搜索

x

留言板

姓名
邮箱
手机号码
标题
留言内容
验证码

downloadPDF
引用本文:
Citation:

    施洪潮, 唐炳, 刘超飞

    Effect of interlayer exchange coupling interaction on topological phase of a bilayer honeycomb Heisenberg ferromagnet

    Shi Hong-Chao, Tang Bing, Liu Chao-Fei
    PDF
    HTML
    导出引用
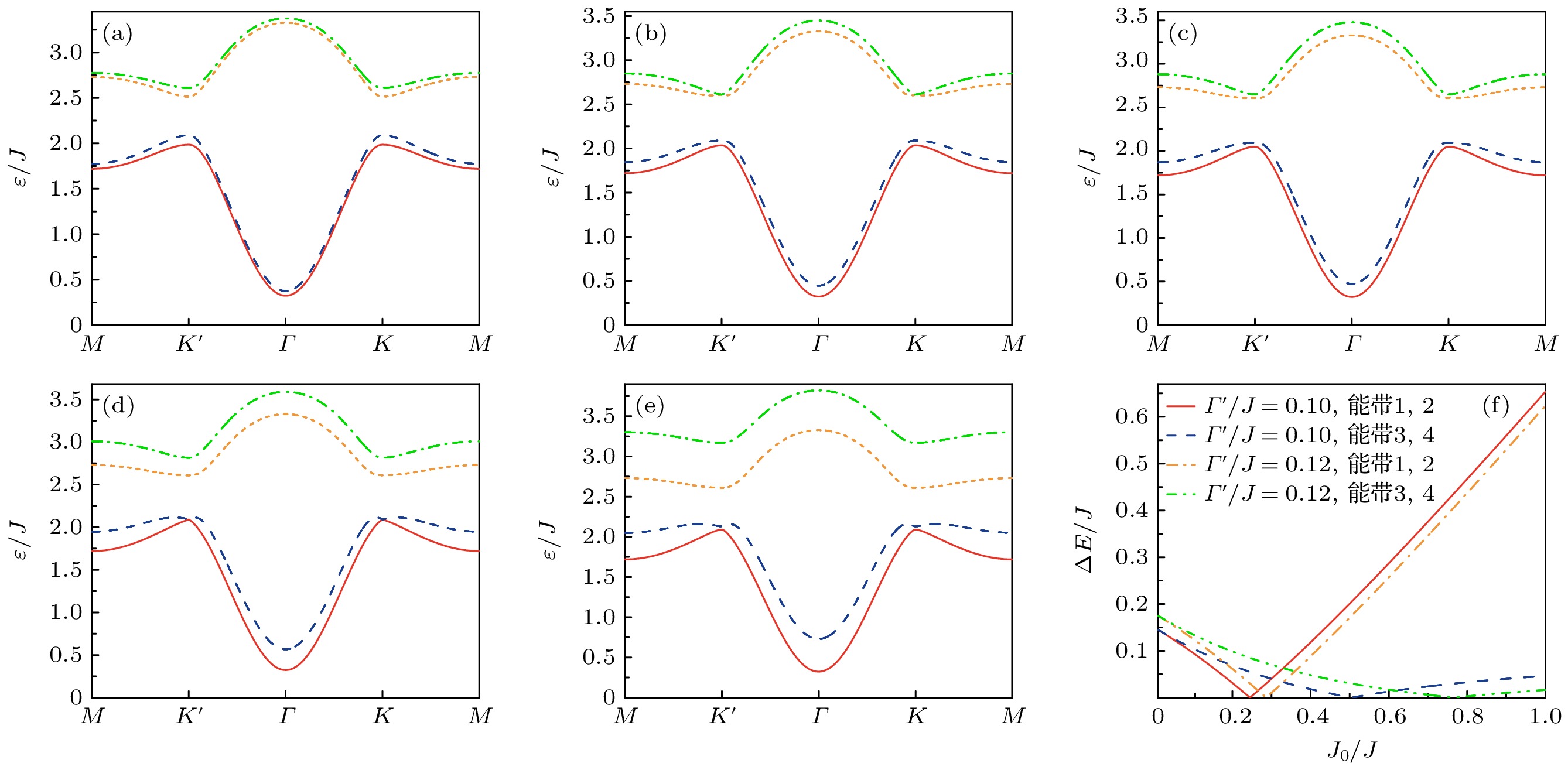
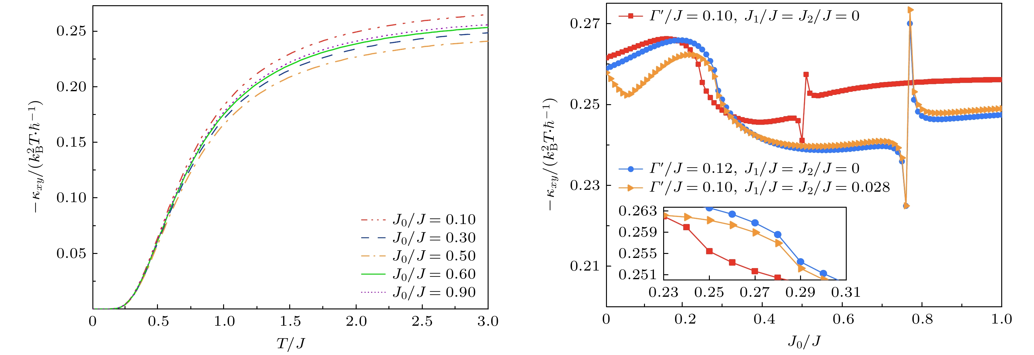
    • 层状磁性拓扑材料是最小二维单元下同时具有磁序和拓扑性的材料体系, 研究这一体系可能会观察到新物性和新现象的出现, 因此引起了研究者们的广泛关注. 本文运用线性自旋波理论, 主要研究了层间铁磁耦合的双层蜂窝状海森伯铁磁体中层间交换耦合相互作用对系统拓扑相的影响. 通过计算不同层间交换耦合相互作用强度下的磁子色散关系能得出, 当系统达到两个强度临界值时, 能量较高的两条能带和能量较低的两条能带的带隙在狄拉克点处会依次出现闭合-重新打开现象. 计算能带对应的贝里曲率和陈数后, 发现贝里曲率符号在相应临界值前后会发生反转, 同时陈数也会发生改变, 这证明系统发生了拓扑相变. 此外, 本文研究发现当双层蜂窝状铁磁体发生拓扑相变时, 磁子热霍尔系数变化曲线会相应发生突变. 本研究成果可以为利用双层蜂窝状铁磁材料制作具有更高信息传输能力的自旋电子器件提供理论支撑, 也可以为其他双层铁磁系统的相关研究提供一定的理论参考.
      Layered magnetic topological materials are material systems that exhibit both magnetic ordering and topological properties in their smallest two-dimensional units. Studying these systems may lead to the observation of new physical properties and phenomena, which has attracted considerable attention from researchers. The effect of interlayer exchange coupling interactions on bilayer honeycomb Heisenberg ferromagnets with interlayer coupled topological phase is investigated by using linear spin wave theory. The influence of introducing two additional types of interactions, i.e. interlayer exchange coupling interaction and interlayer easy-axis anisotropy interaction, on the topological phase transition are also explored in this work. By calculating the magnon dispersion relations at various interlayer exchange coupling interaction intensities, it is found that the band gaps of high energy band and low energy band both close and reopen at the Dirac points when the system reaches the critical value of interlayer exchange coupling interaction. In magnon systems, such physical phenomena typically relate to topological phase transitions. When calculating the Berry curvature and Chern numbers for the bands