-
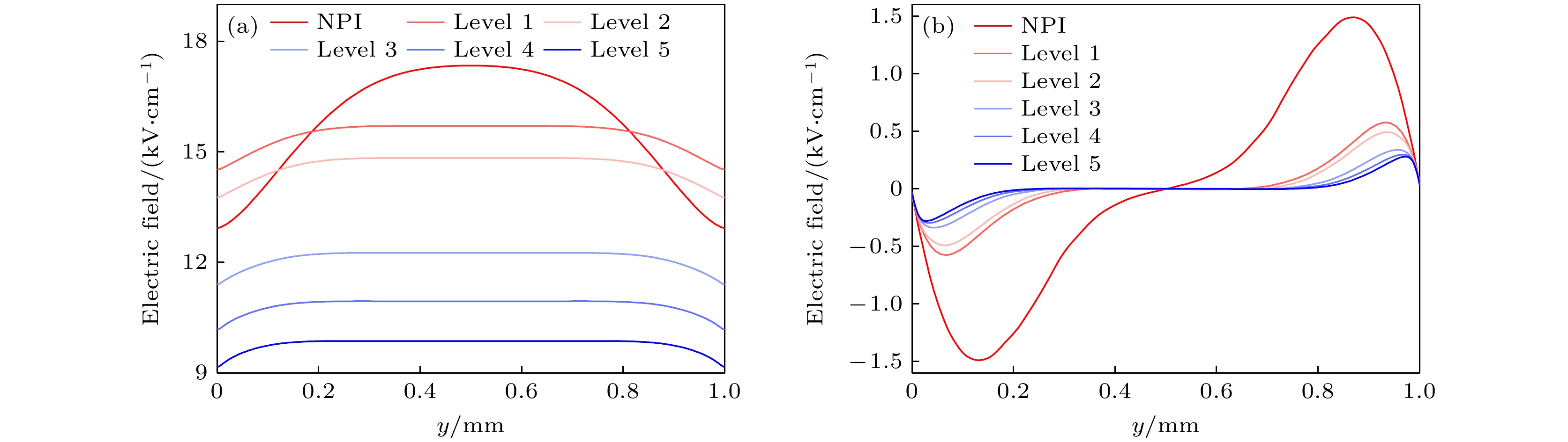
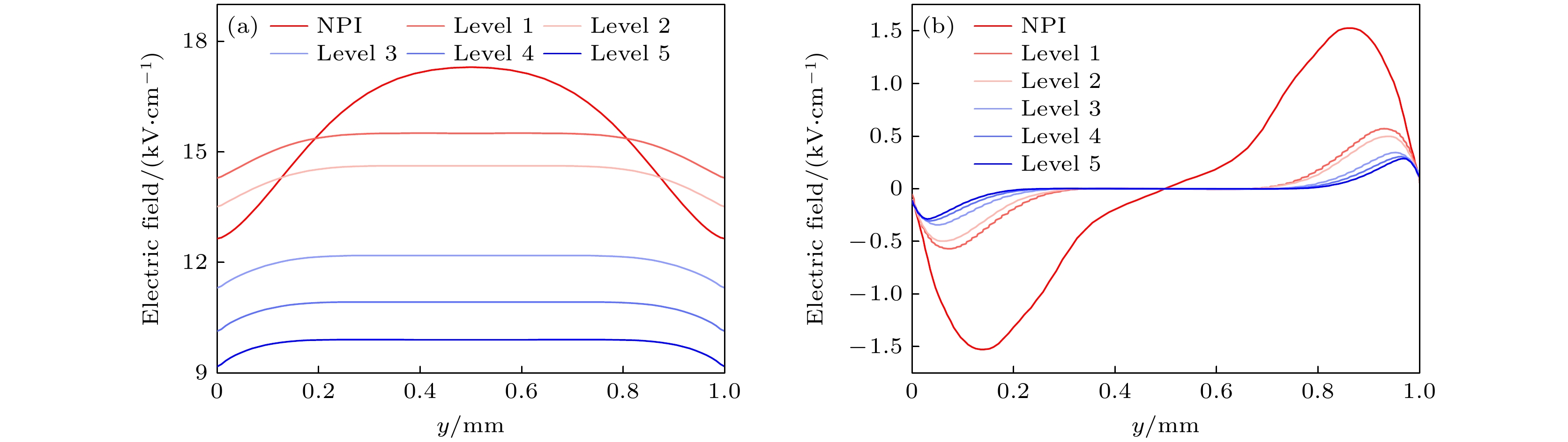
基于二维流体模型, 研究了大气压下预电离对短间隙和长间隙直流辉光放电的影响. 对于两种放电, 随着预电离的增强, 带电粒子分布沿着放电方向逐渐向阴极偏移, 使得阴极位降区不断收缩. 从垂直放电方向来看, 正柱区、负辉区和阴极位降区的宽度都不断增大, 电子、离子密度的分布更加均匀. 对于电场而言, 随着预电离的增强, 阴极位降区电场的纵向分量分布逐渐向阴极收缩, 阴极附近的电场整体降低且分布更加均匀. 电场的纵向分量分布逐渐减小, 同时电场区域逐渐向壁面收缩. 维持电压和放电功率都明显地降低. 此外, 随预电离的增加, 短间隙放电中的压降始终集中在阴极位降区, 而在长间隙放电中的压降由阴极位降区逐渐转移至正柱区. 仿真结果表明, 预电离能够有效增强放电均匀性, 并降低放电维持电压和能量消耗. 该工作对进一步优化电极配置和等离子体源的运行参数具有重要指导意义.In this paper, the effect of pre-ionization on the small-gap and large-gap direct-current glow discharge at atmospheric pressure are investigated based on a two-dimensional self-consistent fluid model. For both the discharges, the results show that with the enhancement of pre-ionization, the charged particle distribution gradually shifts toward the cathode along the discharge direction, making the cathode fall zone shrink continuously. The width of the positive column region, negative glow space, and cathode fall zone continuously extend along the vertical discharge direction, and the distribution of electron density and ion density are more uniform. For the electric field, with the enhancement of pre-ionization, the longitudinalal component distribution of the electric field in the cathode fall zone gradually contracts toward the cathode, and the overall electric field near the cathode decreases and becomes more uniformly distributed. The transverse component distribution of the electric field gradually decreases and shrinks toward the wall. The overall electron temperature in the discharge space decreases with the enhancement of the pre-ionization level, and the electron temperature distribution in the cathode fall zone gradually shrinks toward the cathode. In addition, the overall potential of the discharge space also decreases. The introduction of pre-ionization significantly reduces the maintaining voltage and discharge power of the direct-current glow discharge. Furthermore, the potential drop in the small-gap discharge is always concentrated in the cathode fall zone as the pre-ionization increases, while the potential drop in the large-gap discharge is gradually shifted from the cathode fall zone to the positive column