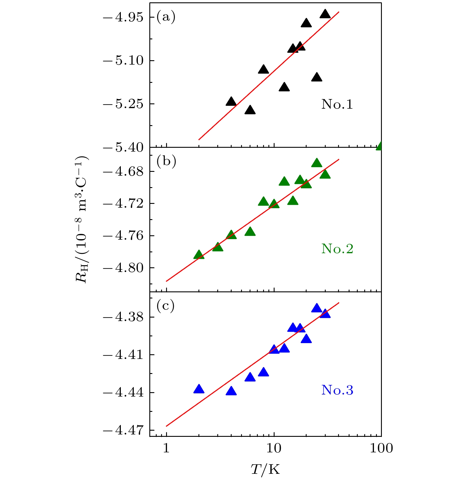
\begin{document}$T > {T_{\min }}$\end{document}的高温区 (\begin{document}${T_{\min }}$\end{document}为电阻最小值对应的温度), 薄膜的电阻率随温度的升高而升高, 并且与温度的平方呈线性关系. 在\begin{document}$T < {T_{\min }}$\end{document}的低温区域, 薄膜的电阻率随温度降低而上升, 并且电阻率随\begin{document}$ \ln T $\end{document}呈线性变化, 均匀无序系统中的电子-电子相互作用、弱局域效应以及Kondo效应均不能解释这种现象. 经过定量分析, 发现电阻率在低温下\begin{document}$ \ln T $\end{document}的依赖关系源于颗粒间电子的库仑相互作用. 同时, 在Ba0.94La0.06SnO3薄膜中也观察到霍尔系数\begin{document}$ {R_{\text{H}}} $\end{document}\begin{document}$ \ln T $\end{document}呈线性关系, 并且该线性关系也定量的符合金属颗粒体系中库仑相互作用的理论. 薄膜断面高分辨透射电子显微镜结果表明, 虽然薄膜整体呈现外延结构, 但其中存在诸多条状非晶区域, 这使得薄膜整体表现出类似金属颗粒膜的电输运性质. 本文的结果为金属颗粒系统中库仑相互作用对电导率和霍尔系数修正理论的正确性提供了有力的支持."> - 必威体育下载

搜索

x

留言板

姓名
邮箱
手机号码
标题
留言内容
验证码

downloadPDF
引用本文:
Citation:

杨健, 高矿红, 李志青

Low-temperature electrical transport properties of La doped BaSnO3films

Yang Jian, Gao Kuang-Hong, Li Zhi-Qing
PDF
HTML
导出引用
计量
  • 文章访问数:1928
  • PDF下载量:92
  • 被引次数:0
出版历程
  • 收稿日期:2023-07-02
  • 修回日期:2023-08-02
  • 上网日期:2023-09-12
  • 刊出日期:2023-11-20

    返回文章
    返回
      Baidu
      map