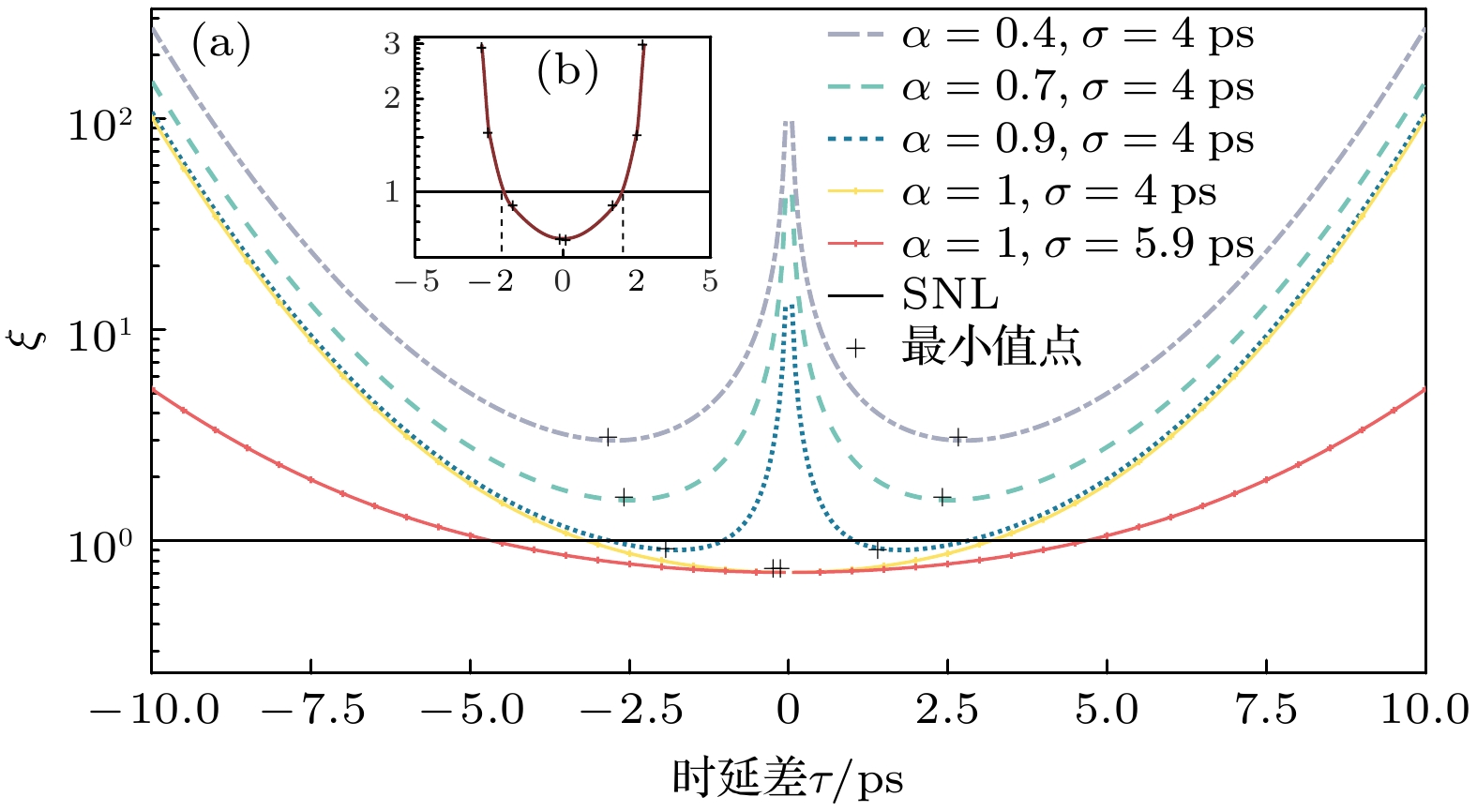
High sensitivity optical gyroscopes, as an important component of aerospace navigation system, have become a research hotspot. The sensitivity of the classical optical gyroscope is restricted by the shot-noise-limit owing to the vacuum zero energy fluctuation. Therefore, the classical optical gyroscope cannot meet the growing demand of navigation, sensing and communication. In this work, a measurement scheme of quantum gyroscope based on frequency entangled source and Hong-Ou-Mandel (HOM) interference is proposed. In order to realize high-precision delay measurement, the interference visibility and width of HOM interferogram are regulated by changing the bandwidth of pump laser and the length of nonlinear crystal. However, traditional experimental regulation method is inefficient and time consuming. On the basis of the above scheme, a delay measurement scheme of HOM interference based on SSA-BP network is established. The SSA-BP network is used to simulate different bandwidths of pump laser and the lengths of nonlinear crystal to predict the interference visibility and width of HOM interferogram. The verification results show that the mean square error (MSE), the mean absolute error (MAE) and the mean absolute percentage error (MAPE) predicted by SSA-BP network are smallest. Based on the above SSA-BP network model, the interference visibility and width of HOM interferogram are
$\alpha = 1$
and
$\sigma = 5.9\;{\text{ ps}}$
respectively. Combined with quantum Fisher information, the maximum value of
Fis obtained to be 1.999. Meanwhile, according to the Cramer-Rao bound theory, the minimum ratio of the uncertainty of the delay to the shot-noise-limit can reach 0.707, indicating that the precision of delay measurement is increased by 2 orders of magnitude. According to the relationship between delay and rotational angular velocity, the measurement sensitivity of the rotational angular velocity is improved by 2 orders of magnitude compared with that of the classical optical gyroscope. These results prove that the above quantum gyroscope scheme can realize the measurement sensitivity of rotational angular velocity beyond the shot-noise-limit. Therefore, the SSA-BP network model can provide theoretical support for the subsequent experimental verification of quantum gyroscopes based on HOM interference delay measurement, and is the technical basis for the development of quantum navigation, quantum sensing and quantum communication.