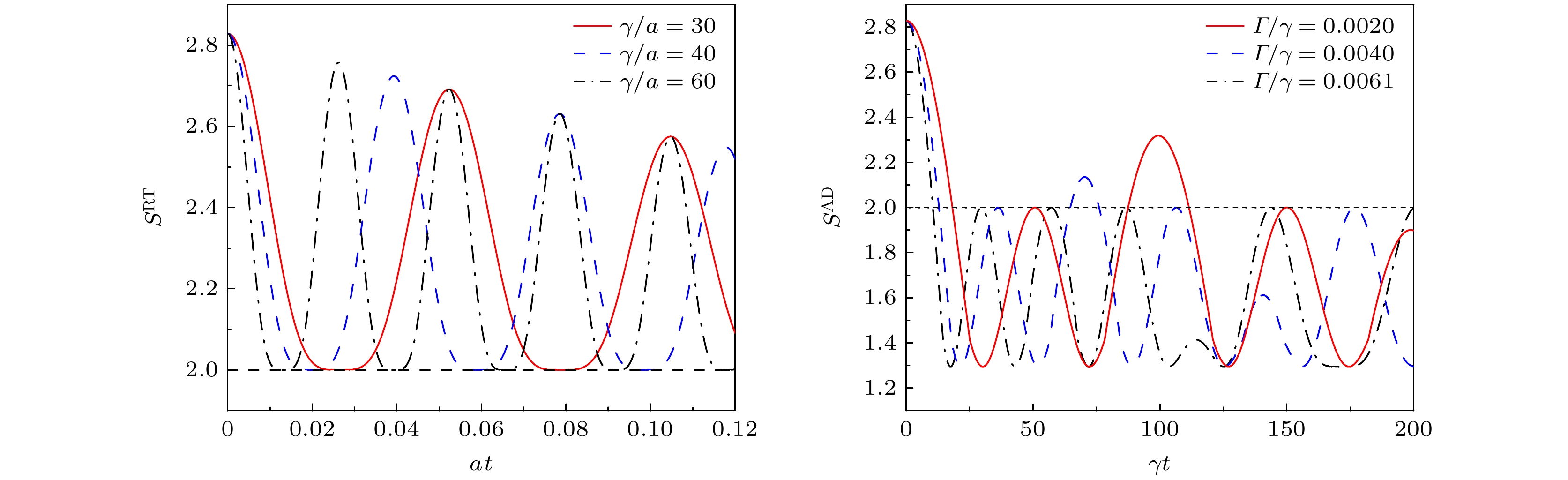
Research on whether quantum states retain quantum non-local correlation properties after evolving in non-Markovian environments has significant applications in the field of quantum information. In this work, we investigate the density matrix of quantum states evolving with time in various non-Markovian environments. Specifically, we examine two types of non-Markovian phase damping environments, namely random telegraph (RT) noise environment and Ornstein-Uhlenbeck (OU) noise environment, and non-Markovian amplitude damping (AD) environment. By utilizing the Clauser-Horne-Shimony-Holt (CHSH) inequality, a quantum non-local correlation testing of the Werner state after its evolution in these non-Markovian environments is conducted. The results show significant differences in the quantum non-local correlation testing results of the Werner state after evolving in different non-Markovian environments. Notably, the Werner state displays information backflow in the RT noise environment and the AD environment, resulting in periodic oscillations in its quantum non-local correlation testing. This suggests that under certain conditions, the quantum state can transition from a state without quantum non-local correlation back to a state with such a correlation as evolution time progresses. The results also show that the Werner state exhibits the information about backflow phenomena in RT noise environment and AD environment, leading to periodic oscillations in its quantum non-local correlation testing. Furthermore, these periods are inversely proportional to certain parameters, such as
