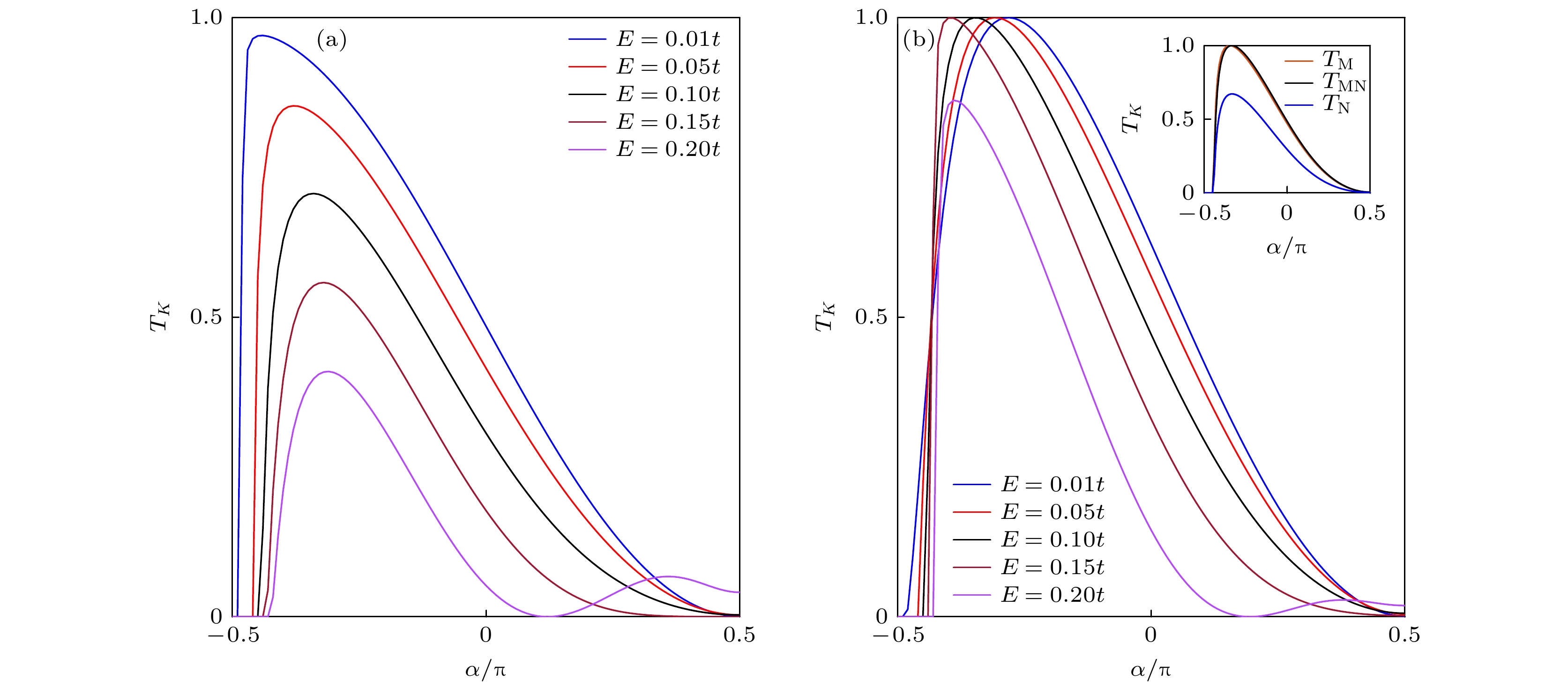
The line defect of graphene has significant applications in valleytronics, which has received extensive attention in recent years. It is found experimentally that there exists local deformation around the line defect. Current studies generally believe that the influence of local deformation on the valley transport properties can be negligible, because the modifications to the nearest neighbour hopping energy is less than 5% under the small deformation. Based on the first-principles calculations and the non-equilibrium Green’s function method, we investigated the effect of local deformation on the valley transport properties of two different kinds of line defects, the 58 ring line defect and the 57 ring line defect. It is found that for the 58 ring line defect, the effect of local deformation on the valley transmission coefficient is not evident at lower energies. However, at higher energies, the impact of local deformation is obvious, and the maximum valley transmission coefficient does not decrease with increasing energy, but can be maintained 1 within a large energy range. In contrast, the influence of local deformation on the valley transmission coefficient of the 57 ring line defect indeed can be negligible, regardless of the level of energy. Further investigation indicates that the change of the C—C bond length connected to the two defect atoms in the 58 ring plays a key role in the transmission of the valley states across the line defect. If this part of the influence is not taken into account, the valley transmission coefficient is nearly unaffected by the local deformation. The valley state enters the right side of the line defect directly through the bond connected to the line defect, so the change in bond length connected to the line defect has a significant impact on the valley transmission. This special structure does not exist in the 57 ring, where the valley states will have to pass through a narrow region containing 57 ring to enter the right side of the line defect, resulting in different valley scattering phenomena. By constructing two parallel line defects, the 100% valley polarization can be achieved in a large angular range with the 58 ring line defect. The finding has important implications for the design of graphene line defect based valley filters.