-
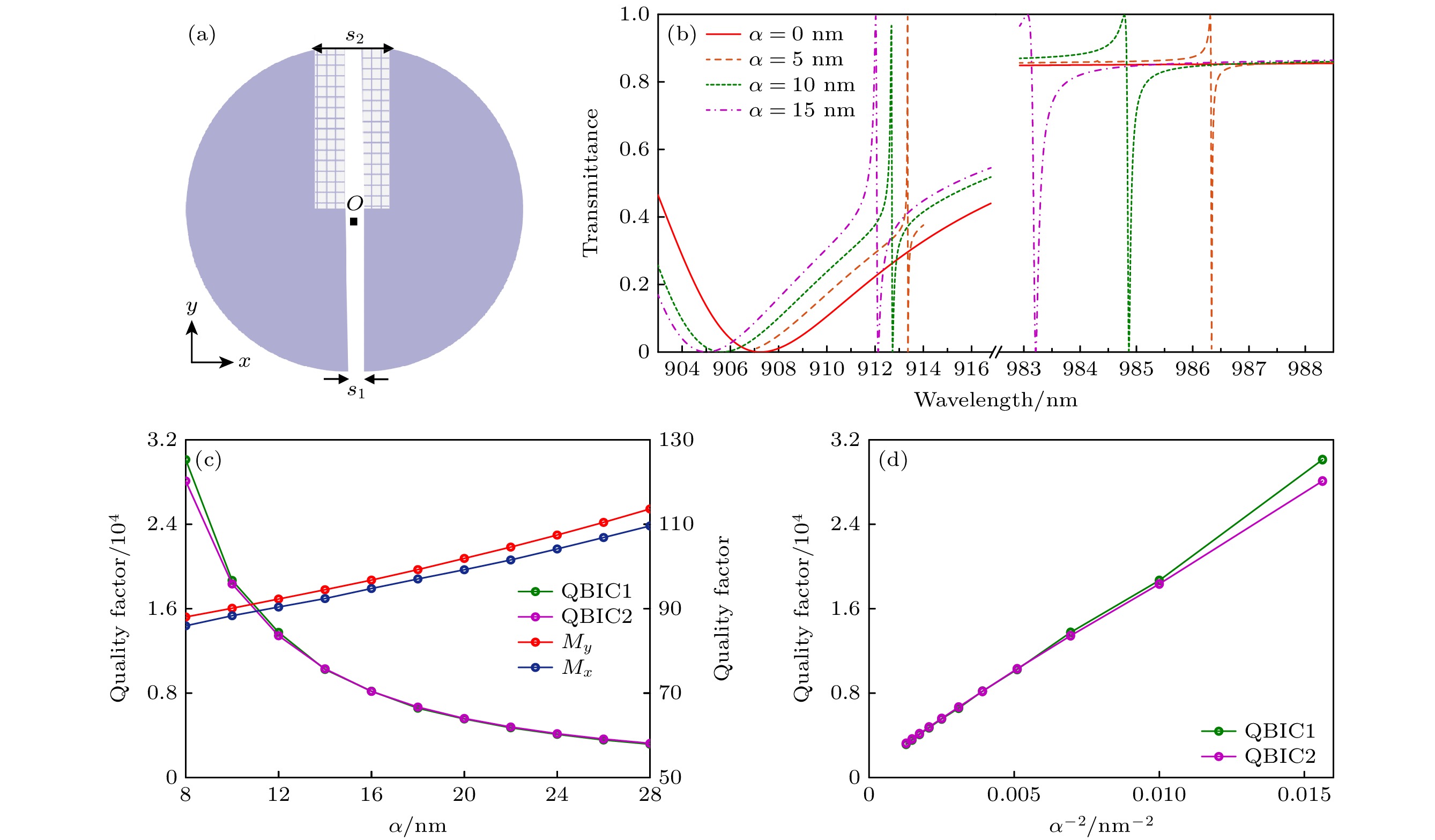
本文设计了由不对称半圆柱对阵列组成的全介质超构表面, 获得了两个高品质因子的准连续域束缚态模式(quasi-bound states in the continuum, QBIC). 通过选择不同形式的对称破缺, 在近红外频段均可产生两个稳健的QBIC, 并且二者的谐振波长、品质因子、偏振依赖等表现出不同的特性. 模拟计算表明, 通过测量两个QBIC的谐振波长, 能够实现折射率和温度的双参数传感; 通过调节不对称参数, 利用QBIC的品质因子依赖于不对称参数的二次方反比关系, 理论上能够提高品质因子到任意的数值, 从而实现传感性能的提升和调节. 该超构表面的折射率传感灵敏度、品质因子和优值分别达到194.7 nm/RIU, 45829和8197, 其温度传感灵敏度达到24 pm/℃.
