-
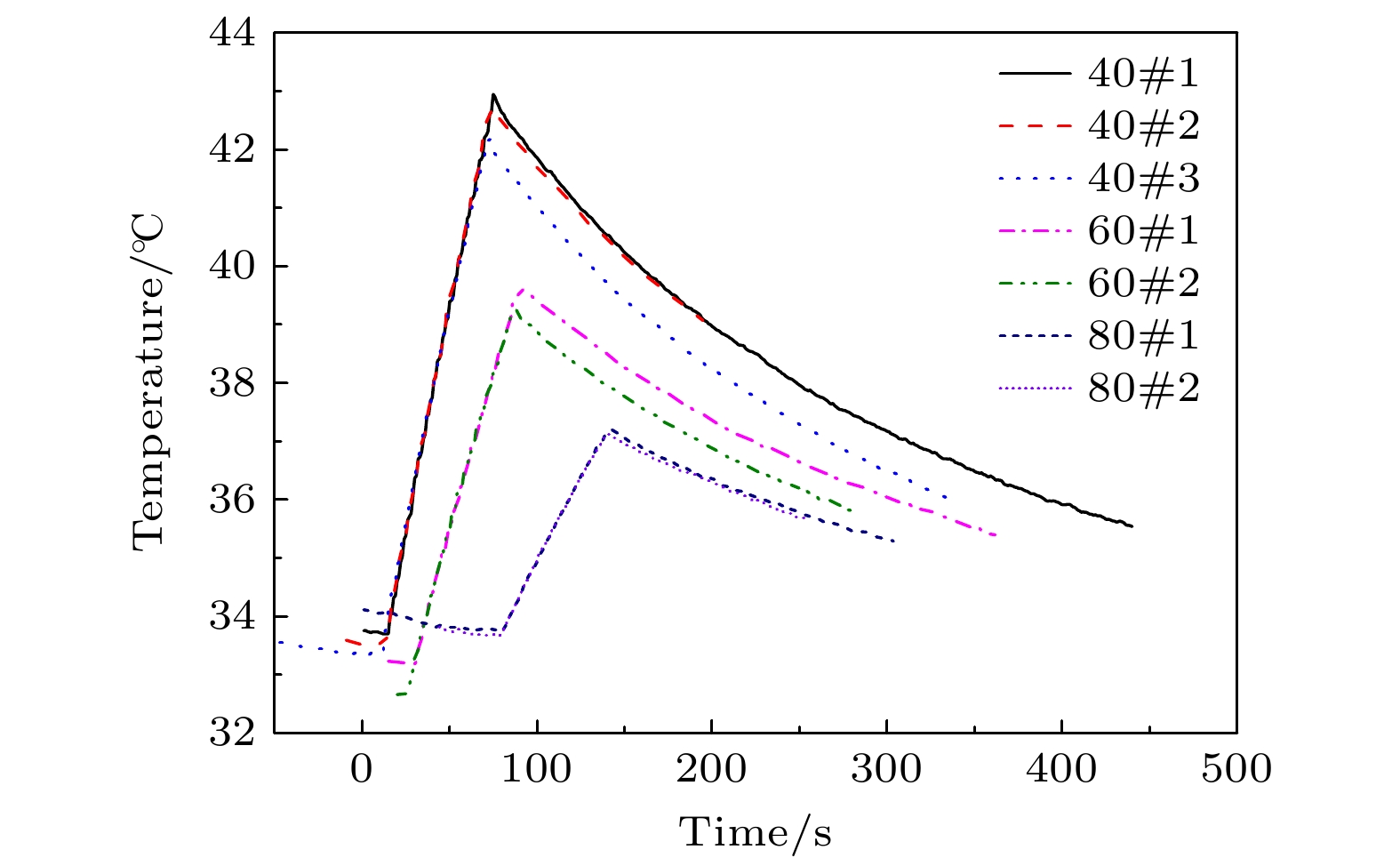
漫反射金属吸收率的准确测量十分重要且比较困难. 量热法可靠性较高, 但是参数反演较为困难. 为此, 建立了一种物理信息神经网络方法. 该方法通过神经网络拟合温度上升段曲线, 进而获得吸收率. 为了验证该方法, 开展了数值仿真和实验研究. 数值仿真结果表明, 该方法适用于吸收率测量, 抗干扰能力强, 反演精度高, 在0.05—0.2的吸收率范围内, 最大误差为0.00092. 实验以喷砂镀金铝板为被测对象, 受表面粗糙度、镀金工艺等影响, 这些样品的吸收率处于2%—10%之间, 测量重复精度优于1%. 基于物理信息神经网络的吸收率测量方法有望成为一种有力的金属表面吸收率测量方法.Characterizing the absorptivity of a rough metal surface is a difficult but important task. The uncertainty will be enlarged by using the indirect method, i.e. 1 – reflectance measurement. In contrast, the calorimetric method is of high fidelity. However, it is difficult to extract the absorptivity. The variation of temperature follows the heat conduction equation which is a differential equation. Therefore, a method based on physics-informed neural networks (PINNs) is proposed. In this method, the temperature rising curve is fitted to the differential equation by the neural network. The differential equation is incorporated into the network through the loss function. When the training is done, the absorptivity can be extracted. For demonstration, the numerical test and experimental test are performed. A set of temperature profiles with different absorptivity values is generated numerically. Then the absorptivity is extracted by PINN. The numerical results show that this method is able to determine the absorptivity and possesses the advantages of strong anti-interference capability and high accuracy. The maximum absolute error is 0.00092 in the range of 0.05 to 0.2. In the experiment, sand-blasted gold coated aluminum plates are used as the test objects, and they are heated by a continuous wave infrared laser. The temperature is measured by a K thermocouple. Then the absorptivity values of different samples are determined by the PINN, ranging from 2% to 10% because of the differences in roughness and electroplating process. The measurement repeatability is < 1%. The proposed method is very promising to become a powerful tool for measuring the absorptivity of rough metal surface.
[1] [2] [3] [4] [5] [6] [7] [8] [9] [10] [11] [12] [13] [14] [15] [16] [17] [18] [19] [20] [21] -
[1] [2] [3] [4] [5] [6] [7] [8] [9] [10] [11] [12] [13] [14] [15] [16] [17] [18] [19] [20] [21]
计量
- 文章访问数:1033
- PDF下载量:72
- 被引次数:0













下载:








