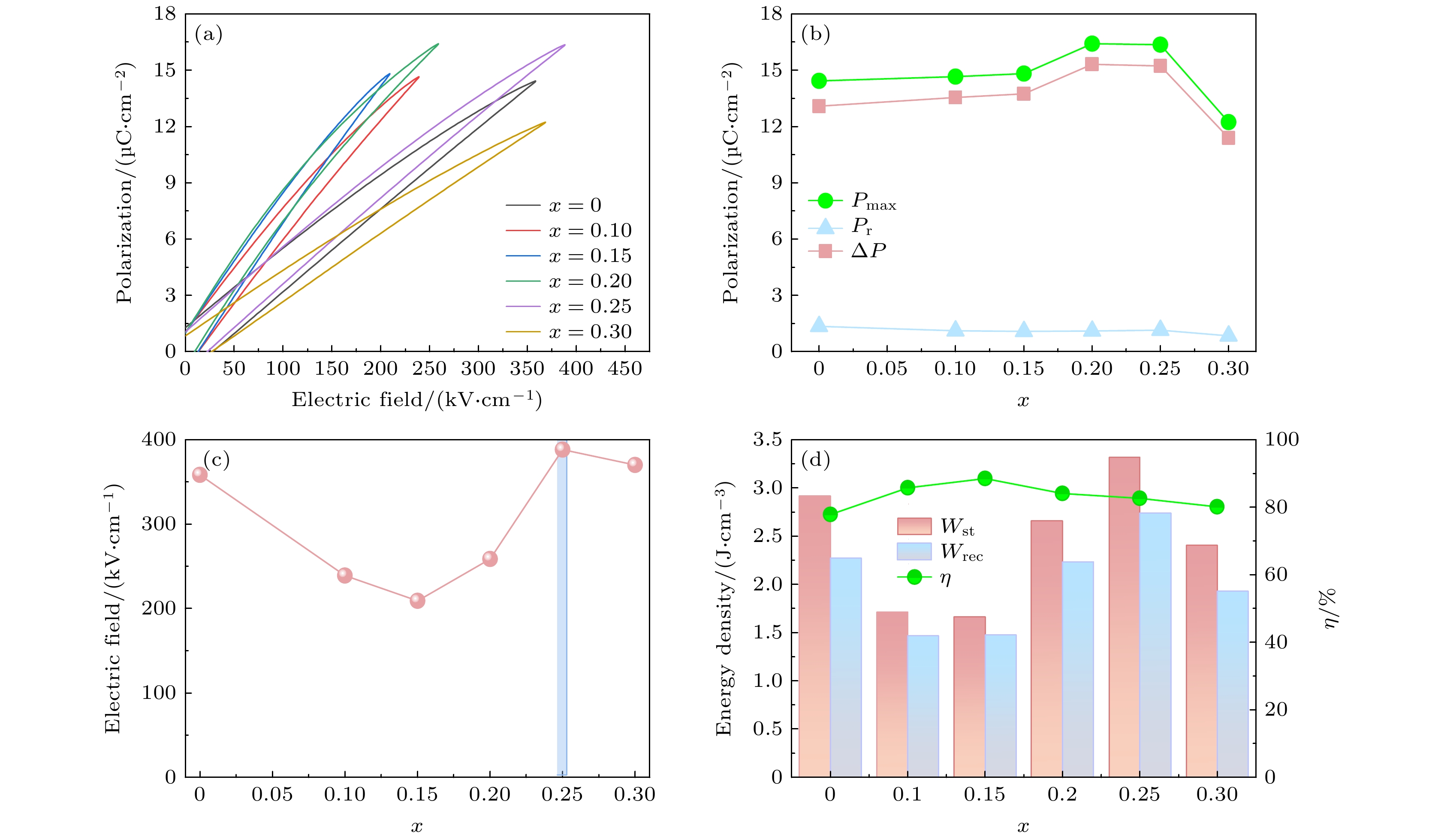
Sodium niobate-based dielectric energy storage materials, as key components in capacitors, have the advantages such as low relative density, lead-free, low cost, and excellent energy storage density, and can meet the important requirements of electronic components for miniaturization, harmlessness, integration and light weight. Therefore, they have received extensive attention from the scientific community in recent years. In this work, by introducing both Bi(Mg0.5Sn0.5)O3 and (Bi0.5Na0.5)0.7Sr0.3TiO3 components into NaNbO3 ceramics, a conventional solid-phase sintering method is used to prepare (1–x)[0.93NaNbO3-0.07Bi(Mg0.5Sn0.5)O3]–x(Bi0.5Na0.5)0.7Sr0.3TiO3 (Abbreviated as (1–x)(NN-BMS)–xBNST, 0.00 ≤ x ≤ 0.3) relaxation ferroelectric ceramics, and the ceramics are characterized by using X-ray diffraction, scanning electron microscopy, UV spectroscopy and Raman spectroscopy so as to study the effects of (Bi0.5Na0.5)0.7Sr0.3TiO3 doping on the physical phase composition, microstructure, and electrical properties of NaNbO3 ceramics, such as dielectric and energy storage. The (1–x)(NN-BMS)–xBNST ceramics exhibit a single perovskite structure, with cell volume a first increasing and then decreasing. The coexistence of Pbma and Pnma phases (1–x)(NN-BMS)–xBNST ceramics exhibits a dense microstructure and clear grain boundaries at an optimal sintering temperature. The average grain size first increases to 4.73 μm, then decreases to 2.17 μm, and finally increases to 3.06 μm. A smaller grain size and a larger bandgap width are beneficial for improving the breakdown strength. The 0.75(NN-BMS)-0.25BNST ceramic shows the excellent dielectric temperature stability (25–160 ℃, Δε/ε25°C ≤ ±15%) and dielectric frequency stability, which can meet the EIAZ8U standard and hence work in a special environment (high temperature and high frequency). Meanwhile, 0.75(NN-BMS)-0.25BNST ceramic exhibits excellent energy storage performance at high field strength (390 kV/cm): recoverable energy density Wrec = 2.73 J/cm3, energy storage efficiency η = 82.6%, and high temperature stability in a temperature range of 20–100 ℃. The research results indicate that 0.75(NN-BMS)-0.25BNST ceramics have broad prospects of applications in lead-free dielectric energy storage capacitors.