- 
				以轨道再入实验飞行器为研究对象, 采用热化学非平衡磁流体动力学模型对高超声速飞行器的表面热流进行数值模拟, 分析了不同飞行工况下壁面催化条件对气动热环境影响规律, 研究了外加磁场条件对热化学非平衡流场影响机制. 结果表明: 再入过程中, 表面热流随催化复合系数的增加呈单调递增分布, 壁面催化条件显著影响磁流体动力学控制效果, 总热流密度与壁面附近原子组分堆积量、扩散梯度及温度梯度密切相关. 外加磁场作用下, 壁面附近氧原子、氮原子组分堆积量减少; 洛伦兹力导致激波脱体距离增大, 组分扩散梯度、壁面温度梯度降低. 磁控热防护系统“电磁冷却”能力从大到小依次为全催化、有限催化、非催化壁面.In the re-entry process of the vehicle into the atmosphere, the high-temperature environment, induced by the compression of the strong shock wave and viscous retardation, is created around the head of a vehicle. These generate a conductive plasma flow field, which provides a direct working environment for the application of magnetohydrodynaimic (MHD) control technology. Numerical simulations based on thermochemical non-equilibrium MHD model are adopted to analyze the surface heat flux of an orbital reentry experiment (OREX) vehicle. The influences of wall catalytic conditions on the aerothermal environment under different flight conditions are discussed. In addition, the control mechanism of an external magnetic field on high-temperature thermochemical non-equilibrium flow field is analyzed. The results show that the distribution of surface heat flux monotonically increases with the catalytic recombination coefficient increasing, and the surface heat flux rises and then drops with the flight altitude decreasing. Moreover, the wall catalytic properties significantly affect the efficiency of MHD control technology, and the total heat flux is closely related to the accumulation of atomic components, diffusion gradient and temperature gradient near the wall region. With an external magnetic field applied, the accumulation of oxygen atoms and nitrogen atoms near the wall can be reduced. Moreover, the Lorentz force can increase the shock standoff distance, and then reduce the component diffusion gradient and wall temperature gradient. Under three different wall catalytic conditions, the ability to control the surface heat flux MHD is ranked from strong to weak as fully catalyzed, partially catalyzed and non-catalyzed.- 
													Keywords:
													
- thermochemical non-equilibrium /
- magnetohydrodynamic /
- catalytic effect /
- numerical simulation
 [1] [2] [3] [4] [5] [6] [7] [8] [9] [10] [11] [12] [13] [14] [15] [16] [17] [18] [19] [20] [21] [22] [23] [24] [25] [26] [27] [28] [29] [30] [31] [32] [33] [34] 
- 
				
    
    
    
    
    
    
    
    
    
    
    
    
    
    