in the aforementioned process, it is found that the sign of the Berry curvature reverses and the Chern numbers change when the critical value of interlayer exchange coupling interaction strength is reached, confirming that a topological phase transition occurs indeed. Introducing two other types of interlayer exchange coupling interactions in this process can lead various novel topological phases to occur in the system. The enhancement of interlayer easy-axis anisotropy interactions is likely to impede the topological phase transitions occurring in the system. We find that a major distinction between bilayer honeycomb ferromagnets and their single-layer counterparts lies in the fact that during a topological phase transition, the sign of the magnon thermal Hall coefficient does not change; on the contrary, abrupt shift in the thermal Hall coefficient curve occurs which can be seen as an indicator of topological phase transition of bilayer honeycomb ferromagnets, and is also reflected in the change in magnon Nernst coefficient. The research results of this work can provide theoretical support for developing novel spintronic devices with enhanced information transmission capabilities by using bilayer honeycomb ferromagnetic materials, and can also provide theoretical reference for studing other bilayer ferromagnetic systems.
          通信作者:唐炳,bingtangphy@jsu.edu.cn; 刘超飞,liuchaofei@jxust.edu.cn
        • 基金项目:国家自然科学基金(批准号: 12064011, 12375014, 11875149)、湖南省教育厅科学研究项目 (批准号: 23A0404)和吉首大学2023年度研究生校级科研项目(批准号: Jdy23052)资助的课题.
          Corresponding author:Tang Bing,bingtangphy@jsu.edu.cn; Liu Chao-Fei,liuchaofei@jxust.edu.cn
        • Funds:Project supported by the National Natural Science Foundation of China (Grant Nos. 12064011, 12375014, 11875149), the Research Foundation of Education Bureau of Hunan Province, China (Grant No. 23A0404) and the School-level Graduate Scientific Research Project Foundation of Jishou University, China (Grant No. Jdy23052).
        [1]

