In the post-Moore era, nanomagnetic logic circuits have shown great potential to replace complementary metal oxide semiconductor (CMOS) circuits. A majority logic gate, as the core of a nanomagnetic logic circuit, is equivalent to the inverter in the CMOS circuit. A nanomagnetic logic majority gate generally has four nanomagnets arranged in a “T” shape. The nanomagnets in the three corners of the “T” (
I
1,
I
2,
I
3) are the three inputs, and the middle nanomagnet is the output (
O).
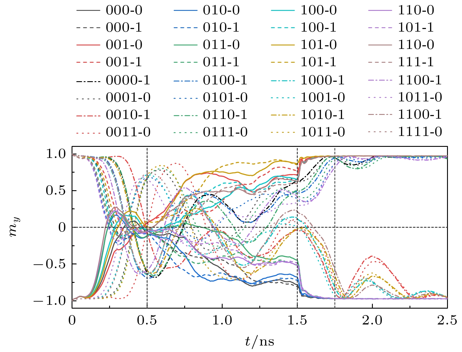
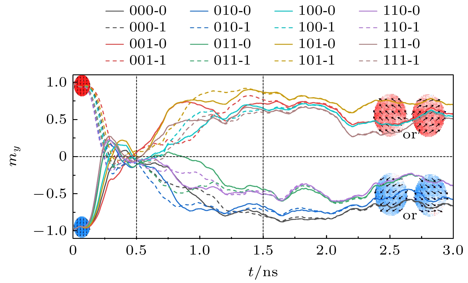
This paper proposes a nanomagnet majority logic gate based on the global strain clock of heterogeneous multiferroic structure, by utilizing the difference in response to the same strain between positive magnetostrictive coefficient material (Terfenol-D) and negative magnetostrictive coefficient material (Ni). From bottom to top, the device is mainly composed of a silicon substrate, a piezoelectric layer, and four elliptical cylindrical nanomagnets. PMN-PT is used as the piezoelectric layer’s material, and three Ni-based nanomagnets (
I
1,
I
2, and
I
3) are utilized as input, while Terfenol-D is used as the material for the output nanomagnet (
O).
Besides, a two-step calculation mode of “high-stress start-low-stress calculation” is designed, that is, the
Ois first switched to the “Null” with a stress of –30 MPa, and then the stress decreases to –15 MPa, so that the
Ocan realize majority calculation under the coupling of
I
1,
I
2, and
I
3. The micromagnetic simulation software MuMax3 is adopted to simulate the performance of the device. The results reveal that the device can successfully perform continuous majority calculation through any three-terminal input combination. By using the two-step calculation mode, the calculation accuracy of the device can reach 100%, its cycle of continuous calculation is 2.75 ns, and the cycle energy consumption is about 64 aJ. It is found that the change of energy potential well, caused by the change of stress anisotropy energy and dipole coupling energy, is the main reason that determines the magnetization dynamic behavior of the device. Therefore, the results of this paper can provide important guidance for designing nanomagnetic logic circuits.