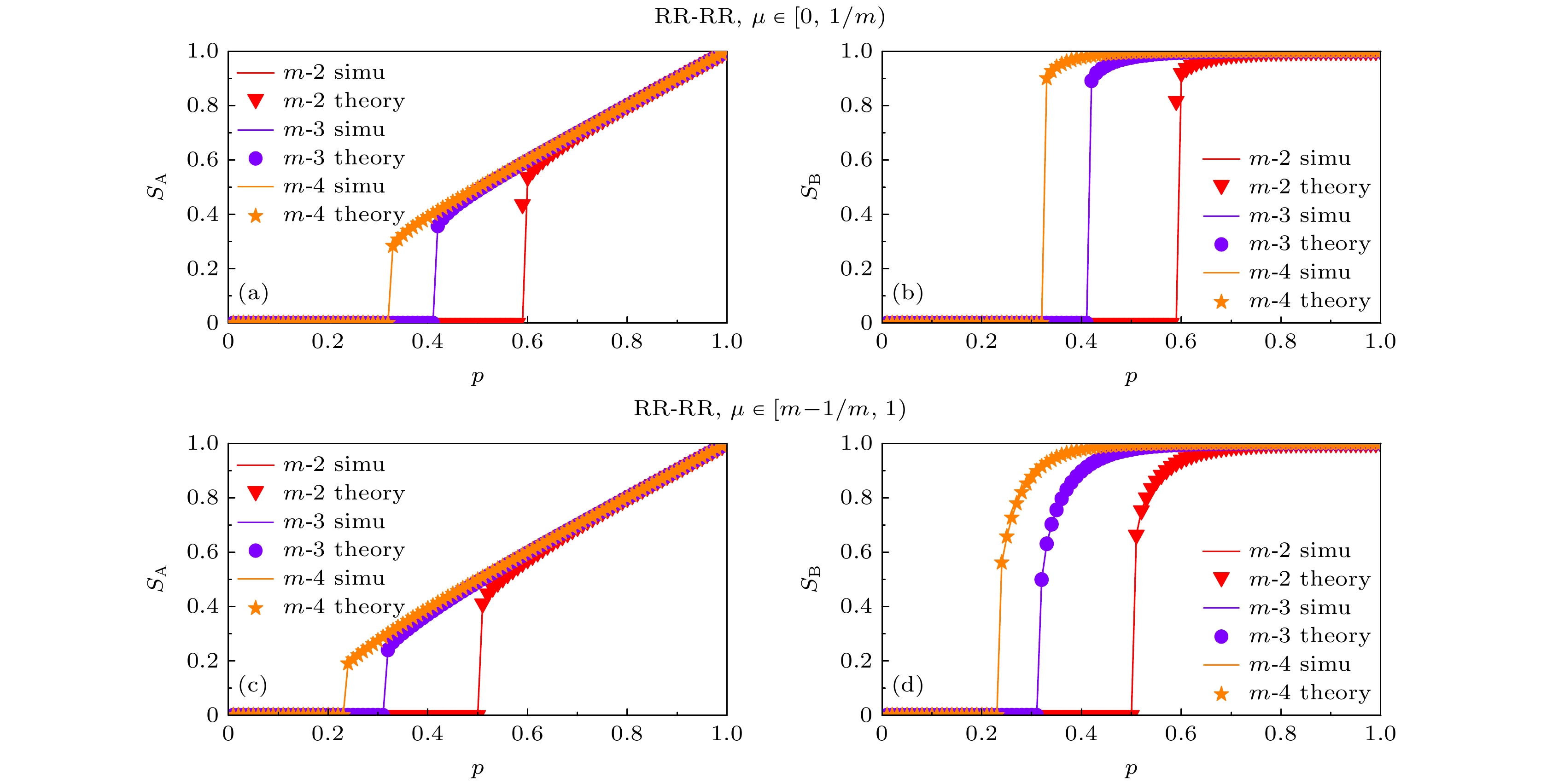
Existing research on interdependent networks defines network functionality as being entirely on nodes or on edges, which means interdependence between nodes and nodes, or interdependence between edges and edges. However, the reality is not characterized solely by interdependence between functionalities of individual elements, which means that it is not entirely a single-element coupled network. In some cases, nodes and edges are interdependent. Considering this reality, a binary interdependent network model with node and edge coupling (BINNEC), where both nodes and edges are interdependent, is proposed in this work. In this model, nodes in network A randomly depend on multiple edges in network B, forming edge-dependent clusters. Additionally, a failure tolerance parameter, denoted as
$\mu $
, is set for these edge-dependent clusters. When the failure rate of an edge-dependent cluster exceeds
$\mu $
, the failure of the nodes in network A that depends on it, will happen. Based on the self-balancing probability method, a theoretical analysis framework is established. Through computer simulation verification of BINNEC under three classical network structures, the model's phase transition behavior and critical thresholds in the face of random attacks are analyzed. The results reveal that BINNEC under three network structures is as fragile as a single-element coupled network, exhibiting a first-order phase transition behavior. As the size of edge-dependent cluster
$m$
increases, network robustness is enhanced. Moreover, with a constant size of edge-dependent cluster, a larger tolerance for node failure
$\mu $
leads to stronger network robustness. Finally, this research reveals that under the same conditions of
$m$
and
$\mu $
, when the tolerance for node failure
$\mu $
is insufficient to withstand the failure of a single edge, the degree distribution widens, and network robustness weakens. However, when the tolerance for node failure is sufficient to withstand the failure of at least one edge, the network robustness actually strengthens as the degree distribution increases. These findings provide a theoretical basis for studying such binary coupled models and also for guiding the secure design of real-world networks.