region. This simulation shows that the pre-ionization not only effectively enhances the discharge uniformity, but also largely reduces the maintaining voltage and energy consumption of the direct-current glow discharge. This work is an important guideline for further optimizing the electrode configuration and the operating parameters of the plasma source.
-
Keywords:
- pre-ionization/
- fluid model/
- direct-current glow discharge
[1] [2] [3] [4] [5] [6] [7] [8] [9] [10] [11] [12] [13] [14] [15] [16] [17] [18] [19] [20] [21] [22] [23] [24] [25] [26] [27] [28] [29] [30] [31] [32] [33] [34] [35] [36] [37] -
No. Reaction Rate constant/
(cm–3·s–1)Ref. 1 e+He → e+He f(E/N) [31] 2 e+He → e+He* f(E/N) [32] 3 e+He → 2e+He+ f(E/N) [32] 4 2e+He+→ He*+e 7.1$ \times $10–20a) [32] 5 2e+$ {\text{He}}_{2}^{+} $ → 2He+e 2.0$ \times $10–20a) [32] 6 2e+$ {\text{He}}_{2}^{+} $ → He+He*+e 2.8$ \times $10–20a) [33] 7 e+He+$ {\text{He}}_{2}^{+} $ → 3He 2.0$ \times $10–27a) [33] 8 e+He*→ 2e+He+ 1.28$ \times $10–7$ {T}_{{\mathrm{e}}}^{0.6} $
exp(–4.78/$ {T}_{{\mathrm{e}}} $)[33] 9 e+$ {\text{He}}_{2}^{+} $ → He*+He 1$ \times $10–8 [33] 10 He*+e → He+e 2$ \times $10–10 [33] 11 2e+$ {\text{He}}_{2}^{+} $ → 2He*+e 6.18$ \times $10–39$ {T}_{{\mathrm{e}}}^{4.4} $a) [33] 12 e+He+$ {\text{He}}_{2}^{+} $ → He*+2He 5.0$ \times $10–27a) [35] 13 e+$ {\text{He}}_{2}^{+} $ → $ {\text{He}}_{2}^{\text{*}} $ 5.0$ \times $10–16 [35] 14 e+He+$ {\text{He}}_{2}^{+} $ → $ {\text{He}}_{2}^{\text{*}} $+He 5.0$ \times $10–27a) [35] 15 e+$ {\text{He}}_{2}^{\text{*}} $ → 2e+$ {\text{He}}_{2}^{+} $ 3.8$ \times $10–9 [36] 16 e+He+ He+→ He*+He 1.0$ \times $10–27a) [36] 17 2e+$ {\text{He}}_{2}^{+} $ → $ {\text{He}}_{2}^{\text{*}} $+e 7.1$ \times $10–20a) [35] 18 2He+He+→ He+$ {\text{He}}_{2}^{+} $ 6.5$ \times $10–32a) [32] 19 He*+He → 2He+$ h\nu $ 6.0$ \times $10–15 [32] 20 He*+He*→ e+$ {\text{He}}_{2}^{+} $ 2.0$ \times $10–9 [34] 21 He*+He*→ e+He+He+ 2.9$ \times $10–9 [35] a)Rate constant is in cm6·s–1. -
[1] [2] [3] [4] [5] [6] [7] [8] [9] [10] [11] [12] [13] [14] [15] [16] [17] [18] [19] [20] [21] [22] [23] [24] [25] [26] [27] [28] [29] [30] [31] [32] [33] [34] [35] [36] [37]
计量
- 文章访问数:1240
- PDF下载量:51
- 被引次数:0












下载:











