Thin-film solar cells provide an opportunity to reduce the cost of converting solar energy into electricity by replacing expensive and thick silicon wafers, which account for more than 50% of the total cost of photovoltaic (PV) modules. However, many thin-film solar cell materials result in low PV performance due to enhanced recombination through defect states. Cu(In,Ga)Se
2(CIGS) is a promising thin-film solar cell material due to its direct tunable bandgap, high absorption coefficient, low effective electron and hole mass, and abundant constituent elements. Among them, magnetron sputtering or selenization technology is widely used to catch up with the development of preparing large-area CIGS thin-film solar cells because of its uniform film composition and simple process. However, the use of toxic gases such as H
2Se and H
2S and the difficulty in forming gradient bandgaps limit their development. In this work, the “V” Ga gradient classification of the absorbing layer of CIGS solar cells is realized by sputtering CuGaSe
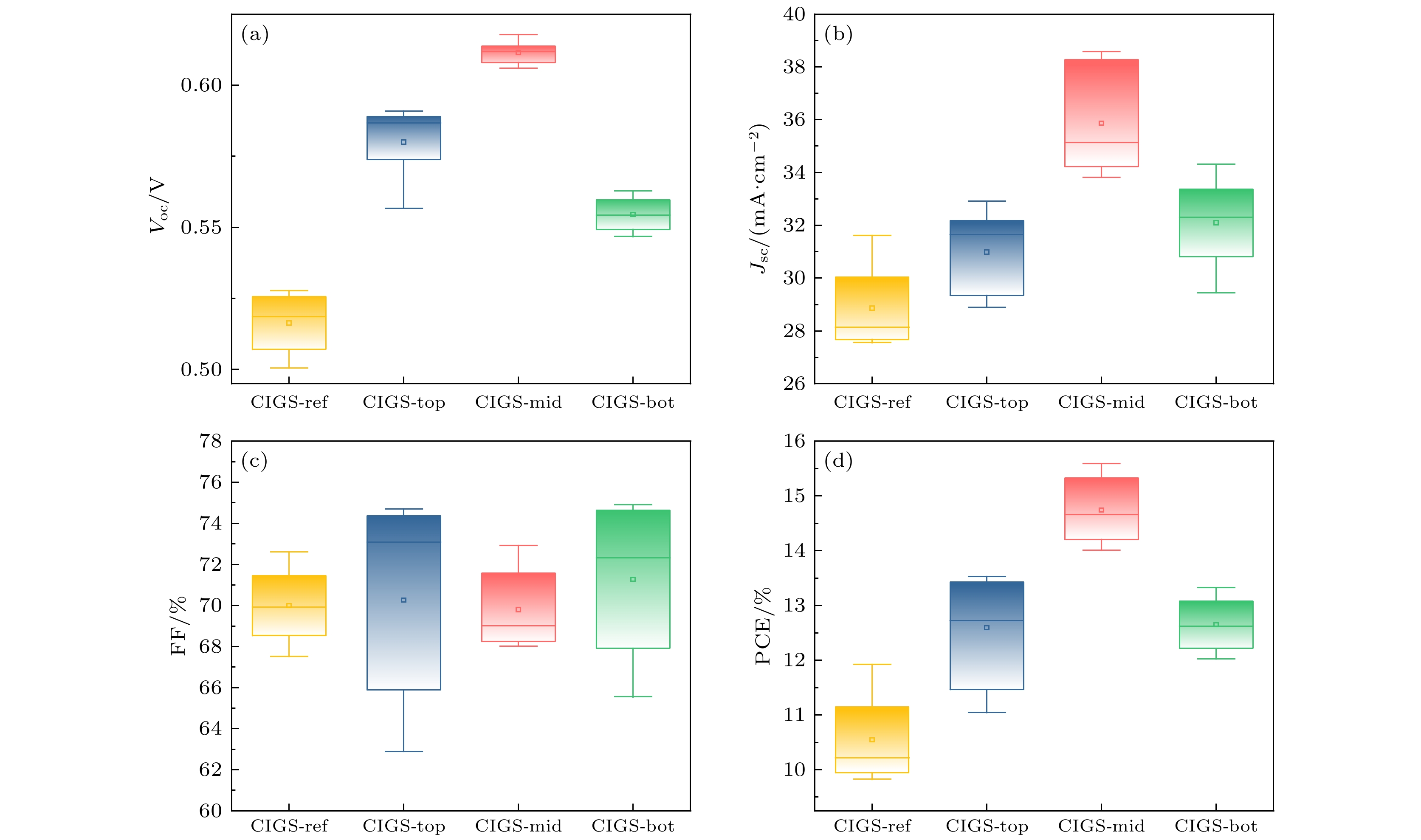
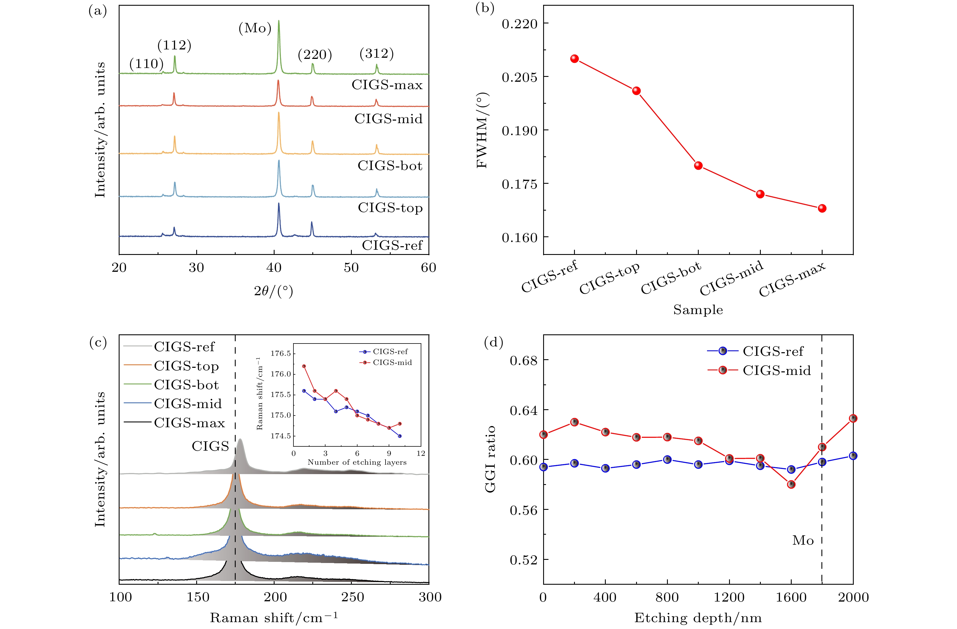
2(CGS) thin layers of different thickness values in the room temperature layer by sputtering and selenium-free methods of quaternary target sputtering. Firstly, the microstructure of the film is characterized by SEM, XRD, Raman and XPS, and when the CGS layer is located in the middle of the low-temperature layer, the grain size of the film is the largest, the crystallinity is the best, forming a “V-shaped” structure of CGI on the back of the absorbing layer. Subsequently, IV and external quantum efficiency(EQE) tests show that the optimized cell efficiency is as high as 15.04%, and the light response intensity is enhanced in the 300 -1200 nm band. Finally, the admittance spectrum(AS) test shows that the defect energy level of the solar cell changes from In
Gadefect to
V
Cudefect of lower energy level, and the defect density decreases from 7.04×10
15cm
–3to 5.51×10
15cm
–3. This is comparable to the recording efficiency of the current single-target magnetron sputtering CIGS solar cells, demonstrating good application prospects.