| [1] |
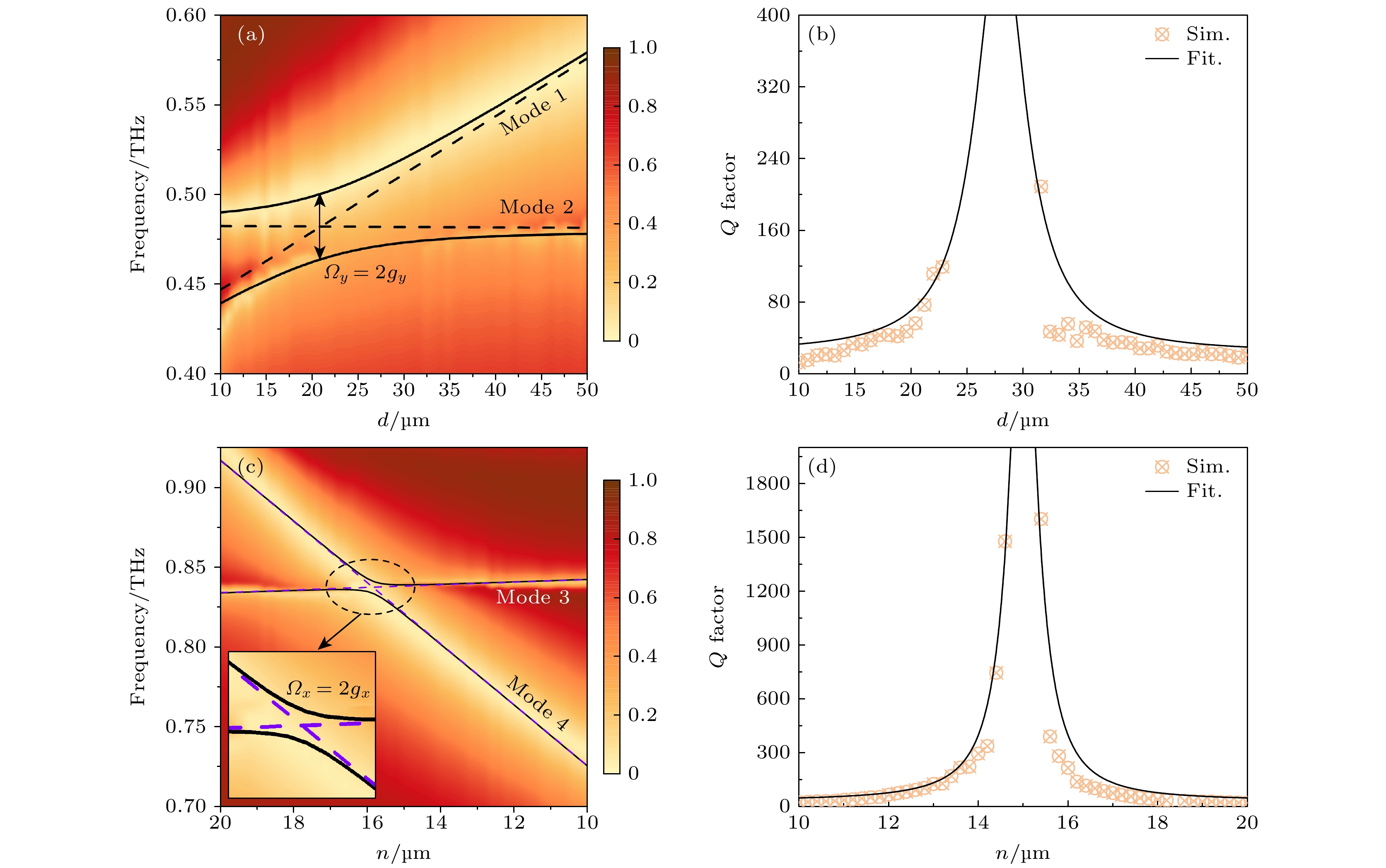
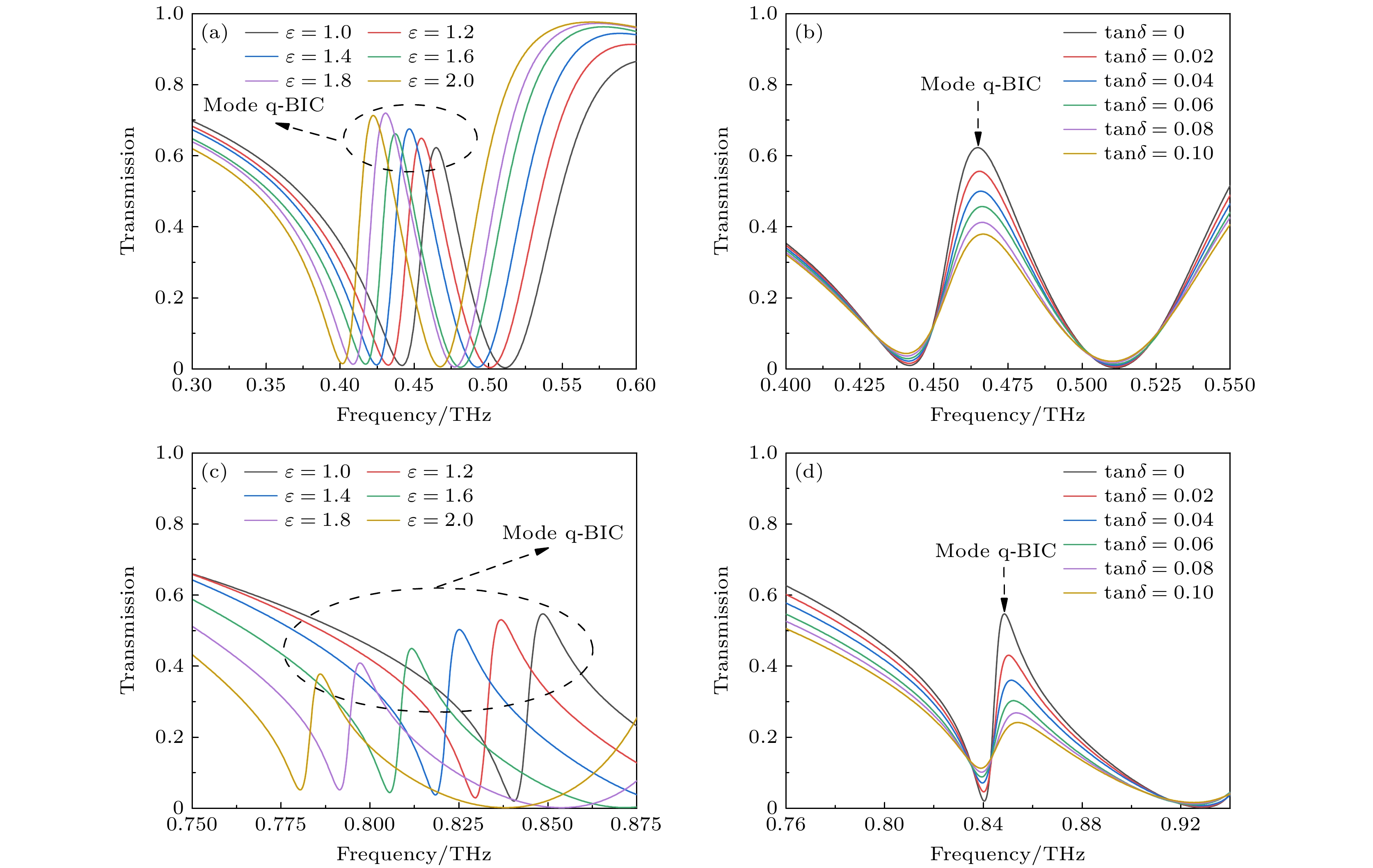
任洋, 李振雄, 张磊, 崔巍, 吴雄雄, 霍亚杉, 何智慧.基于法布里-珀罗腔的可调谐连续域束缚态及应用研究. 必威体育下载 , 2024, 0(0): .doi:10.7498/aps.73.20240861 |
| [2] |
孟祥裕, 李涛, 余彬彬, 邰永航.探究四聚体超表面中多极准连续域束缚态的调控机制. 必威体育下载 , 2024, 73(10): 107801.doi:10.7498/aps.73.20240272 |
| [3] |
王丹, 李九生, 郭风雷.宽带吸收与极化转换可切换的太赫兹超表面. 必威体育下载 , 2024, 73(14): 148701.doi:10.7498/aps.73.20240525 |
| [4] |
张向, 王玥, 张婉莹, 张晓菊, 罗帆, 宋博晨, 张狂, 施卫.单壁碳纳米管太赫兹超表面窄带吸收及其传感特性. 必威体育下载 , 2024, 73(2): 026102.doi:10.7498/aps.73.20231357 |
| [5] |
夏兆生, 刘宇行, 包正, 王丽华, 吴博, 王刚, 王辉, 任信钢, 黄志祥.基于准连续域束缚态的强圆二色性超表面. 必威体育下载 , 2024, 0(0): .doi:10.7498/aps.73.20240834 |
| [6] |
汪静丽, 董先超, 尹亮, 杨志雄, 万洪丹, 陈鹤鸣, 钟凯.基于二氧化钒的太赫兹双频多功能编码超表面. 必威体育下载 , 2023, 72(9): 098101.doi:10.7498/aps.72.20222321 |
| [7] |
黄若彤, 李九生.太赫兹多波束调控反射编码超表面. 必威体育下载 , 2023, 72(5): 054203.doi:10.7498/aps.72.20221962 |
| [8] |
闫梦, 孙珂, 宁廷银, 赵丽娜, 任莹莹, 霍燕燕.基于共振波导光栅结构准连续域束缚态的低阈值纳米激光器的数值研究. 必威体育下载 , 2023, 72(4): 044202.doi:10.7498/aps.72.20221894 |
| [9] |
杨东如, 程用志, 罗辉, 陈浮, 李享成.基于双开缝环结构的半反射和半透射超宽带超薄双偏振太赫兹超表面. 必威体育下载 , 2023, 72(15): 158701.doi:10.7498/aps.72.20230471 |
| [10] |
陈闻博, 陈鹤鸣.基于超材料复合结构的太赫兹液晶移相器. 必威体育下载 , 2022, 71(17): 178701.doi:10.7498/aps.71.20212400 |
| [11] |
于博, 庄书磊, 王正心, 王曼诗, 郭兰军, 李鑫煜, 郭文瑞, 苏文明, 龚诚, 刘伟伟.基于纳米印刷技术的双螺旋太赫兹可调超表面. 必威体育下载 , 2022, 71(11): 117801.doi:10.7498/aps.71.20212408 |
| [12] |
李国强, 施宏宇, 刘康, 李博林, 衣建甲, 张安学, 徐卓.基于超表面的多波束多模态太赫兹涡旋波产生. 必威体育下载 , 2021, 70(18): 188701.doi:10.7498/aps.70.20210897 |
| [13] |
徐平, 肖钰斐, 黄海漩, 杨拓, 张旭琳, 袁霞, 李雄超, 王梦禹, 徐海东.简单结构超表面实现波长和偏振态同时复用全息显示新方法. 必威体育下载 , 2021, 70(8): 084201.doi:10.7498/aps.70.20201047 |