    
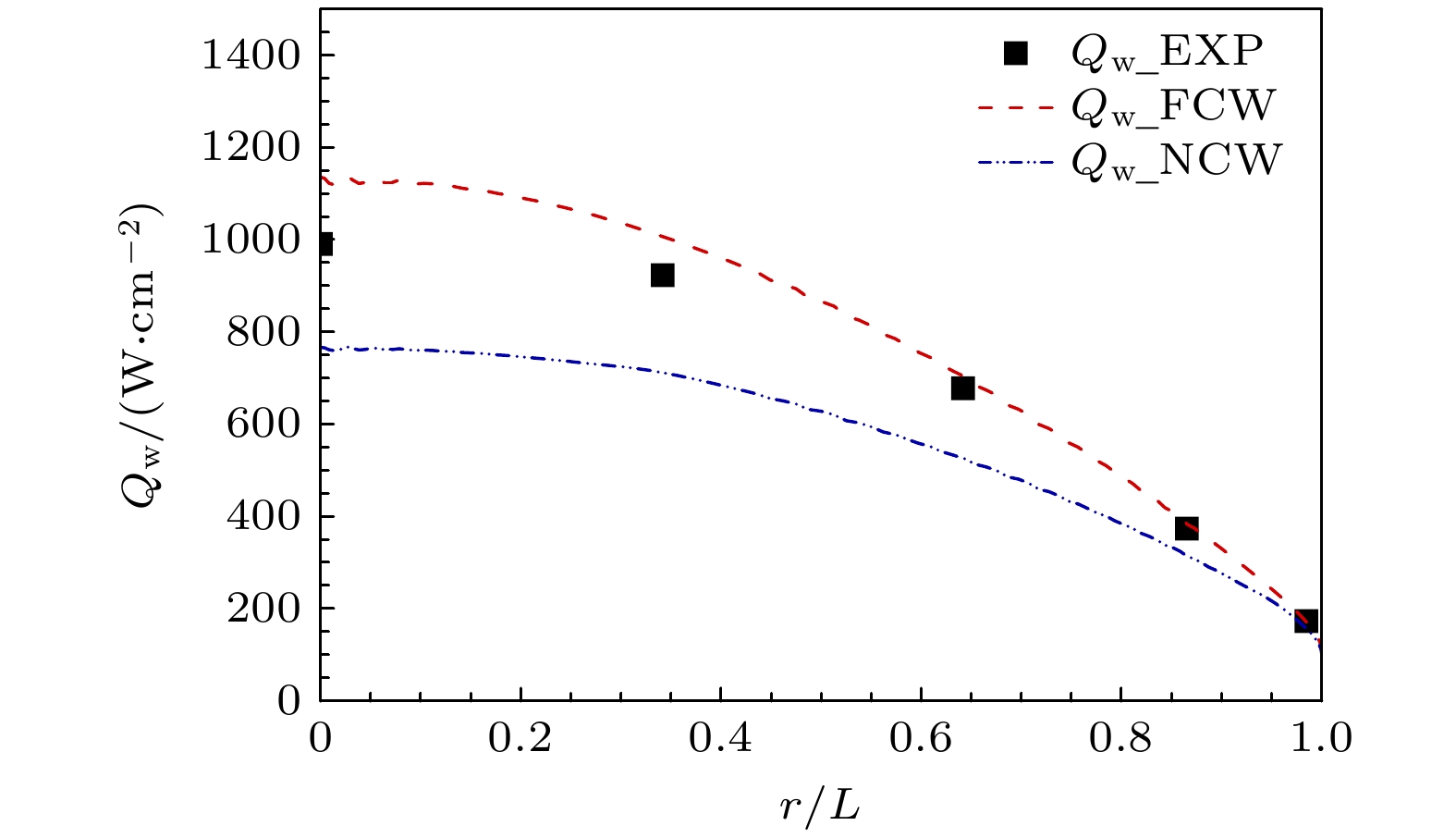
    反应类型 反应表达式 控制温度 离解反应 $ {\text{AB}} + {\text{M}} \rightleftarrows {\text{A}} + {\text{B}} + {\text{M}} $ $ 正向 : {T}_{\text{f}} = {T}^{\alpha }{T}_{v}^{1-\alpha };\text{ }逆向 : {T}_{\text{b}} = T $ 交换反应 $ \begin{array}{c} {\text{AB}} + {\text{C}} \rightleftarrows {\text{A}} + {\text{BC}} \\ {\text{A}}{{\text{B}}^ + } + {\text{C}} \rightleftarrows {{\text{A}}^ + } + {\text{BC}} \end{array} $ $ 正向 : {T}_{\text{f}} = T;\text{ }逆向 : {T}_{\text{b}} = T $ 一般电离反应 $ \begin{array}{c} {\text{A}} + {\text{B}} \rightleftarrows {\text{A}}{{\text{B}}^ + } + {{\mathrm{e}}^ - } \\ {\text{AB}} + {\text{M}} \rightleftarrows {\text{A}}{{\text{B}}^ + } + {{\mathrm{e}}^ - } + {\text{M}} \\ {{\text{A}}_2} + {{\text{B}}_2} \rightleftarrows {\text{A}}{{\text{B}}^ + } + {\text{AB}} + {{\mathrm{e}}^ - } \end{array} $ $ 正向 : {T}_{\text{f}} = T;\text{ }逆向 : {T}_{\text{b}} = {T}_{v} $ 电子碰撞电离反应 $ {\text{A}} + {{\mathrm{e}}^ - } \rightleftarrows {{\text{A}}^ + } + {{\mathrm{e}}^ - } + {{\mathrm{e}}^ - } $ $ 正向 : {T}_{{\mathrm{f}}} = {T}_{v};\text{ }逆向 : {T}_{\text{b}} = {T}_{v} $ 参数 符号 值 速度/(km·s–1) ${V_\infty }$ 7.99 来流温度/K T∞ 345 总焓/(MJ·kg–1) ${H_0}$ 32 来流密度/(kg·m–3) ρ∞ 1.77×10–4 算例 飞行时间 H/km ${\rho _\infty }$/(kg·m–3) Ma ${T_\infty }$/K C1 7441.5 71.73 6.489×10–5 23.89 214.98 C2 7451.5 67.66 1.143×10–4 22.22 225.99 C3 7461.5 63.60 1.960×10–4 20.09 237.14 C4 7471.5 59.60 3.255×10–4 17.55 248.12 C5 7481.5 55.74 5.203×10–4 14.71 258.74 C6 7491.5 51.99 8.065×10–4 11.80 268.20 C7 7501.5 48.40 1.253×10–3 9.06 270.65 网格 $\Delta n$/(10–6 m) $R{e_{\Delta n, \infty }}$ Case_M1 252.00 20 Case_M2 126.00 10 Case_M3 50.00 4 Case_M4 25.00 2 Case_M5 7.20 0.6 Case_M6 3.60 0.3 工况 H /km 驻点热流实验结果$ Q_{\text{w},\exp}/(\text{MW}{\cdot}\text{m}^{-2}) $ 实验数据 
 拟合有效
 催化系数
 γ/10–3C1 71.73 0.354 7.7 C2 67.66 0.401 6.3 C3 63.60 0.410 5.5 C4 59.60 0.369 4.2 C5 55.74 0.275 5.5 C6 51.99 0.179 9.6 C7 48.40 0.093 36.0 
- 
				
[1] [2] [3] [4] [5] [6] [7] [8] [9] [10] [11] [12] [13] [14] [15] [16] [17] [18] [19] [20] [21] [22] [23] [24] [25] [26] [27] [28] [29] [30] [31] [32] [33] [34] 
计量
- 文章访问数: 432
- PDF下载量: 15
- 被引次数: 0


 
					 
		         
	         
  
					 
										





 
							 下载:
下载: 
				 
							 
							 
							 
							 
							 
							 
							 
							 
							 
							 
							 
							