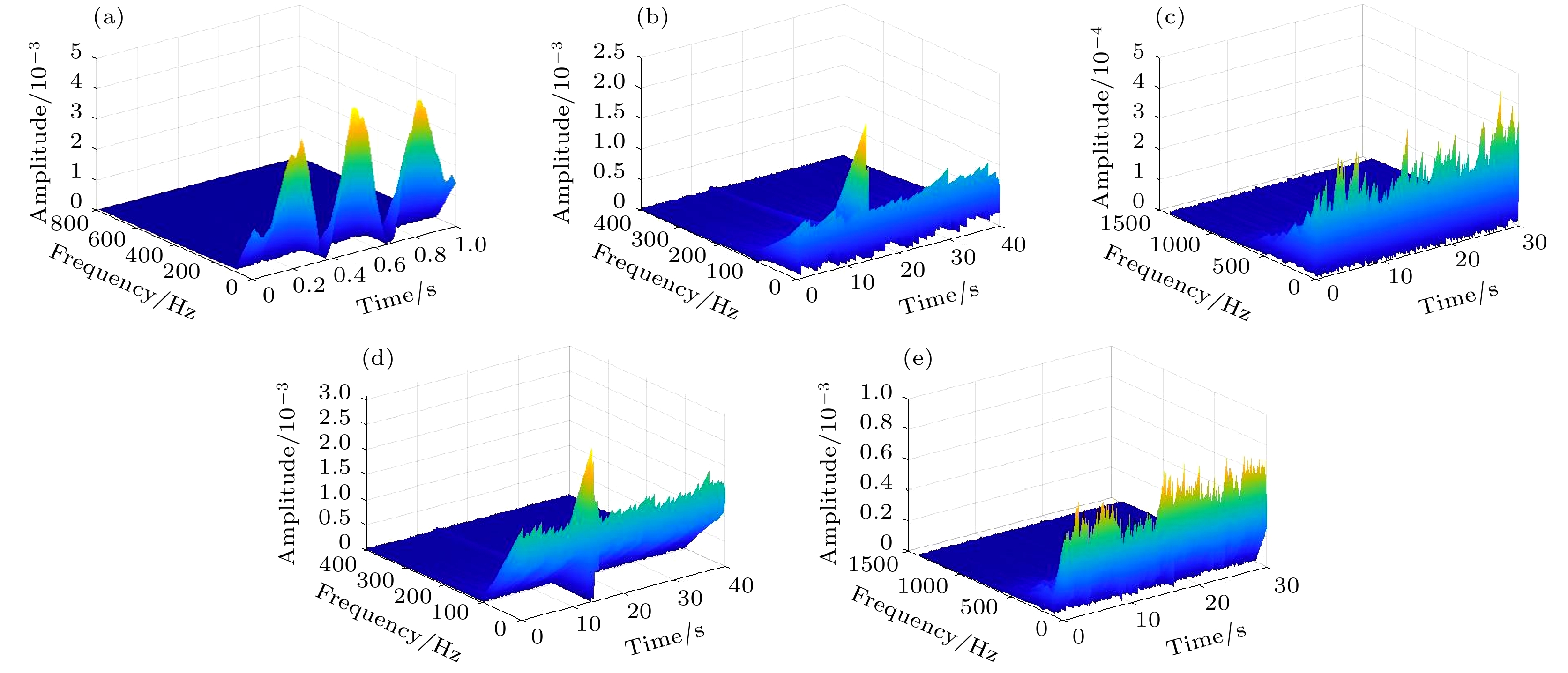
The micro-Doppler effect is a physical phenomenon generated by the micro-motion of objects and their components, which have a significant influence on improving radar detection and resolution capability and also enhancing the radar imaging and target recognition performance. The extraction of micro-Doppler frequency, as a commonly used time-frequency analysis tool, is of great significance in extracting and reconstructing the signal with micro-motion targets. The micro-motion characteristics for moving targets can be verified by using simulation through combining the theory of micro-Doppler effect with the frequency domain model of electromagnetic waves. The simulation research on the micro-motion characteristics of a three-dimensional target is conducted by using the finite element method. The influences of environmental conditions such as relative humidity, visibility, and the presence or absence of turbulence on echo intensity and time-frequency relationship are investigated theoretically. The simulation results indicate that parameters such as relative humidity and visibility, which affect the atmospheric attenuation coefficient, can reduce echo intensity and the period of time-frequency curve. By triggering off beam drift in the transmission path, turbulence can lead to “frequency shift deformation” of the time-frequency curve, degrading the extraction of target motion attitude. A motion attitude classification method is proposed in order to study the micro-Doppler effect better. According to whether the frequency shift changes with time, the motion attitude can be divided into frequency shift time-invariant motion and time-variant motion. Frequency shift time-variant motion includes translation, rolling and vibration. Vibration and rolling are motions that periodically change with time, requiring the comparison of instantaneous frequency shifts at any three times within a cycle. Translation is a time-variant motion with irregular frequency shifts over time, which involves studying instantaneous frequency shifts at any three times. Transient frequency shifts should be analyzed and compared at different times for these motions. The frequency shift time-invariant motion is mainly rotation obtained experimental results indicate that the amplitude, plus-minus, and spectral width of frequency shift at different positions are aimed at inverting the target shape, attitude, direction and velocity. Demodulating one-dimensional data obtained from the FFTshift function can obtain the time-frequency-intensity relationship. This multi-parameter analysis method is a multi-dimensional processing method widely used in the fields of radar, sonar, and communication. The above research is conductive to the measurement of target macroscopic shape properties and the extraction of microscopic motion information, which lays the foundation for radar detection and recognition.