| [14] |
龙洁, 李九生.相变材料与超表面复合结构太赫兹移相器. 必威体育下载 , 2021, 70(7): 074201.doi:10.7498/aps.70.20201495 |
| [15] |
周璐, 赵国忠, 李晓楠.基于双开口谐振环超表面的宽带太赫兹涡旋光束产生. 必威体育下载 , 2019, 68(10): 108701.doi:10.7498/aps.68.20182147 |
| [16] |
李晓楠, 周璐, 赵国忠.基于反射超表面产生太赫兹涡旋波束. 必威体育下载 , 2019, 68(23): 238101.doi:10.7498/aps.68.20191055 |
| [17] |
丰茂昌, 李勇峰, 张介秋, 王甲富, 王超, 马华, 屈绍波.一种宽角域散射增强超表面的研究. 必威体育下载 , 2018, 67(19): 198101.doi:10.7498/aps.67.20181053 |
| [18] |
张学进, 陆延青, 陈延峰, 朱永元, 祝世宁.太赫兹表面极化激元. 必威体育下载 , 2017, 66(14): 148705.doi:10.7498/aps.66.148705 |
| [19] |
张银, 冯一军, 姜田, 曹杰, 赵俊明, 朱博.基于石墨烯的太赫兹波散射可调谐超表面. 必威体育下载 , 2017, 66(20): 204101.doi:10.7498/aps.66.204101 |
| [20] |
杨磊, 范飞, 陈猛, 张选洲, 常胜江.多功能太赫兹超表面偏振控制器. 必威体育下载 , 2016, 65(8): 080702.doi:10.7498/aps.65.080702 |