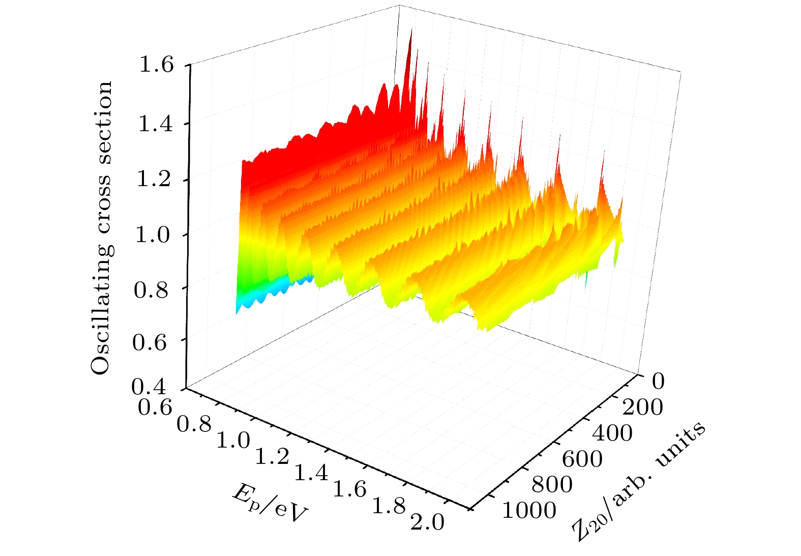
This work is to investigate the photo-detachment cross-section (PCS) of anions in an expanding quantum well formed by two moving elastic walls. Through the study of the closed orbits of the detached electrons, we derive the analytical expression for the period of these closed orbits. We utilize the classical closed-orbit theory (COT) to deeply explore and derive the PCS of this system, which is a superposition of a smooth background term and an oscillatory term caused by collisions between electrons and the two elastic walls of the quantum well. The calculation results show that the oscillation amplitude of the photo-detachment cross-section is highly sensitive to the wall velocity of the extended quantum well. When the quantum well is static, the photo-detachment cross-section exhibits a regular saw-tooth structure. As the walls begin to move, this regular saw-tooth structure becomes irregular. As the wall velocity increases, the oscillation structure within the PCS becomes increasingly complex. Furthermore, the photo-detachment cross-section is closely related to the initial distance between the negative hydrogen ion and the two moving walls, known as the well width. And through calculations of two different scenarios involving extended quantum wells, we find that for an asymmetrically expanding quantum well, the effect of moving walls on anionic PCS is more significant than for a symmetrically expanding quantum well. The research findings also reveal that as the well width narrows, the localized space for electrons becomes smaller, leading to stronger quantum confinement and an increase in the oscillation amplitude across the cross-section. As the well width increases, the quantum confinement effect on the electrons weakens, resulting in a decrease in the oscillation amplitude across the cross-section. When the well width reaches a certain level, the quantum well no longer exhibits significant quantum confinement effects, and the photo-detachment cross-section tends to approach a smooth background term. Therefore, precise control of the photo-detachment cross-section of negative hydrogen ions in an expanding quantum well formed by two moving elastic walls can be achieved by adjusting the initial size of the quantum well and the expansion speed of the quantum well. The phenomena revealed in this study are quite intriguing, and the methods employed are universal, providing guidance for future studying the photo-detachment cross-sections in more complex dynamic quantum wells. The findings of this study have significant reference value in the field of surface physics, enriching our understanding of the photo-detachment dynamics of anions in moving quantum wells, and they also provide a theoretical basis and guidance for future experimental research on the photo-detachment dynamics of anions in dynamic quantum wells.