The dynamic relaxation process and stress relaxation process are two important processes which can reflect the microstructures of materials, for they are closely related to the diffusions, the glass transition phenomena and the microstructural heterogeneities. It is of great significance to explore the relationship among them. In the current research, the
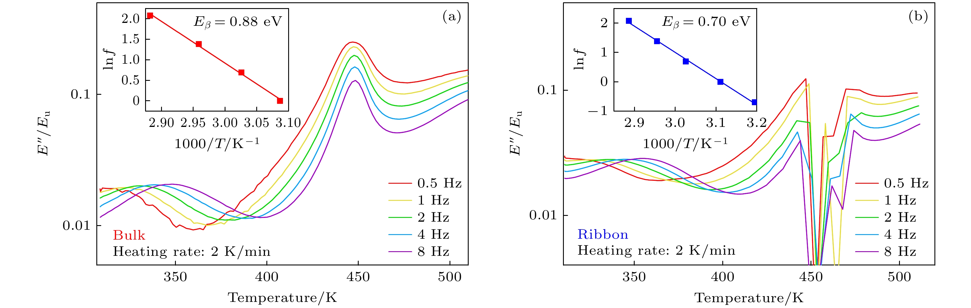
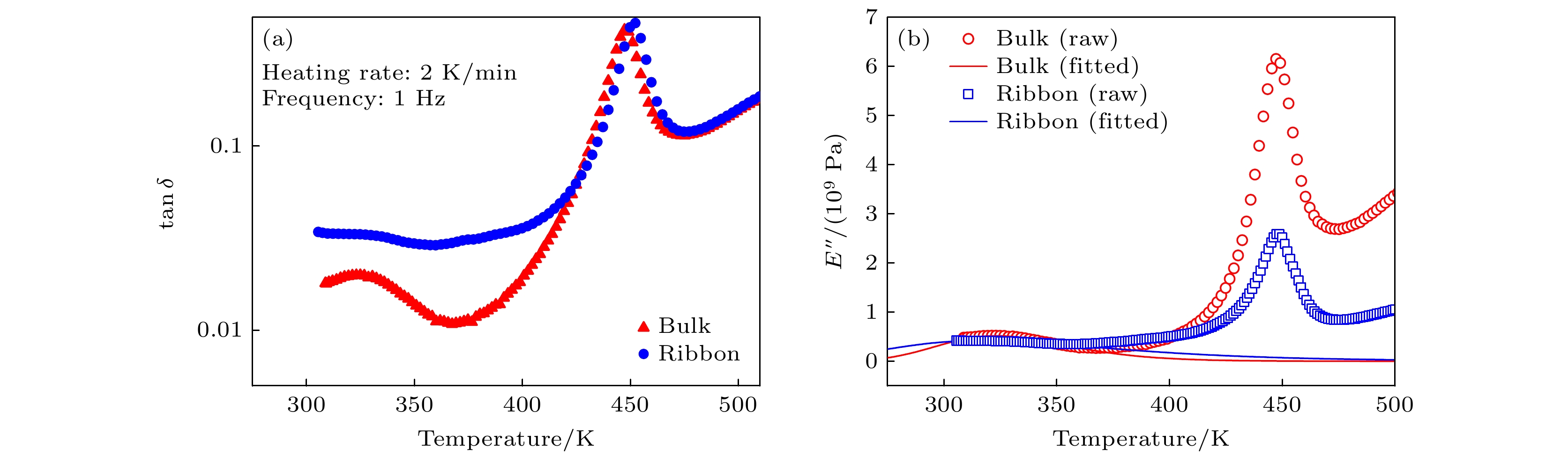
β-relaxation characteristics and stress relaxation behaviors of bulk and ribbon samples obtained by different cooling rates are systematically investigated by taking the typical La-based amorphous alloys as model systems. The experimental results demonstrate that the cooling rate is an important parameter for controlling the energy state of the glass system, which further affects its physical and mechanical properties. Based on the dynamical mechanical spectra, the larger the cooling rate, the greater the low-temperature internal friction is and the smaller the beta relaxation activation energy according to Arrhenius calculations, and the greater the broadening of the beta relaxation behavior in the temperature spectra, suggesting that the higher cooling rate leads to greater atomic mobility and a high degree of heterogeneity in the microstructure. Thermodynamic analysis is conducted to study the slow process of thermal activation and the fast process driven by stress. At low temperature, the activation volume of the strip sample is larger than that of the bulk sample, and the activation volume values of the two samples are almost the same, as the cooling rate only affect the
βrelaxation stage, but exert little effect on the
αrelaxation, which is consistent with the conclusion that the stress relaxation behavior and
βrelaxation behavior are related to the structural non-uniformity of the amorphous alloy. The stress relaxation tests show that the characteristic time of deformation decreases at higher cooling rate, the normalized stress decay is larger, it is easier to deform under an applied force field, and the deformation unit is more likely to activate to accommodate structural deformation. The correlation between stress relaxation and
βrelaxation of amorphous alloy is further confirmed, and the proportion of liquid-like region is proportional to the relaxation mode spectrum, which also shows that
βrelaxation and stress relaxation are consistent. Finally, by calculating relaxation enthalpy
$ \Delta {H}_{{\mathrm{r}}{\mathrm{e}}{\mathrm{l}}} $
, the variation of microstructure heterogeneity with cooling rate is experimentally verified. The research sheds new light on further clarifying the relationship among
βrelaxation, deformation and microstructural heterogeneity of the amorphous alloy.