How to achieve spin control of noncollinear antiferromagnetic Mn
             
3Sn at room temperature is a challenge. In this study, we modulate the magnetic structure of Mn
             
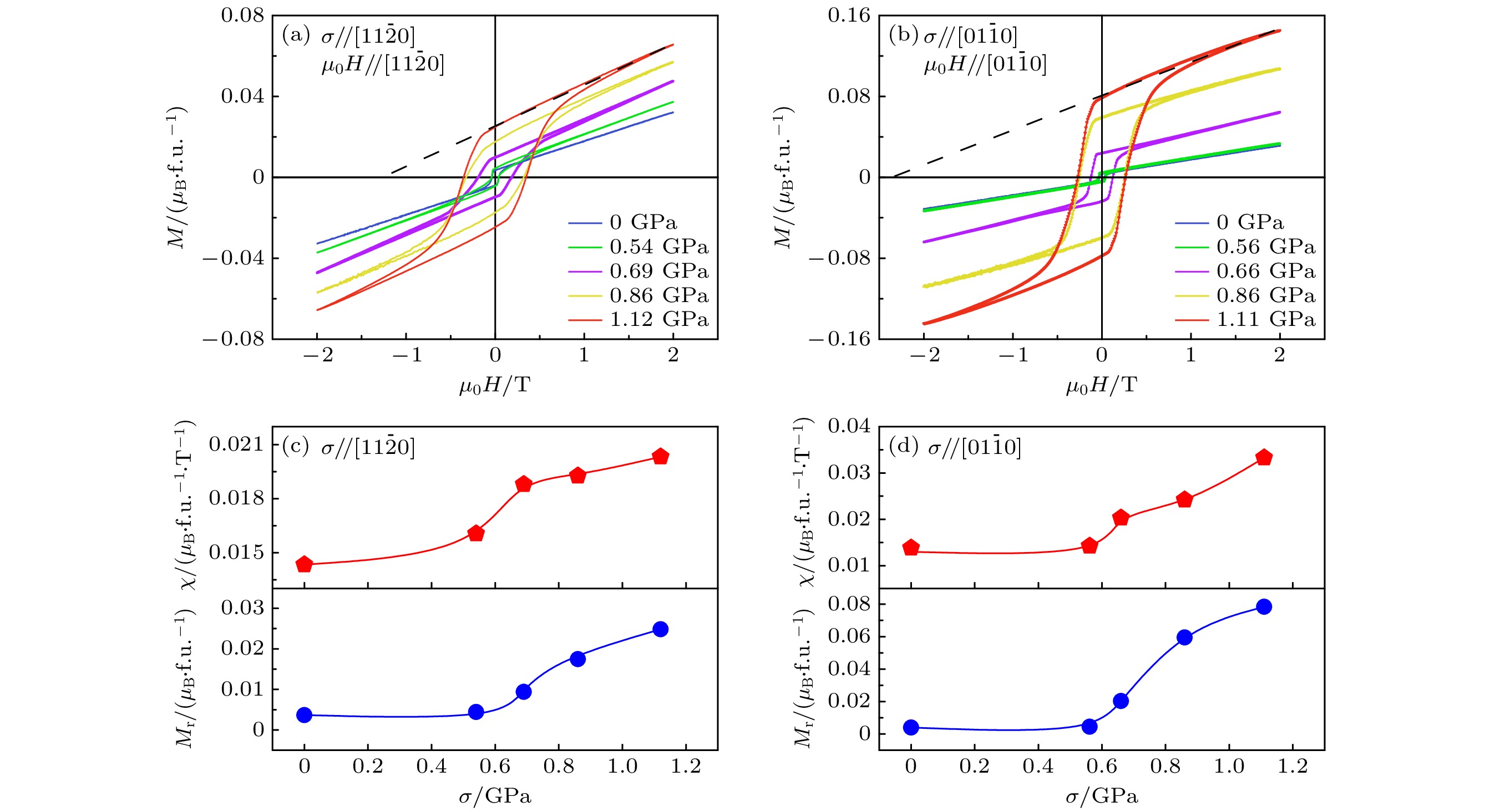
3Sn single crystals by subjecting them to uniaxial stress at the GPa level using a high-pressure combined deformation method. Initially, the single crystal is sliced into regular cuboids, then embedded in a stainless steel sleeve, and finally, uniaxial stress is applied along the
             
              $ \text{[11}\bar{2}\text{0]} $
               
              
             direction and
             
              $ \text{[01}\bar{1}\text{0]} $
               
              
             direction of the Mn
             
3Sn single crystal. Under high stress, the single crystal undergoes plastic deformation. Our observations reveal lattice distortion in the deformed single crystal, with the lattice parameter gradually decreasing as the stress level increases. In addition, the magnetic susceptibility of Mn
             
3Sn under GPa uniaxial stress (
             
χ) is different from that under MPa uniaxial stress, and its value is no longer fixed but increases with the increase of stress. When 1.12 GPa stress is applied in the
             
              $ \text{[11}\bar{2}\text{0]} $
               
              
             direction,
             
χreaches 0.0203
             
              $ {\text{μ}}_{\text{B}}\cdot{\text{f.u.}}^{{-1}}\cdot{\text{T}}^{{-1}} $
               
              
             , which is 1.42 times that of the undeformed sample. In the case of stress applied along the
             
              $ \text{[01}\bar{1}\text{0]} $
               
              
             direction,
             
χ≈ 0.0332
             
              $ {\text{μ}}_{\text{B}}\cdot{\text{f.u.}}^{{-1}}\cdot{\text{T}}^{{-1}} $
               
              
             when the stress is 1.11 GPa. This result is also 2.66 times greater than the reported results. We further calculate the values of trimerization parameter (
             
ξ), isotropic Heisenberg exchange interaction (
             
J), and anisotropic energy (
             
δ) of the system under different stresses. Our results show that
             
ξgradually increases,
             
Jgradually decreases, and
             
δgradually increases with the increase of stress. These results show that the GPa uniaxial stress introduces anisotropic strain energy into the single crystal, breaking the symmetry of the in-plane hexagon of the kagome lattice, which causes the bond length of the two equilateral triangles composed of Mn atoms to change. Thus, the exchange coupling between Mn atoms in the system is affected, the anisotropy of the system is enhanced, and the antiferromagnetic coupling of the system is enhanced. Therefore, the system
             
χis no longer a constant value and gradually increases with the increase of stress. This discovery will provide new ideas for regulating the anti-ferromagnetic spin.