        [2]

        [3]

        [4]

        [5]

        [6]

        [7]

        [8]

        [9]

        [10]

        [11]

        [12]

        [13]

        [14]

        [15]

        [16]

        [17]

        [18]

        [19]

        [20]

        [21]

        [22]

        [23]

        [24]

        [25]

        [26]

        [27]

        [28]

        [29]

        [30]

        [31]

        [32]

        [33]

        [34]

        [35]

        [36]

        [37]

        [38]

        [39]

        [40]

        [41]

        [42]

        [43]

        [44]

        [45]

        [46]

        [47]

        [48]

        [49]

        [50]

        [51]

        [52]

        [53]

        [54]

        [55]

        [56]

        [57]

        [58]

        [59]

        [60]

        [61]

        [62]

        [63]

        [64]

        [65]

        [66]

        [67]

        [68]

        [69]

        [70]

        [71]

        [72]

        [73]

        [74]

        [75]

        [76]

        [77]

        [78]

        [79]

        [80]

        [81]

        [82]

        [83]

        [84]

        [85]

        [86]

        [87]

        [88]

        [89]

      • 参数 陈数
        能带1 能带2 能带3 能带4
        $ {J_0} = 0.1, \;\varGamma '{=}0.1, \;{J_1} = 0.1, \;{J_2} = {J_3} = 0 $ –2 0 2 0
        $ {J_0} = 0.245, \;\varGamma '{=}0.1, \;{J_1} = 0.1, \;{J_2} = {J_3} = 0 $ 0 –2 2 0
        $ {J_0} = 0.3, \;\varGamma '{=}0.1, \;{J_1} = 0.1, \;{J_2} = {J_3} = 0 $ 0 –2 2 0
        $ {J_0} = 0.505, \;\varGamma '{=}0.1, \;{J_1} = 0.1, \;{J_2} = {J_3} = 0 $ 0 –2 0 2
        $ {J_0} = 0.9, \;\varGamma '{=}0.1, \;{J_1} = 0.1, \;{J_2} = {J_3} = 0 $ 0 –2 0 2
        下载: 导出CSV

        序号 陈数
        能带1 能带2 能带3 能带4
        0 –2 0 2
        0 –2 2 0
        1 –3 2 0
        –1 –1 2 0
        –3 1 2 0
        –2 0 2 0
        –2 2 0 0
        –1 1 0 0
        –1 0 1 0
        下载: 导出CSV
      • [1]

        [2]

        [3]

        [4]

        [5]

        [6]

        [7]

        [8]

        [9]

        [10]

        [11]

        [12]

        [13]

        [14]

        [15]

        [16]

        [17]

        [18]

        [19]

        [20]

        [21]

        [22]

        [23]

        [24]

        [25]

        [26]

        [27]

        [28]

        [29]

        [30]

        [31]

        [32]

        [33]

        [34]

        [35]

        [36]

        [37]

        [38]

        [39]

        [40]

        [41]

        [42]

        [43]

        [44]

        [45]

        [46]

        [47]

        [48]

        [49]

        [50]

        [51]

        [52]

        [53]

        [54]

        [55]

        [56]

        [57]

        [58]

        [59]

        [60]

        [61]

        [62]

        [63]

        [64]

        [65]

        [66]

        [67]

        [68]

        [69]

        [70]

        [71]

        [72]

        [73]

        [74]

        [75]

        [76]

        [77]

        [78]

        [79]

        [80]

        [81]

        [82]

        [83]

        [84]

        [85]

        [86]

        [87]

        [88]

        [89]

      计量
      • 文章访问数:874
      • PDF下载量:41
      • 被引次数:0
      出版历程
      • 收稿日期:2024-03-27
      • 修回日期:2024-04-26
      • 上网日期:2024-05-24
      • 刊出日期:2024-07-05

        返回文章
        返回
          Baidu
          map