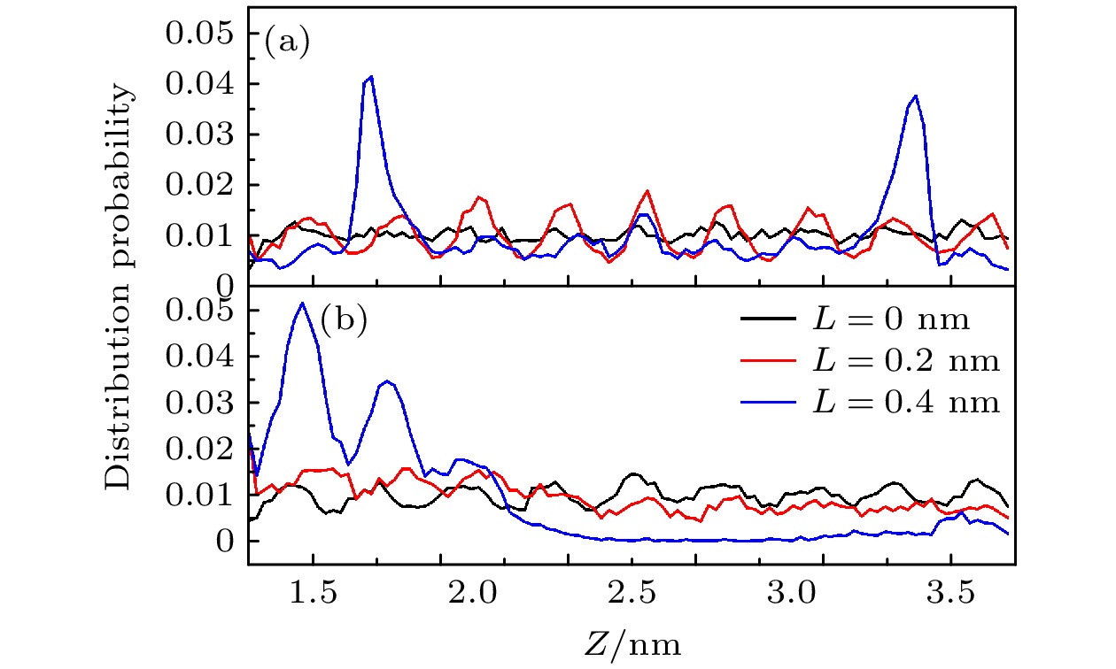
The orientation of water molecules within nanochannels is pivotal in influencing water transport, particularly under the influence of electric fields. This study delves into the effects of electric field direction on water transport through disjoint nanochannels, a structure which is of emerging significance. Molecular dynamics simulations are conducted to study the properties of water in complete nanochannel and disjoint nanochannels with gap sizes of 0.2 nm and 0.4 nm, respectively, such as occupancy, transport, water bridge formation, and dipole orientation, by systematically varying the electric field direction from 0 to 180 degrees. The simulation results disclose that the electric field direction has little influence on water flow through complete nanochannels. However, as the size of the nanogap expands, the declining trend of water transfer rate through disjoint nanochannels becomes more distinctive when the electric field direction is shifted from 0 to 90 degrees under an electric field with a strength of 1 V/nm. Notably, results also reveal distinct behaviors at 90 degrees under an electric field with a strength of 1 V/nm, where the stable water chains, unstable water bridges, and no water bridges are observed in complete nanochannels, disjoint nanochannels with 0.2 nm gap, and 0.4 nm gap, respectively. Moreover, simulations indicate that increasing the electric field strength in a polarization direction perpendicular to the tube axis facilitates water bridge breakdown in disjoint nanochannels. This research sheds light on the intricate interplay between electric field direction and water transport dynamics in disjoint nanochannels, presenting valuable insights into various applications.