$\sqrt {{{\left( {{{2\gamma } \mathord{\left/ {\vphantom {{2\gamma } a}} \right. } a}} \right)}^2} - 1} $
and
$ \sqrt {2{\varGamma \mathord{\left/ {\vphantom {\varGamma \gamma }} \right. } \gamma } - {{\left( {{\varGamma \mathord{\left/ {\vphantom {\varGamma \gamma }} \right. } \gamma }} \right)}^2}} $
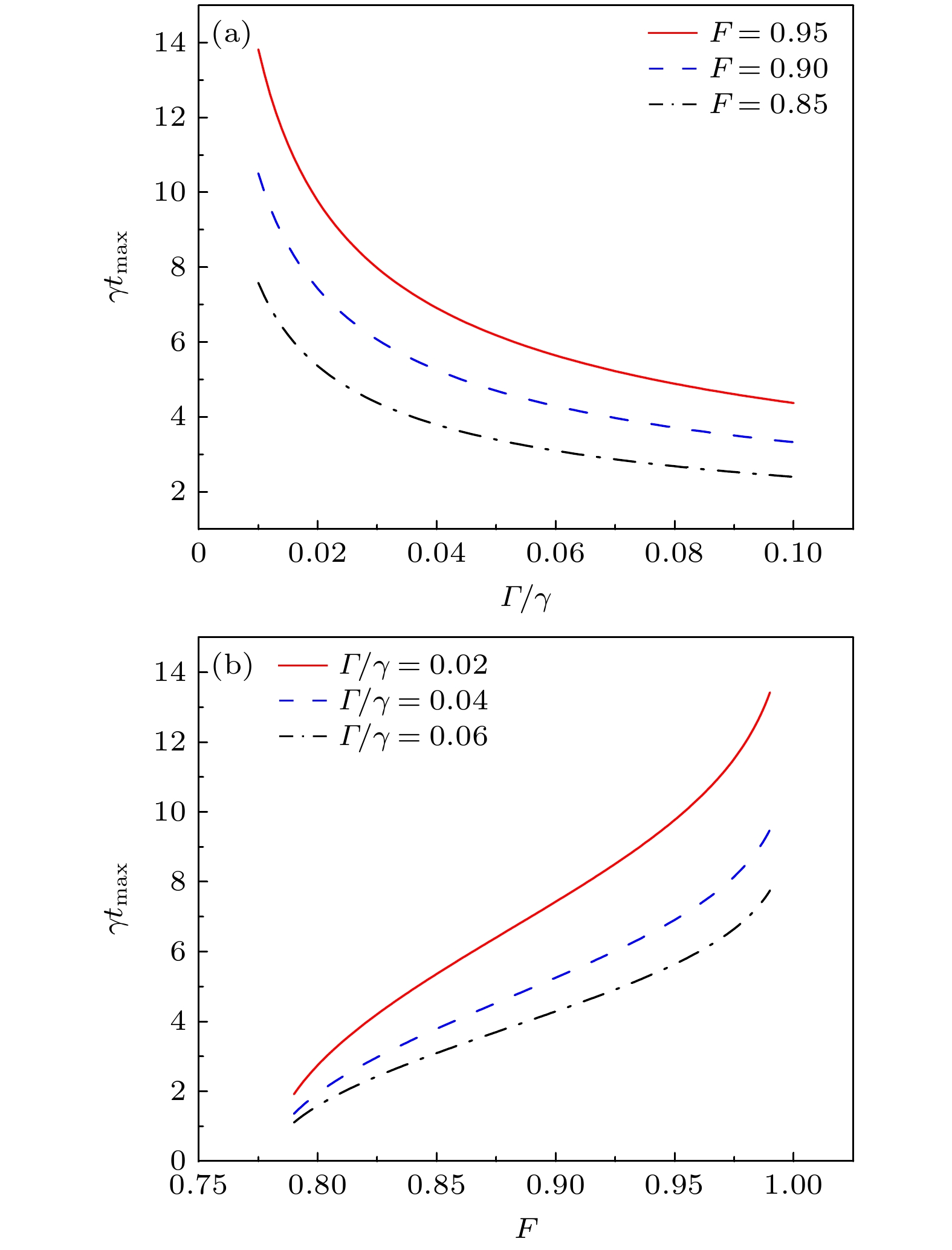
. On the contrary, in the OU noise environment, no information about backflow is obtained, thereby leading the value of the quantum non-local correlation test to increase with evolution time increasing. In most of AD and OU noise environments, there exists a specific maximum evolution time
$\gamma {t_{\max }}$
in which successful quantum non-local correlation testing can be conducted. This maximum evolution time
$\gamma {t_{\max }}$
shows a nonlinear variation with fidelity increasing and an inverse variation with
$\varGamma /\gamma $
parameter increasing. In comparison, the maximum evolution time for successful quantum non-local correlation testing in the OU noise environment exceeds that in the AD environment under the same conditions, indicating that the AD environment exerts a more pronounced weakening effect on the quantum non-local correlation properties of the Werner state.