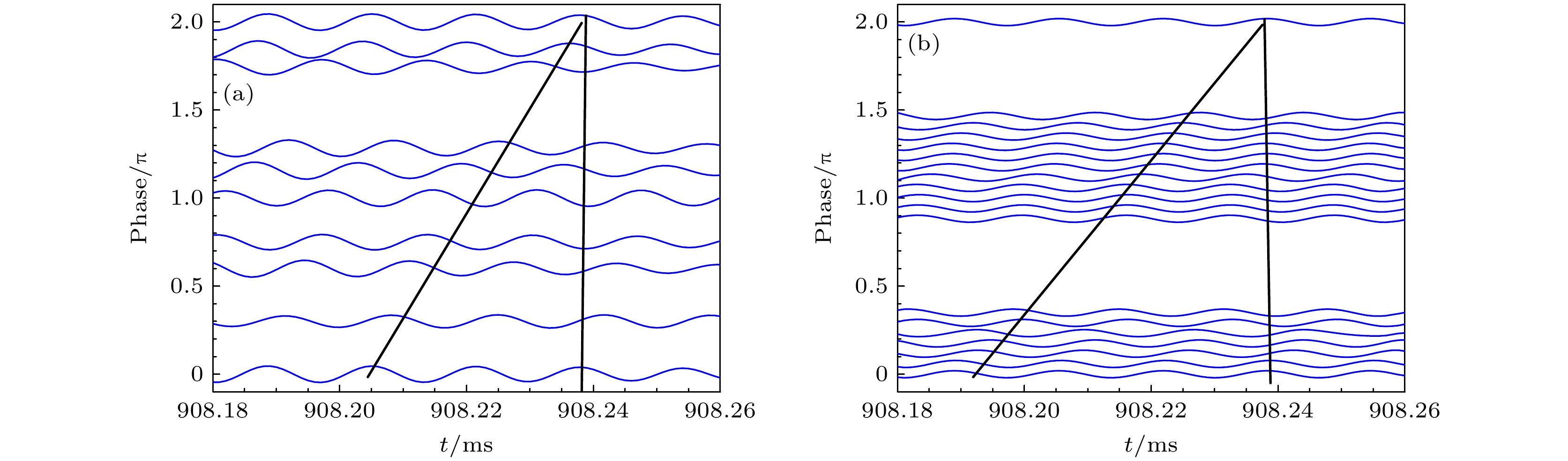
The beta-induced Alfvén eigenmodes (BAEs) with frequency chirping, observed in the HL-2A Tokamak, are analysed by a MHD-kinetic hybrid code MEGA. Realistic parameters are applied to the code, such as equilibrium, electron density and temperature, ion temperature, which is different from the kinetic Berk-Breizman theory. The BAEs are observed by Mirnov probes and soft X-ray arrays. Toroidal and porloidal mode number are confirmed to be
n/
m= 2/3 by using the phase shift method with toroidal filtered Mirnov signal arrays. And the soft X-ray arrays’ signal shows that BAEs are located at the core of the plasma and they have a relatively broad mode structure. The BAEs with up- and down-chirping are reproduced with MEGA code. The simulation results of mode structure accord well with experimental observations. Compared with up-chirping BAEs, the down-chirping BAEs are excited with higher plasma parameters and beta value, thus the energetic ion distribution in pitch angle has a broader width, and the beta value of energetic ions in the core of plasma and diffusion value are higher in the down-chirping simulation. The simulation results show that the phase space distribution of energetic ions affects the wave chirping direction. The energetic ions parallel to the magnetic field drive the up-chirping behavior. When the down-chirping behavior dominates, the density of energetic ions perpendicular to the magnetic field increases significantly. It shows that the down-chirping BAEs require higher beta and energetic ion density, which is consistent with the previous simulation result.