| [1] |
王伟, 李金洋, 毛国培, 杨艳, 高志强, 马骢, 钟翔雨, 史青.温度弱敏感光纤高温压力传感器. 必威体育下载 , 2024, 73(1): 014208.doi:10.7498/aps.73.20231155 |
| [2] |
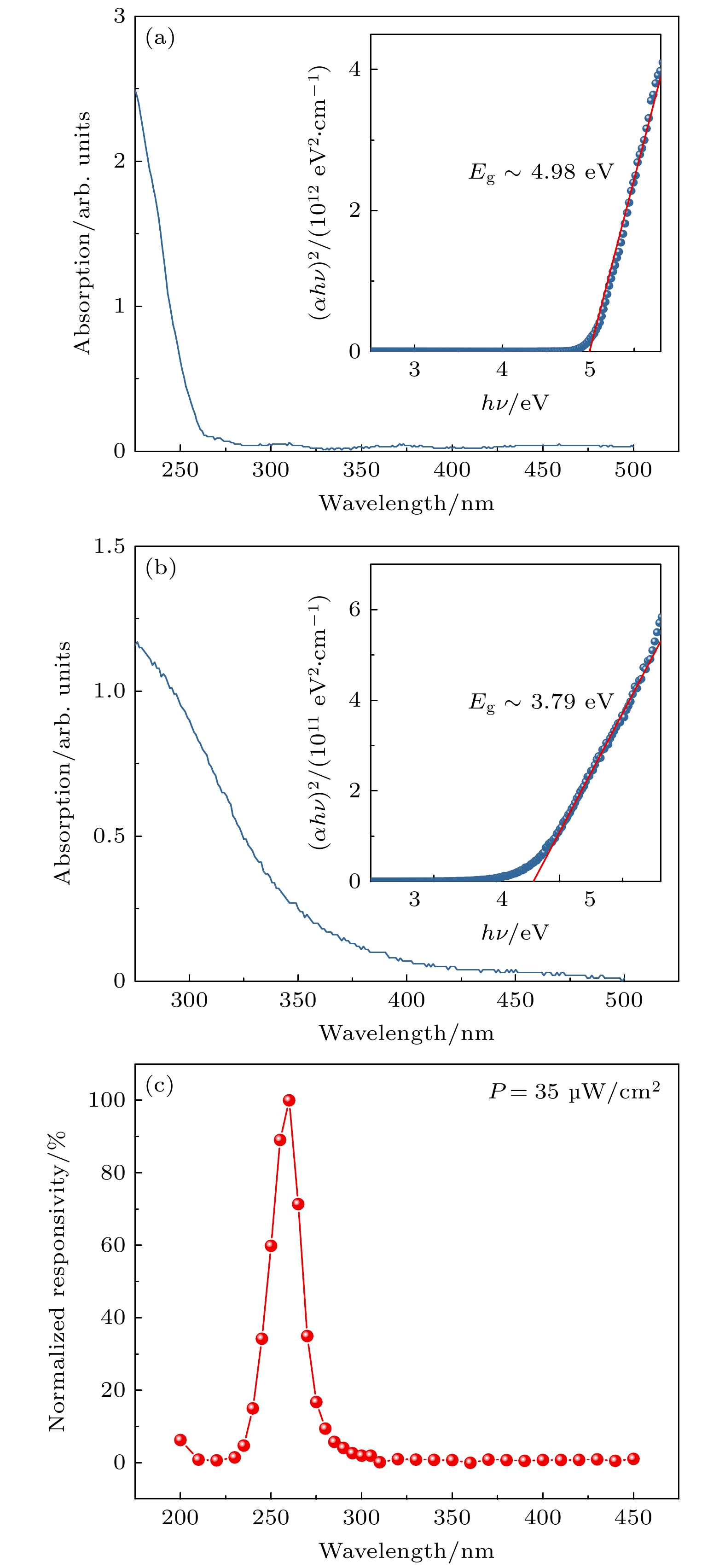
宜子琪, 王彦明, 王硕, 隋雪, 石佳辉, 杨壹涵, 王德煜, 冯秋菊, 孙景昌, 梁红伟.基于机械剥离制备的PEDOT:PSS/β-Ga2O3微米片异质结紫外光电探测器研究. 必威体育下载 , 2024, 73(15): 157102.doi:10.7498/aps.73.20240630 |
| [3] |
李磊, 支钰崧, 张茂林, 刘增, 张少辉, 马万煜, 许强, 沈高辉, 王霞, 郭宇锋, 唐为华.关于Ga2O3/Al0.1Ga0.9N同型异质结的双波段、双模式紫外探测性能分析. 必威体育下载 , 2023, 72(2): 027301.doi:10.7498/aps.72.20221738 |
| [4] |
王露璇, 刘奕彤, 史方圆, 祁纤雯, 沈涵, 宋瑛林, 方宇.