Refractive index sensors based on metal metasurfaces are commonly limited by their low quality factors due to significant Ohmic losses in the metal material. In contrast, sensors based on all-dielectric metasurfaces can overcome this disadvantage. Currently, all-dielectric metesurface sensors based on symmetry-protected bound states in the continuum (BIC) have aroused intense research interest due to their ability to achieve ultrahigh quality factors. Such a metasurface sensor is mainly based on single BIC and single form of symmetry breaking. There are few studies on metasurface sensors of multiple BICs and multiple forms of symmetry breaking. In additon, the refractive-index sensors commonly neglect the influence of temperature fluctuation and thus suffer the crosstalk between the refractive index and temperature of the environment. In this work, an all-dielectric metasurface composed of a periodic array of asymmetric semicircular-cylinder pairs is designed and two quasi-bound states in the continuum (QBIC) with high quality factors are obtained. By choosing three different forms of symmetry breaking (two in-plane and one out-of-plane), two robust QBIC modes can be generated in the selected near-infrared frequency band, and their resonance wavelengths, quality factors and polarization dependences exhibit different characteristics. Full-wave simulation results show that by measuring the resonance wavelengths of the two QBICs (denoted by QBIC1 and QBIC2), two-parameter sensing of refractive index and temperature can be achieved, which then solves the problem of crosstalk between the refractive index and temperature of the environment in refractive-index sensing. The dependence of quality factor on asymmetric parameters follows an inverse quadratic relation for the two QBICs. By adjusting the asymmetric parameters, the quality factor can be theoretially increased to any value, so that the sensing performance can be improved and adjusted. For refractive-index sensing, the QBIC1 can achieve a sensitivity of 194.7 nm/RIU and a highest figure of merit (FOM) of 8197 (corresponding to a quality factor of 45829); the QBIC2 can achieve a sensitivity of 170 nm/RIU, and a highest FOM of 4970 (corresponding to a quality factor of 28097). For temperature sensing, the QBIC1 can achieve a sensitivity of 7.77 pm/℃, and the QBIC2 can achieve a sensitivity of 24 pm/℃. -
Keywords:
- metasurface/
- quasi-bound states in the continuum/
- symmetry breaking/
- refractive index sensing/
- temperature sensing
[1] [2] [3] [4] [5] [6] [7] [8] [9] [10] [11] [12] [13] [14] [15] [16] [17] [18] [19] [20] [21] [22] [23] [24] [25] [26] -
不对称参数 模式 共振波长/nm 折射率传感灵敏度/(nm·RIU–1) Q FOM
α= 8 nm
(β=γ= 0)Mx 906.01 123 86 11.7 My 917.51 139.2 88 13.4 QBIC1 985.28 194.7 30125 5953 QBIC2 912.97 161.5 28097 4970
β= 6 nm
(α=γ= 0)Mx 906.08 128 83.4 11.8 My 917.45 141 80.5 12.4 QBIC1 984.01 174 45829 8197 QBIC2 911.69 160.3 6639 1143
γ= 2 nm
(α=β= 0)Mx 908.63 134 72.8 10.7 My 922.01 138 78.7 11.8 QBIC1 991.35 172 41417 7186 QBIC2 915.35 170 7572 1406 不对称参数 QBIC1温度传感
灵敏度/(pm·℃–1)QBIC2温度传感
灵敏度/(pm·℃–1)β= 2 nm 13.19 23.5 β= 4 nm 12.51 23.3 β= 6 nm 6.81 23.19 α= 3 nm 7.43 23.39 α= 5 nm 7.43 23.31 α= 8 nm 7.27 23.19 γ= 2 nm 7.77 24.0 γ= 3 nm 8.0 24.31 γ= 5 nm 8.27 24.69 不对称参数 $\Delta {n_{{\mathrm{set}}}}$ $ \Delta {T}_{{\mathrm{set}}}/ $℃ $\Delta {\lambda _1}/{\mathrm{nm}}$ $\Delta {\lambda _2}/{\mathrm{nm}}$ $\Delta {n_{{\mathrm{cal}}}}$ $ \Delta {T}_{{\mathrm{cal}}}/ $℃ $ {\delta _n} $ $ {\delta _T} $ β= 6 nm 0.015 20 2.52 3.06 0.0149 20.57 –0.67% 2.85% 0.02 20 3.35 3.945 0.0202 19.56 1% –2.2% 0.01 40 1.84 2.66 0.0097 41.99 –3% 4.975% 0.02 40 3.50 4.41 0.0202 38.70 1% –3.25% 0.01 60 1.99 3.12 0.00984 60.82 –1% 1.37% α= 8 nm 0.015 20 2.615 3.085 0.0148 20.758 –1.33% 3.79% 0.02 20 3.475 3.97 0.0201 19.23 0.5% –3.85% 0.01 40 1.92 2.67 0.0098 41.35 –2% 3.375% 0.02 40 3.63 4.43 0.0202 38.33 1% –4.175% 0.01 60 2.07 3.13 0.00981 60.79 –1.9% 1.317% γ= 2 nm 0.015 20 2.72 3.08 0.01482 20.90 –1.2% 4.5% 0.02 20 3.61 3.96 0.020 19.84 0% –0.8% 0.01 40 2.01 2.69 0.0098 41.05 –2% 2.625% 0.02 40 3.78 4.44 0.0201 38.93 1% –2.675% 0.01 60 2.17 3.17 0.00984 60.76 –1.6% 1.27% -
[1] [2] [3] [4] [5] [6] [7] [8] [9] [10] [11] [12] [13] [14] [15] [16] [17] [18] [19] [20] [21] [22] [23] [24] [25] [26]
计量
- 文章访问数:1804
- PDF下载量:85
- 被引次数:0












下载:









