Symmetry plays a crucial role in understanding topological phases in materials. In one-dimensional systems, such as the Su-Schrieffer-Heeger (SSH) model, chiral symmetry is thought to ensure the quantization of the Zak phase and the nontrivial topological phase. However, our work demonstrates that the one-dimensional lattice system with broken chiral symmetry can still possess quantized Zak phase and nontrivial topological phase. Specifically, we use a Bose-Einstein condensate of
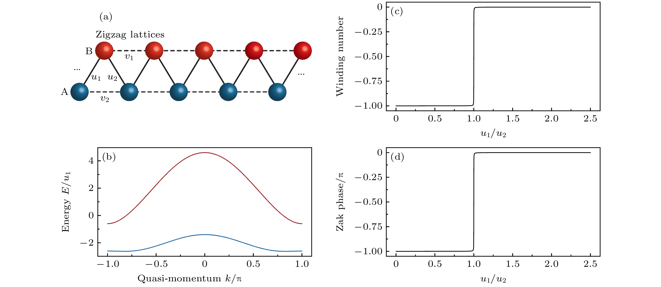
87Rb atoms in a momentum space lattice of ultracold atoms to effectively simulate a one-dimensional Zigzag model of 26 sites, which intrinsically breaks the chiral symmetry by additional next-nearest-neighbor coupling. To ensure the existence of the nontrivial topological phase, where the Zak phase can be measured from the time-averaged displacement during the system’s evolution, we need to preserve the inversion symmetry by modulating laser power so that all next-nearest-neighbor coupling strengths are equal. Furthermore, by changing the ratio of nearest-neighbor coupling strengths, we observe a topological phase transition from a nontrivial topological phase to a trivial topological phase at the point where the ratio equals 1. Our work demonstrates that the ultracold atom system provides a controllable platform for studying the symmetrical phase and topological phase, with the potential to explore nonlinear topological phenomena by increasing the interactions among atoms. In addition, our system can be used to investigate other interesting topological phenomena with more complex models, such as critical phenomena at the phase transitions and flat band structures in the extended SSH model with long-range coupling. By controlling the coupling strengths, we can also explore the influence of different symmetries on the topological properties of extended SSH models in the future. Moreover, our platform makes it possible to studythe models with more energy bands, such as the Aharonov-Bohm caging model with a three-level structure, which shows peculiar flat-band properties. This work provides opportunities for various studies in the fields of symmetry, topology, and the interaction of controllable quantum systems.