$\boldsymbol\beta$
-Ga2O3晶体本征缺陷诱导的宽带超快光生载流子动力学. 必威体育下载 , 2023, 72(21): 214202.doi:10.7498/aps.72.20231173 |
| [5] |
李志强, 谭晓瑜, 段忻磊, 张敬义, 杨家跃.氮化硅微波高温介电函数深度学习分子动力学模拟. 必威体育下载 , 2022, 71(24): 247803.doi:10.7498/aps.71.20221002 |
| [6] |
李明珠, 蔡小五, 曾传滨, 李晓静, 李多力, 倪涛, 王娟娟, 韩郑生, 赵发展.高温对MOSFET ESD防护器件维持特性的影响. 必威体育下载 , 2022, 71(12): 128501.doi:10.7498/aps.71.20220172 |
| [7] |
刘增, 李磊, 支钰崧, 都灵, 方君鹏, 李山, 余建刚, 张茂林, 杨莉莉, 张少辉, 郭宇锋, 唐为华.具有大光电导增益的氧化镓薄膜基深紫外探测器阵列. 必威体育下载 , 2022, 71(20): 208501.doi:10.7498/aps.71.20220859 |
| [8] |
董久锋, 邓星磊, 牛玉娟, 潘子钊, 汪宏.面向高温介电储能应用的聚合物基电介质材料研究进展. 必威体育下载 , 2020, 69(21): 217701.doi:10.7498/aps.69.20201006 |
| [9] |
祁祺, 陈海峰, 洪梓凡, 刘英英, 过立新, 李立珺, 陆芹, 贾一凡.无催化剂条件下长达毫米级的超宽Ga2O3单晶纳米带制备及特性. 必威体育下载 , 2020, 69(16): 168101.doi:10.7498/aps.69.20200481 |
| [10] |
洪梓凡, 陈海峰, 贾一凡, 祁祺, 刘英英, 过立新, 刘祥泰, 陆芹, 李立珺, 王少青, 关云鹤, 胡启人.引入籽晶层的物理溅射生长Ga2O3外延薄膜特性研究. 必威体育下载 , 2020, 69(22): 228103.doi:10.7498/aps.69.20200810 |
| [11] |
马腾宇, 李万俊, 何先旺, 胡慧, 黄利娟, 张红, 熊元强, 李泓霖, 叶利娟, 孔春阳.β-Ga2O3纳米材料的尺寸调控与光致发光特性. 必威体育下载 , 2020, 69(10): 108102.doi:10.7498/aps.69.20200158 |
| [12] |
宋婷, 孙小伟, 魏小平, 欧阳玉花, 张春林, 郭鹏, 赵炜.方镁石高压结构预测和高温结构稳定性研究. 必威体育下载 , 2019, 68(12): 126201.doi:10.7498/aps.68.20190204 |
| [13] |
李东珂, 贺冰彦, 陈坤权, 皮明雨, 崔玉亭, 张丁可.Au纳米颗粒负载WO3纳米花复合结构的二甲苯气敏性能. 必威体育下载 , 2019, 68(19): 198101.doi:10.7498/aps.68.20190678 |
| [14] |
冯秋菊, 李芳, 李彤彤, 李昀铮, 石博, 李梦轲, 梁红伟.外电场辅助化学气相沉积方法制备网格状β-Ga2O3纳米线及其特性研究. 必威体育下载 , 2018, 67(21): 218101.doi:10.7498/aps.67.20180805 |
| [15] |
高英俊, 秦河林, 周文权, 邓芊芊, 罗志荣, 黄创高.高温应变下的晶界湮没机理的晶体相场法研究. 必威体育下载 , 2015, 64(10): 106105.doi:10.7498/aps.64.106105 |
| [16] |
韩勇, 龙新平, 郭向利.一种简化维里型状态方程预测高温甲烷PVT关系. 必威体育下载 , 2014, 63(15): 150505.doi:10.7498/aps.63.150505 |
| [17] |
郑树文, 范广涵, 何苗, 赵灵智.W掺杂对β-Ga2O3导电性能影响的理论研究. 必威体育下载 , 2014, 63(5): 057102.doi:10.7498/aps.63.057102 |
| [18] |
宋云飞, 于国洋, 殷合栋, 张明福, 刘玉强, 杨延强.激光超声技术测量高温下蓝宝石单晶的弹性模量. 必威体育下载 , 2012, 61(6): 064211.doi:10.7498/aps.61.064211 |
| [19] |
王丽红, 尤静林, 王媛媛, 郑少波, 西蒙·派特里克, 侯敏, 季自方.六方晶型MgTiO3温致微结构变化及其原位拉曼光谱研究. 必威体育下载 , 2011, 60(10): 104209.doi:10.7498/aps.60.104209 |
| [20] |
宋晓书, 程新路, 杨向东, 令狐荣锋.氧化亚氮3000—0200和1001—0110跃迁带在高温下的线强度. 必威体育下载 , 2007, 56(8): 4428-4434.doi:10.7498/aps.56.4428 |