-
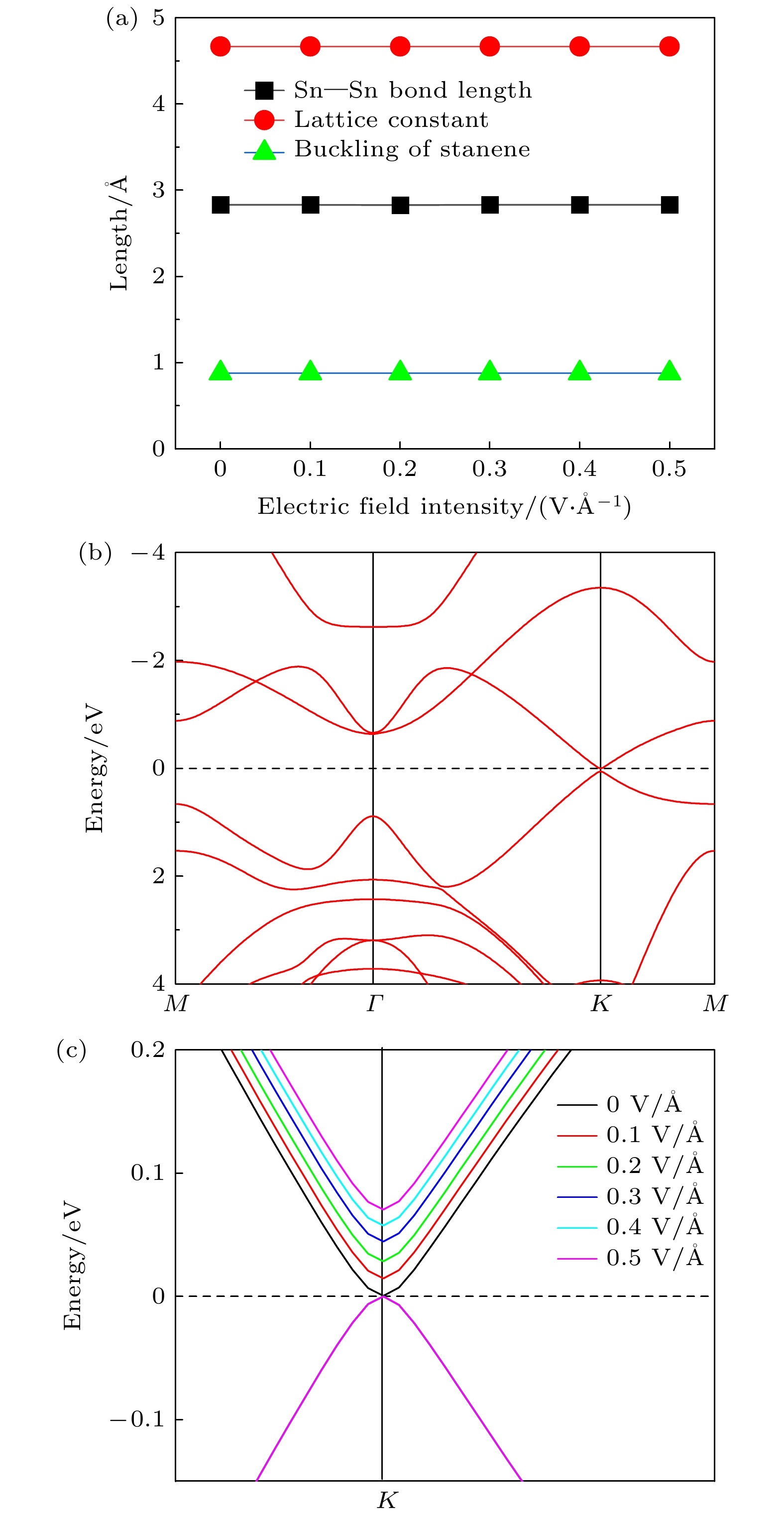
锡烯具有超高载流子密度、无质量狄拉克费米子和高导热性等优良性质, 并且存在能带反转现象, 被认为是拓扑绝缘体, 拓扑绝缘体在一定条件下可以获得无耗散电流, 具有极高的应用潜力. 由于锡烯在布里渊区高对称点 K处的能带存在狄拉克锥, 带隙为零, 大大限制了锡烯在半导体领域的应用. 本文采用在锡烯中掺杂B/N元素和在垂直于锡烯平面方向施加电场的方法来打开锡烯在 K点处的带隙, 并研究掺杂和施加电场强度对锡烯结构和电子性质的变化. 研究发现施加掺杂B元素和垂直电场都能在保留锡烯拓扑性质的同时打开 K点处的带隙, 并且施加的垂直电场强度与 K点处带隙呈正相关. 在掺杂B元素的同时施加垂直电场可以增大 K点处的带隙, 当电场强度为0.5 V/Å时, 带隙达到0.092 eV. 掺杂N元素后, 锡烯变为间接带隙半导体, 带隙为0.183 eV. 施加垂直电场不能改变N元素掺杂锡烯的结构, 施加的垂直电场强度与 K点处带隙则呈负相关, 当电场强度为0.5 V/Å时, K点处带隙减小到0.153 eV.Stanene possesses excellent properties, including an extremely high charge carrier density, massless Dirac fermions, and high thermal conductivity. Moreover, it exhibits band inversion phenomena, being made a candidate for a topological insulator. Topological insulators can generate dissipationless electric currents under certain conditions, showing great application potentials. However, the presence of a Dirac cone in the band structure of stanene at the high-symmetry point Kin the Brillouin zone, resulting in a zero band gap, significantly limits its applications in the semiconductor field. This study adopts the method of doping B/N elements in stanene and applying an electric field perpendicular to the stanene to open the band gap at the Kpoint. The effects of doping and the intensity of the applied electric field on the structural and electronic properties of stanene are investigated. The results reveal that both doping B elements and applying a vertical electric field can open the band gap at the Kpoint while preserving the topological properties of stanene. Additionally, there is a positive correlation between the applied vertical electric field intensity and the band gap at the Kpoint. Simultaneously doping B elements and applying a vertical electric field can increase the band gap at the Kpoint, reaching 0.092 eV when the electric field intensity is 0.5 V/Å. After doping N elements, stanene is transformed into an indirect band gap semiconductor with a band gap of 0.183 eV. Applying a vertical electric field cannot change the structure of N-doped stanene, and the intensity of the applied vertical electric field is negatively correlated with the band gap at the Kpoint. When the electric field intensity is 0.5 V/Å, the band gap at the Kpoint decreases to 0.153 eV.
-
Keywords:
- stanene/
- topological insulator/
- perpendicular electric field/
- doping
[1] [2] [3] [4] [5] [6] [7] [8] [9] [10] [11] [12] [13] [14] [15] [16] [17] [18] [19] [20] [21] [22] [23] [24] [25] [26] [27] [28] [29] [30] [31] -
[1] [2] [3] [4] [5] [6] [7] [8] [9] [10] [11] [12] [13] [14] [15] [16] [17] [18] [19] [20] [21] [22] [23] [24] [25] [26] [27] [28] [29] [30] [31]
计量
- 文章访问数:1021
- PDF下载量:54
- 被引次数:0












下载:




