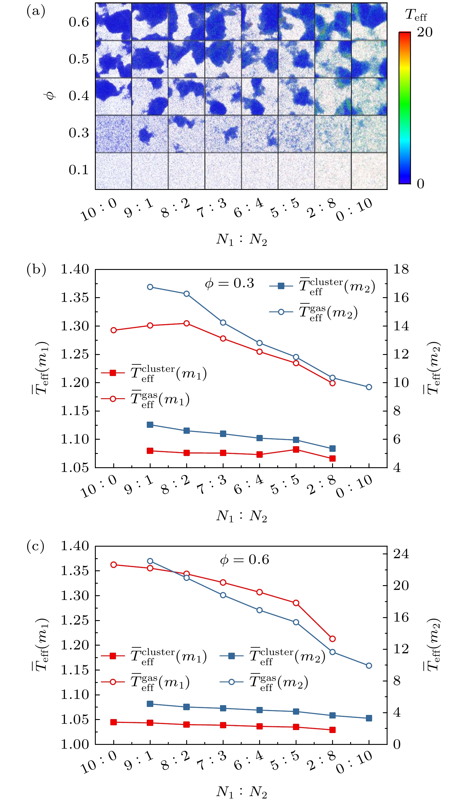
Active matter refers to a class of substance capable of autonomously moving by harnessing energy from its surrounding environment. The substance exhibits unique non-equilibrium phenomenon, and hence has attracted great attention in the scientific community. Many active matters, such as bacteria, cells, micro-swimmers, and self-propelled colloidal particles, operate in viscous environments and their motions are described usually by using overdamped models. Examples include overdamped active Brownian particle (ABP) model for self-propelled colloidal particles in solution and run-and-tumble (RTP) model for swimming bacteria. In recent years, increasing studies focus on the influence of inertia on the behavior of active matter. Vibrating robots, runners, flying insects, and micro-fliers are typical of active systems under the underdamped condition. The motions of these active matters can be modelled by underdamped Langevin equation, known as the active inertial particle (AIP) model. Previous studies have demonstrated that like the scenarios in ABP systems, motility-induced phase separation (MIPS) phenomena also happen in AIP systems under certain density conditions. However, due to the strong collision-and-rebound effect, aggregation of AIP particles and hence the MIPS are impeded. In complex living/application environments, mixture of different active agents is often seen. Some studies on mixed systems of active matter show that the composition is an important quantity, which influences the phase separation phenomena. In this paper, we study the phase separation phenomena in a mixed system composed of low- and high-inertia active particles by underdamped Langevin dynamics simulations. We find that compared with single-component system, the mixed system is unexpectedly favorable for the occurrence of phase separation at a moderate overall concentration and a certain range of component fraction, while unfavorable for phase separation at a high overall concentration. The underlying mechanism is that the presence of a small number of the high-inertia particles could accelerate the motion of the low-inertia particles, thus facilitating their aggregation and promoting the phase separation. However, when the fraction of the high-inertia particles is large, frequent elastic collisions would disturb the aggregation of the low-inertia particles and suppress the occurrence of phase separation. Our results provide a new insight into the collective behavior of active materials and also a reference for their design and applications.