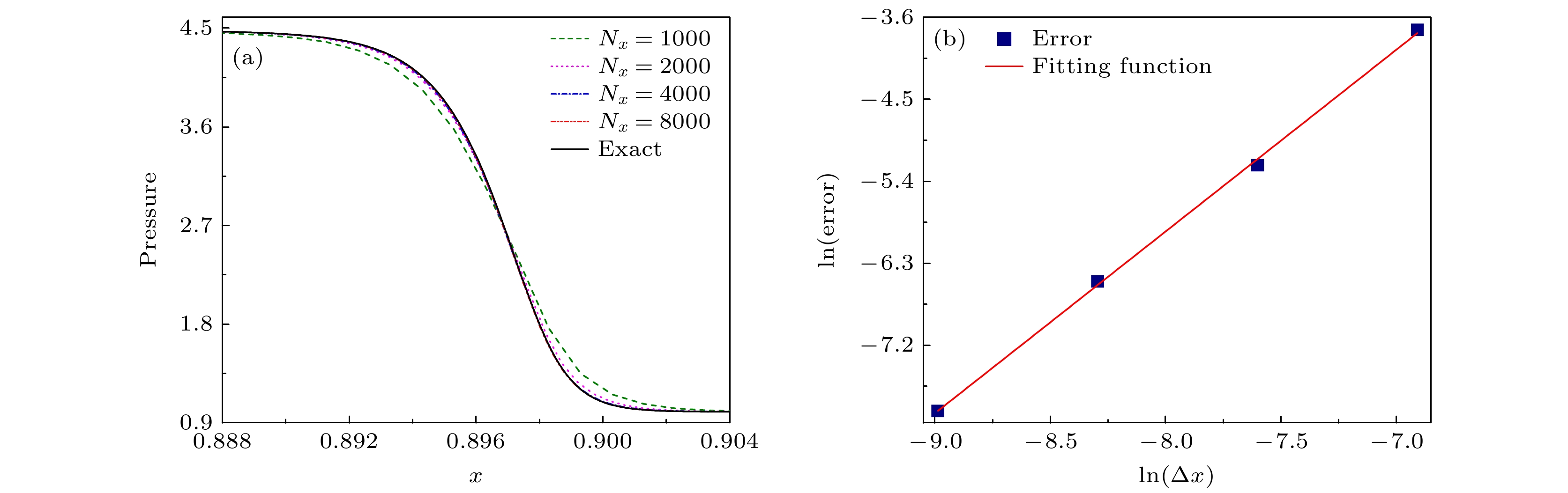
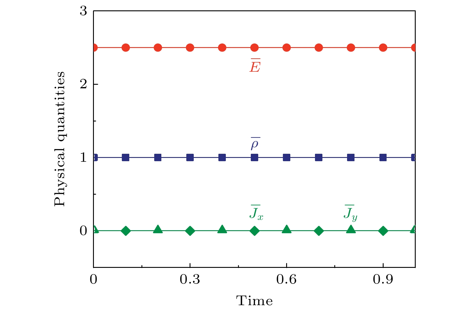
Mesoscopic methods serve as a pivotal link between the macroscopic and microscopic scales, offering a potent solution to the challenge of balancing physical accuracy with computational efficiency. Over the past decade, significant progress has been made in the application of the discrete Boltzmann method (DBM), which is a mesoscopic method based on a fundamental equation of nonequilibrium statistical physics (i.e., the Boltzmann equation), in the field of nonequilibrium fluid systems. The DBM has gradually become an important tool for describing and predicting the behavior of complex fluid systems. The governing equations comprise a set of straightforward and unified discrete Boltzmann equations, and the choice of their discrete format significantly influences the computational accuracy and stability of numerical simulations. In a bid to bolster the reliability of these simulations, this paper utilizes the finite volume method as a solution for handling the discrete Boltzmann equations. The finite volume method stands out as a widely employed numerical computation technique, known for its robust conservation properties and high level of accuracy. It excels notably in tackling numerical computations associated with high-speed compressible fluids. For the finite volume method, the value of each control volume corresponds to a specific physical quantity, which makes the physical connotation clear and the derivation process intuitive. Moreover, through the adoption of suitable numerical formats, the finite volume method can effectively minimize numerical oscillations and exhibit strong numerical stability, thus ensuring the reliability of computational results. Particularly, the MUSCL format where a flux limiter is introduced to improve the numerical robustness is adopted for the reconstruction in this paper. Ultimately, the DBM utilizing the finite volume method is rigorously validated to assess its proficiency in addressing flow issues characterized by pronounced discontinuities. The numerical experiments encompass scenarios involving shock waves, Lax shock tubes, and acoustic waves. The results demonstrate the method's precise depiction of shock wave evolution, rarefaction waves, acoustic phenomena, and material interfaces. Furthermore, it ensures the conservation of mass, momentum, and energy within the system, as well as accurately measures the hydrodynamic and thermodynamic nonequilibrium effects of the fluid system. Compared with the finite difference method, the finite volume method is also more convenient and flexible in dealing with boundary conditions of different geometries, and can be adapted to a variety of systems with complex boundary conditions. Consequently, the finite volume method further broadens the scope of DBM in practical applications.