-
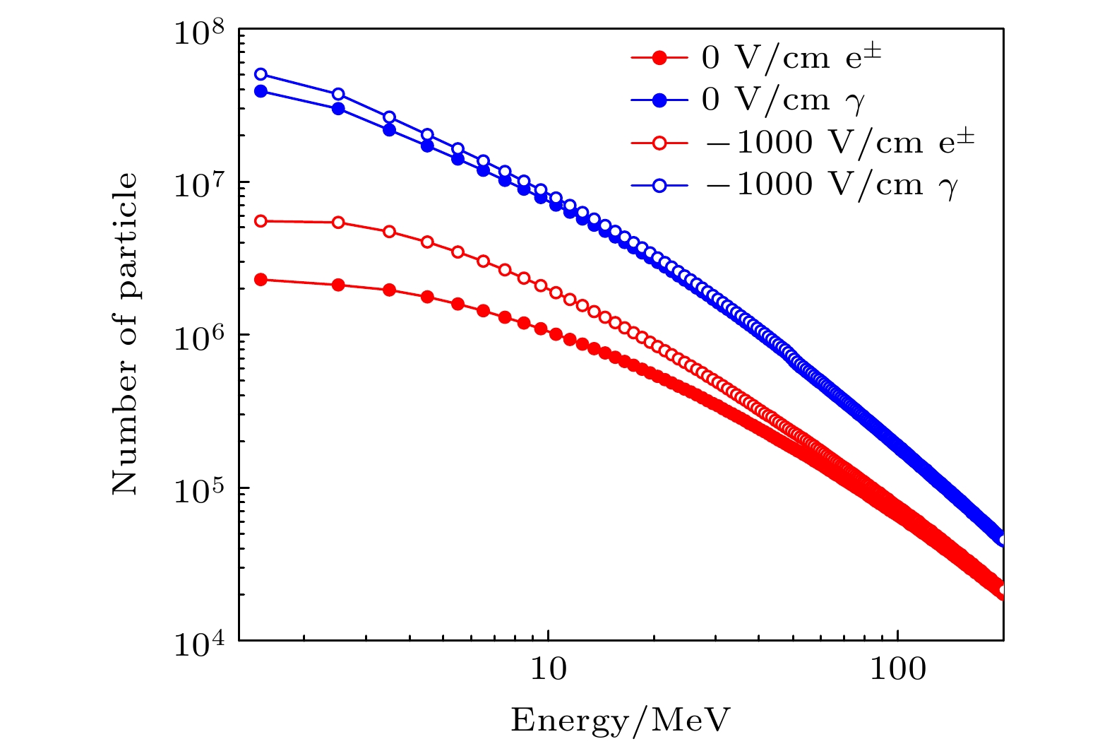
LHAASO实验利用到达探测器的宇宙线次级粒子来获取原初宇宙线信息, 而次级粒子中成分最多的是光子. 雷暴期间, 大气电场会影响次级带电粒子, 进而改变地面光子信息. 本文利用Monte Carlo方法, 模拟研究了近地雷暴电场对LHAASO观测面次级光子的影响. 模拟中使用了一个厚度均匀、方向垂直于地面的电场模型. 结果表明, 雷暴电场中光子的数目和能量变化显著, 且依赖于电场强度. 当电场为–1000 V/cm时, 光子数目增加23%, 能谱变软, 当能量小于2 MeV时, 数目增加超过29%. 当电场为–1700 V/cm时, 光子数目呈指数增长, 达到279%, 能谱相较于–1000 V/cm变得更软, 当能量小于2 MeV时, 数目增加超过361%, 符合相对论电子逃逸雪崩机理. 这些变化主要源于电子被大气电场加速, 数目增加(–1000 V/cm中增加65%, –17000 V/cm中增加992%), 能谱变软. 同时, 高能自由电子通过轫致辐射产生光子, 导致光子的数目和能量也发生变化, 且变化趋势与电子的一致. 本模拟结果有助于理解雷暴期间LHAASO实验数据变化特点, 并为大气电场加速宇宙线次级带电粒子的物理机制提供信息.
-
关键词:
- 雷暴电场/
- 宇宙线次级粒子/
- Monte Carlo模拟/
- LHAASO实验
Large high altitude air shower observatory (LHAASO) is a complex of extensive air shower (EAS) detector arrays, located on the Mt. Haizi (29°21' N, 100°08' E) at an altitude of 4410 m a. s. l., Daocheng, Sichuan Province, China. The information about primary cosmic rays can be obtained by using data from secondary particles measured at LHAASO, with photons make up the majority among these secondary particles. During thunderstorms, the atmospheric electric field can affect secondary charged particles (mainly positrons and electrons), thus changing the information of photons on the ground. In this work, Monte Carlo simulations are performed to investigate the effects of near-ground thunderstorm electric fields on cosmic ray secondary photons at LHAASO. A simple model with a vertical and uniform atmospheric electric field in a layer of atmosphere is used in our simulations. During thunderstorms, the number and energy of photons are found to significantly change and strongly depend on the electric field strength. In a field of –1000 V/cm (below the threshold of the relativistic runaway electron avalanche (RREA) process), the number of photons is increased by 23%. Also, the spectrum of photons softens, and the increased number of photons with energy less than 2 MeV exceeds 29%. In an electric field of –1700 V/cm (above the threshold of the RREA process), the number of photons experiences exponential growth, with an increase of 279%. The spectrum of photons becomes softer than that at –1000 V/cm, and the increased number with energy less than 2 MeV is more than 361%. It is consistent with the theory of RREA. For these phenomena of photons at LHAASO, the main factor is that the number of positrons and electrons are increased due to the acceleration of negative electric field on electrons, with increase of 65% in –1000 V/cm and 992% in –1700 V/cm, and the spectrum of positrons and electrons soften. Newborn free positrons/electrons may undergo bremsstrahlung and deposit part of their energy into photons, causing the change of number and energy of photons to follow roughly the same pattern as positrons and electrons. The simulation results can provide the information for understanding the variations of the data detected by LHAASO during thunderstorms and the acceleration mechanisms of secondary charged particles caused by an atmospheric electric field.-
Keywords:
- thunderstorms electric field/
- cosmic ray secondary particles/
- Monte Carlo simulations/
- LHAASO experiment
[1] [2] [3] [4] [5] [6] [7] [8] [9] [10] [11] [12] [13] [14] [15] [16] [17] [18] [19] [20] [21] [22] [23] [24] [25] [26] [27] [28] [29] [30] [31] [32] [33] [34] [35] [36] [37] [38] [39] [40] [41] [42] [43] [44] [45] [46] [47] [48] [49] [50] -
[1] [2] [3] [4] [5] [6] [7] [8] [9] [10] [11] [12] [13] [14] [15] [16] [17] [18] [19] [20] [21] [22] [23] [24] [25] [26] [27] [28] [29] [30] [31] [32] [33] [34] [35] [36] [37] [38] [39] [40] [41] [42] [43] [44] [45] [46] [47] [48] [49] [50]
计量
- 文章访问数:843
- PDF下载量:39
- 被引次数:0












下载:









